Номер 4.68, страница 275 - гдз по алгебре 7 класс учебник Арефьева, Пирютко

Алгебра, 7 класс Учебник, авторы: Арефьева Ирина Глебовна, Пирютко Ольга Николаевна, издательство Народная асвета, Минск, 2022, зелёного цвета

Авторы: Арефьева И. Г., Пирютко О. Н.

Тип: Учебник

Издательство: Народная асвета

Год издания: 2022 - 2026

Цвет обложки: зелёный с графиком

ISBN: ISBN 978-985-03-3770-2

Допущено Министерством образования Республики Беларусь

Глава 4. Системы двух линейных уравнений с двумя переменными. Параграф 23. Система линейных уравнений с двумя переменными - номер 4.68, страница 275.

№4.68 (с. 275)
Условие. №4.68 (с. 275)
скриншот условия
Алгебра, 7 класс Учебник, авторы: Арефьева Ирина Глебовна, Пирютко Ольга Николаевна, издательство Народная асвета, Минск, 2022, зелёного цвета, страница 275, номер 4.68, Условие

4.68. Постройте графики уравнений системы и определите число решений системы:

a) $\begin{cases} x + y = 4, \\ x - y = 6; \end{cases}$

б) $\begin{cases} 3x - y = 2, \\ -6x + 2y = 3. \end{cases}$

Решение. №4.68 (с. 275)
Алгебра, 7 класс Учебник, авторы: Арефьева Ирина Глебовна, Пирютко Ольга Николаевна, издательство Народная асвета, Минск, 2022, зелёного цвета, страница 275, номер 4.68, Решение Алгебра, 7 класс Учебник, авторы: Арефьева Ирина Глебовна, Пирютко Ольга Николаевна, издательство Народная асвета, Минск, 2022, зелёного цвета, страница 275, номер 4.68, Решение (продолжение 2)
Решение 2. №4.68 (с. 275)

Чтобы определить число решений системы, нужно построить графики каждого уравнения и посмотреть, как они расположены относительно друг друга. Число точек пересечения графиков равно числу решений системы.

а) $$ \begin{cases} x + y = 4, \\ x - y = 6; \end{cases} $$

Каждое уравнение является линейным, его график — прямая. Для построения прямой достаточно найти координаты двух точек.

1. Преобразуем первое уравнение $x + y = 4$ в вид функции $y(x)$, выразив $y$ через $x$:

$y = -x + 4$. Это уравнение прямой с угловым коэффициентом $k_1 = -1$.

  • Если $x=0$, то $y=4$. Получаем точку (0, 4).
  • Если $x=4$, то $y=0$. Получаем точку (4, 0).

2. Преобразуем второе уравнение $x - y = 6$ аналогичным образом:

$-y = -x + 6$, откуда $y = x - 6$. Это уравнение прямой с угловым коэффициентом $k_2 = 1$.

  • Если $x=0$, то $y=-6$. Получаем точку (0, -6).
  • Если $x=6$, то $y=0$. Получаем точку (6, 0).

Построим эти две прямые на координатной плоскости. Так как их угловые коэффициенты различны ($k_1 = -1 \neq k_2 = 1$), прямые пересекаются в одной точке. Следовательно, система имеет одно решение.

Ответ: 1

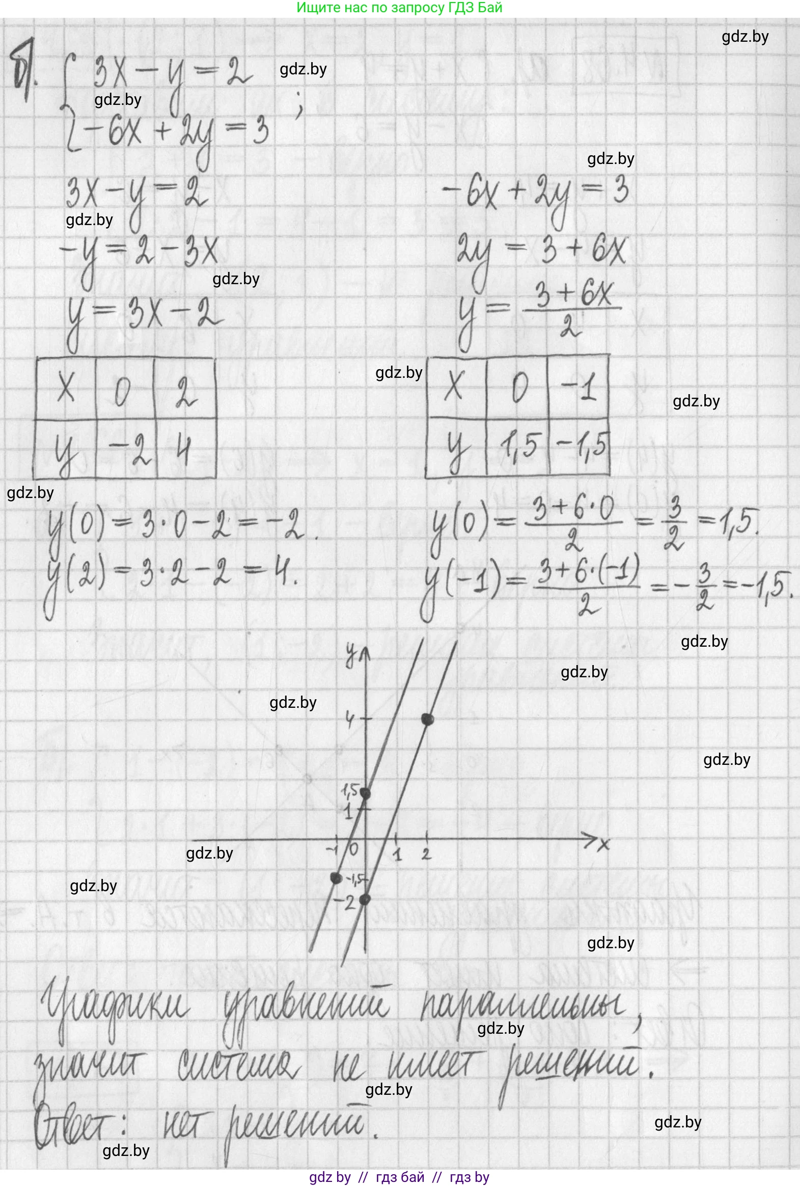
б) $$ \begin{cases} 3x - y = 2, \\ -6x + 2y = 3. \end{cases} $$

Преобразуем оба уравнения к виду $y = kx + b$, чтобы сравнить их угловые коэффициенты и точки пересечения с осью ординат.

1. Из первого уравнения $3x - y = 2$ получаем:

$-y = -3x + 2$, откуда $y = 3x - 2$. Угловой коэффициент этой прямой $k_1 = 3$.

2. Из второго уравнения $-6x + 2y = 3$ получаем:

$2y = 6x + 3$, откуда $y = \frac{6x + 3}{2}$ или $y = 3x + \frac{3}{2}$.

Выделим целую часть из неправильной дроби $\frac{3}{2}$: $\frac{3}{2} = 1\frac{1}{2}$.

Таким образом, второе уравнение имеет вид $y = 3x + 1\frac{1}{2}$. Угловой коэффициент этой прямой $k_2 = 3$.

Мы видим, что угловые коэффициенты обеих прямых одинаковы ($k_1 = k_2 = 3$), а точки пересечения с осью OY различны ($-2 \neq 1\frac{1}{2}$). Это означает, что прямые параллельны друг другу и никогда не пересекаются.

Поскольку графики уравнений являются параллельными прямыми и не имеют общих точек, система не имеет решений.

Ответ: 0

Помогло решение? Оставьте отзыв в комментариях ниже.

Присоединяйтесь к Телеграм-группе @gdz_by_belarus

Присоединиться

Мы подготовили для вас ответ c подробным объяснением домашего задания по алгебре за 7 класс, для упражнения номер 4.68 расположенного на странице 275 к учебнику 2022 года издания для учащихся школ и гимназий.

Теперь на нашем сайте ГДЗ.ТОП вы всегда легко и бесплатно найдёте условие с правильным ответом на вопрос «Как решить ДЗ» и «Как сделать» задание по алгебре к упражнению №4.68 (с. 275), авторов: Арефьева (Ирина Глебовна), Пирютко (Ольга Николаевна), учебного пособия издательства Народная асвета.