Номер 4.163, страница 296 - гдз по алгебре 7 класс учебник Арефьева, Пирютко

Алгебра, 7 класс Учебник, авторы: Арефьева Ирина Глебовна, Пирютко Ольга Николаевна, издательство Народная асвета, Минск, 2022, зелёного цвета

Авторы: Арефьева И. Г., Пирютко О. Н.

Тип: Учебник

Издательство: Народная асвета

Год издания: 2022 - 2026

Цвет обложки: зелёный с графиком

ISBN: ISBN 978-985-03-3770-2

Допущено Министерством образования Республики Беларусь

Глава 4. Системы двух линейных уравнений с двумя переменными. Параграф 25. Решение текстовых задач с помощью системы линейных уравнений - номер 4.163, страница 296.

№4.163 (с. 296)
Условие. №4.163 (с. 296)
скриншот условия
Алгебра, 7 класс Учебник, авторы: Арефьева Ирина Глебовна, Пирютко Ольга Николаевна, издательство Народная асвета, Минск, 2022, зелёного цвета, страница 296, номер 4.163, Условие

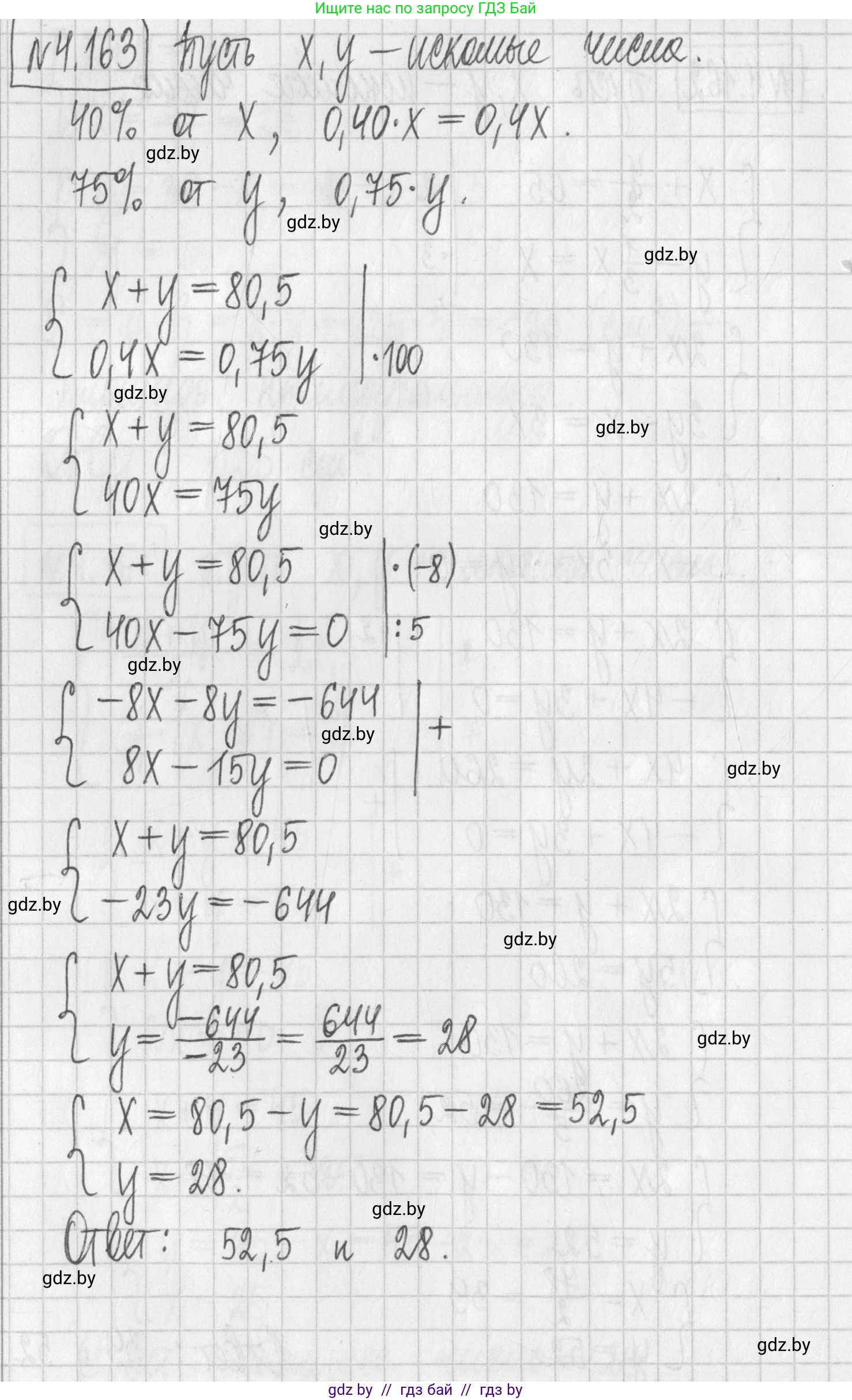
4.163 Сумма двух чисел равна 80,5. Найдите эти числа, если известно, что 40 % одного равны 75 % другого.

Решение. №4.163 (с. 296)
Алгебра, 7 класс Учебник, авторы: Арефьева Ирина Глебовна, Пирютко Ольга Николаевна, издательство Народная асвета, Минск, 2022, зелёного цвета, страница 296, номер 4.163, Решение
Решение 2. №4.163 (с. 296)

Обозначим искомые числа как $x$ и $y$.

Исходя из условий задачи, мы можем составить систему из двух уравнений:

  1. Сумма двух чисел равна 80,5.
    Уравнение: $x + y = 80,5$
  2. 40 % одного числа равны 75 % другого.
    Представим проценты в виде десятичных дробей (40% = 0,4; 75% = 0,75).
    Уравнение: $0,4x = 0,75y$

Получаем систему:

$$ \begin{cases} x + y = 80,5 \\ 0,4x = 0,75y \end{cases} $$

Для решения системы выразим одну переменную через другую из второго уравнения:

$$x = \frac{0,75}{0,4}y$$

Упростим полученный коэффициент:

$$x = \frac{75}{40}y = \frac{15}{8}y$$

Теперь подставим это выражение для $x$ в первое уравнение системы:

$$\frac{15}{8}y + y = 80,5$$

Приведем слагаемые с $y$ к общему знаменателю:

$$\frac{15}{8}y + \frac{8}{8}y = 80,5$$ $$\frac{23}{8}y = 80,5$$

Чтобы найти $y$, умножим обе части на $\frac{8}{23}$:

$$y = 80,5 \cdot \frac{8}{23}$$

Представим 80,5 в виде обыкновенной дроби: $80,5 = \frac{161}{2}$.

$$y = \frac{161}{2} \cdot \frac{8}{23}$$

Поскольку $161 = 7 \cdot 23$, мы можем сократить дробь:

$$y = \frac{7 \cdot 23}{2} \cdot \frac{8}{23} = \frac{7 \cdot 8}{2} = 7 \cdot 4 = 28$$

Мы нашли одно из чисел. Теперь найдем второе, подставив значение $y$ в первое уравнение:

$$x + 28 = 80,5$$ $$x = 80,5 - 28$$ $$x = 52,5$$

Таким образом, искомые числа - 52,5 и 28.

Первое число

Одно из чисел равно 52,5. Чтобы выделить целую часть, представим его в виде смешанной дроби. В виде неправильной дроби это $\frac{105}{2}$.

Ответ: 52$\frac{1}{2}$

Второе число

Другое число равно 28. Это целое число.

Ответ: 28

Помогло решение? Оставьте отзыв в комментариях ниже.

Присоединяйтесь к Телеграм-группе @gdz_by_belarus

Присоединиться

Мы подготовили для вас ответ c подробным объяснением домашего задания по алгебре за 7 класс, для упражнения номер 4.163 расположенного на странице 296 к учебнику 2022 года издания для учащихся школ и гимназий.

Теперь на нашем сайте ГДЗ.ТОП вы всегда легко и бесплатно найдёте условие с правильным ответом на вопрос «Как решить ДЗ» и «Как сделать» задание по алгебре к упражнению №4.163 (с. 296), авторов: Арефьева (Ирина Глебовна), Пирютко (Ольга Николаевна), учебного пособия издательства Народная асвета.