Номер 7, страница 252 - гдз по алгебре 7 класс учебник Арефьева, Пирютко

Алгебра, 7 класс Учебник, авторы: Арефьева Ирина Глебовна, Пирютко Ольга Николаевна, издательство Народная асвета, Минск, 2022, зелёного цвета

Авторы: Арефьева И. Г., Пирютко О. Н.

Тип: Учебник

Издательство: Народная асвета

Год издания: 2022 - 2026

Цвет обложки: зелёный с графиком

ISBN: ISBN 978-985-03-3770-2

Допущено Министерством образования Республики Беларусь

Глава 3. Линейные уравнения. Линейные неравенства. Линейная функция. Я проверяю свои знания - номер 7, страница 252.

№7 (с. 252)
Условие. №7 (с. 252)
скриншот условия
Алгебра, 7 класс Учебник, авторы: Арефьева Ирина Глебовна, Пирютко Ольга Николаевна, издательство Народная асвета, Минск, 2022, зелёного цвета, страница 252, номер 7, Условие

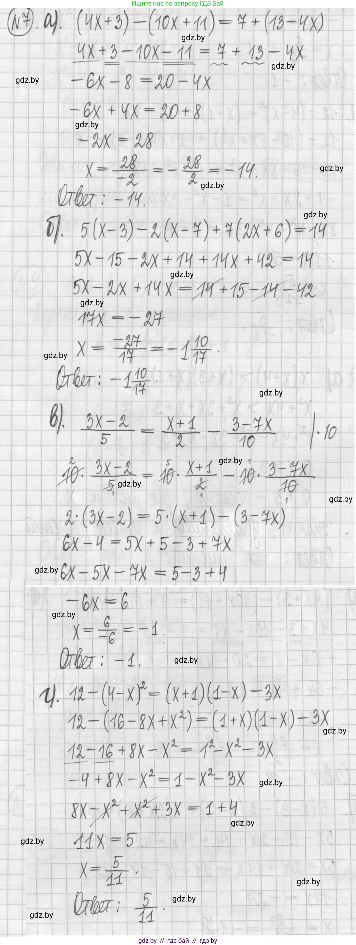
7. Выполните необходимые преобразования и решите уравнение:

a) $(4x + 3) - (10x + 11) = 7 + (13 - 4x);$

б) $5(x - 3) - 2(x - 7) + 7(2x + 6) = 14;$

в) $\frac{3x - 2}{5} = \frac{x + 1}{2} - \frac{3 - 7x}{10};$

г) $12 - (4 - x)^2 = (x + 1)(1 - x) - 3x.$

Решение. №7 (с. 252)
Алгебра, 7 класс Учебник, авторы: Арефьева Ирина Глебовна, Пирютко Ольга Николаевна, издательство Народная асвета, Минск, 2022, зелёного цвета, страница 252, номер 7, Решение
Решение 2. №7 (с. 252)

Ниже представлено подробное решение каждого уравнения из задания.


а) $(4x+3)-(10x+11)=7+(13-4x)$

1. Раскроем скобки в обеих частях уравнения. Обращаем внимание, что перед второй скобкой в левой части стоит знак минус, поэтому все знаки внутри этой скобки меняются на противоположные.

$4x+3-10x-11=7+13-4x$

2. Упростим каждую часть уравнения, приведя подобные слагаемые (отдельно слагаемые с $x$ и числовые слагаемые).

$(4x-10x) + (3-11) = (7+13) - 4x$

$-6x - 8 = 20 - 4x$

3. Перенесем все слагаемые с переменной $x$ в левую часть уравнения, а все постоянные члены — в правую. При переносе слагаемого из одной части в другую его знак меняется на противоположный.

$-6x + 4x = 20 + 8$

$-2x = 28$

4. Найдем значение $x$, разделив обе части уравнения на коэффициент при $x$, то есть на -2.

$x = \frac{28}{-2}$

$x = -14$

Ответ: -14


б) $5(x-3)-2(x-7)+7(2x+6)=14$

1. Раскроем все скобки в левой части уравнения, умножив число перед каждой скобкой на каждое слагаемое внутри нее.

$5x - 5 \cdot 3 - 2x - 2 \cdot (-7) + 7 \cdot 2x + 7 \cdot 6 = 14$

$5x - 15 - 2x + 14 + 14x + 42 = 14$

2. Приведем подобные слагаемые в левой части.

$(5x - 2x + 14x) + (-15 + 14 + 42) = 14$

$17x + 41 = 14$

3. Перенесем постоянный член 41 в правую часть уравнения с противоположным знаком.

$17x = 14 - 41$

$17x = -27$

4. Найдем $x$, разделив обе части на 17.

$x = -\frac{27}{17}$

5. Получили неправильную дробь. Выделим из нее целую часть.

$x = -1\frac{10}{17}$

Ответ: $-1\frac{10}{17}$


в) $\frac{3x-2}{5} = \frac{x+1}{2} - \frac{3-7x}{10}$

1. Чтобы избавиться от дробей, найдем наименьший общий знаменатель для 5, 2 и 10. Это число 10.

2. Умножим каждый член уравнения на 10.

$10 \cdot \frac{3x-2}{5} = 10 \cdot \frac{x+1}{2} - 10 \cdot \frac{3-7x}{10}$

3. Сократим дроби:

$2(3x-2) = 5(x+1) - 1(3-7x)$

4. Раскроем скобки.

$6x - 4 = 5x + 5 - 3 + 7x$

5. Приведем подобные слагаемые в правой части.

$6x - 4 = (5x + 7x) + (5 - 3)$

$6x - 4 = 12x + 2$

6. Перенесем слагаемые с $x$ в левую часть, а числа — в правую.

$6x - 12x = 2 + 4$

$-6x = 6$

7. Найдем $x$.

$x = \frac{6}{-6}$

$x = -1$

Ответ: -1


г) $12-(4-x)^2 = (x+1)(1-x)-3x$

1. Преобразуем обе части уравнения, используя формулы сокращенного умножения: квадрат разности $(a-b)^2 = a^2-2ab+b^2$ и разность квадратов $(a+b)(a-b) = a^2-b^2$.

В левой части: $(4-x)^2 = 4^2 - 2 \cdot 4 \cdot x + x^2 = 16 - 8x + x^2$.

В правой части: $(x+1)(1-x) = (1+x)(1-x) = 1^2 - x^2 = 1 - x^2$.

2. Подставим полученные выражения в исходное уравнение.

$12 - (16 - 8x + x^2) = (1 - x^2) - 3x$

3. Раскроем скобки.

$12 - 16 + 8x - x^2 = 1 - x^2 - 3x$

4. Упростим левую часть и заметим, что слагаемое $-x^2$ есть в обеих частях, поэтому оно взаимно уничтожается.

$-4 + 8x - x^2 = 1 - x^2 - 3x$

$-4 + 8x = 1 - 3x$

5. Перенесем слагаемые с $x$ влево, а числа вправо.

$8x + 3x = 1 + 4$

$11x = 5$

6. Найдем $x$.

$x = \frac{5}{11}$

Ответ: $\frac{5}{11}$

Помогло решение? Оставьте отзыв в комментариях ниже.

Присоединяйтесь к Телеграм-группе @gdz_by_belarus

Присоединиться

Мы подготовили для вас ответ c подробным объяснением домашего задания по алгебре за 7 класс, для упражнения номер 7 расположенного на странице 252 к учебнику 2022 года издания для учащихся школ и гимназий.

Теперь на нашем сайте ГДЗ.ТОП вы всегда легко и бесплатно найдёте условие с правильным ответом на вопрос «Как решить ДЗ» и «Как сделать» задание по алгебре к упражнению №7 (с. 252), авторов: Арефьева (Ирина Глебовна), Пирютко (Ольга Николаевна), учебного пособия издательства Народная асвета.