Номер 4.7, страница 258 - гдз по алгебре 7 класс учебник Арефьева, Пирютко

Алгебра, 7 класс Учебник, авторы: Арефьева Ирина Глебовна, Пирютко Ольга Николаевна, издательство Народная асвета, Минск, 2022, зелёного цвета

Авторы: Арефьева И. Г., Пирютко О. Н.

Тип: Учебник

Издательство: Народная асвета

Год издания: 2022 - 2026

Цвет обложки: зелёный с графиком

ISBN: ISBN 978-985-03-3770-2

Допущено Министерством образования Республики Беларусь

Глава 4. Системы двух линейных уравнений с двумя переменными. Параграф 21. Линейное уравнение с двумя переменными - номер 4.7, страница 258.

№4.7 (с. 258)
Условие. №4.7 (с. 258)
скриншот условия
Алгебра, 7 класс Учебник, авторы: Арефьева Ирина Глебовна, Пирютко Ольга Николаевна, издательство Народная асвета, Минск, 2022, зелёного цвета, страница 258, номер 4.7, Условие

4.7. Выберите пары чисел, являющиеся решениями уравнения $3x - 4y = 7$:

а) (1; -1);

б) (0; $1\frac{3}{4}$);

в) ($2\frac{1}{3}$; 0);

г) (0,6; -1,3).

Решение. №4.7 (с. 258)
Алгебра, 7 класс Учебник, авторы: Арефьева Ирина Глебовна, Пирютко Ольга Николаевна, издательство Народная асвета, Минск, 2022, зелёного цвета, страница 258, номер 4.7, Решение
Решение 2. №4.7 (с. 258)

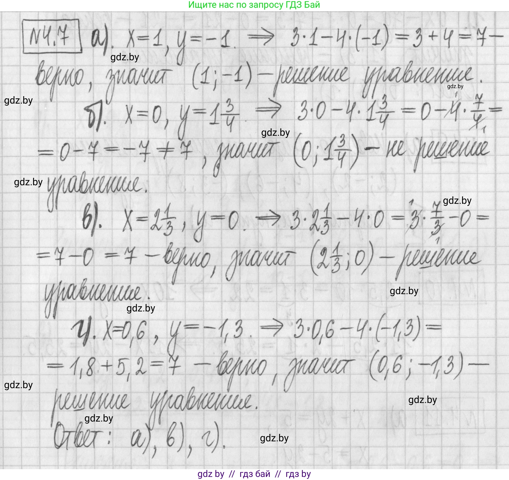
Чтобы определить, какие из предложенных пар чисел являются решениями уравнения $3x - 4y = 7$, необходимо подставить координаты $(x; y)$ из каждой пары в левую часть уравнения и проверить, будет ли результат равен 7.

а) (1; –1)

Подставляем $x=1$ и $y=-1$ в уравнение:

$3 \cdot 1 - 4 \cdot (-1) = 3 + 4 = 7$

Получаем верное равенство $7 = 7$.

Ответ: данная пара является решением уравнения.

б) (0; $1\frac{3}{4}$)

Подставляем $x=0$ и $y=1\frac{3}{4}$. Сначала преобразуем смешанную дробь в неправильную: $1\frac{3}{4} = \frac{1 \cdot 4 + 3}{4} = \frac{7}{4}$.

Подставляем значения в уравнение:

$3 \cdot 0 - 4 \cdot \frac{7}{4} = 0 - 7 = -7$

Получаем неверное равенство $-7 \neq 7$.

Ответ: данная пара не является решением уравнения. Целая часть из неправильной дроби $\frac{7}{4}$ равна 1.

в) ($2\frac{1}{3}$; 0)

Подставляем $x=2\frac{1}{3}$ и $y=0$. Сначала преобразуем смешанную дробь в неправильную: $2\frac{1}{3} = \frac{2 \cdot 3 + 1}{3} = \frac{7}{3}$.

Подставляем значения в уравнение:

$3 \cdot \frac{7}{3} - 4 \cdot 0 = 7 - 0 = 7$

Получаем верное равенство $7 = 7$.

Ответ: данная пара является решением уравнения. Целая часть из неправильной дроби $\frac{7}{3}$ равна 2.

г) (0,6; –1,3)

Подставляем $x=0,6$ и $y=-1,3$ в уравнение:

$3 \cdot (0,6) - 4 \cdot (-1,3) = 1,8 - (-5,2) = 1,8 + 5,2 = 7$

Получаем верное равенство $7 = 7$.

Ответ: данная пара является решением уравнения.

Таким образом, решениями уравнения $3x - 4y = 7$ являются пары чисел: а), в), г).

Помогло решение? Оставьте отзыв в комментариях ниже.

Присоединяйтесь к Телеграм-группе @gdz_by_belarus

Присоединиться

Мы подготовили для вас ответ c подробным объяснением домашего задания по алгебре за 7 класс, для упражнения номер 4.7 расположенного на странице 258 к учебнику 2022 года издания для учащихся школ и гимназий.

Теперь на нашем сайте ГДЗ.ТОП вы всегда легко и бесплатно найдёте условие с правильным ответом на вопрос «Как решить ДЗ» и «Как сделать» задание по алгебре к упражнению №4.7 (с. 258), авторов: Арефьева (Ирина Глебовна), Пирютко (Ольга Николаевна), учебного пособия издательства Народная асвета.