Номер 40, страница 45 - гдз по геометрии 7 класс учебник Казаков

Геометрия, 7 класс Учебник, автор: Казаков Валерий Владимирович, издательство Народная асвета, Минск, 2022, бирюзового цвета

Авторы: Казаков В. В.

Тип: Учебник

Издательство: Народная асвета

Год издания: 2022 - 2026

Цвет обложки: бирюзовый

ISBN: 978-985-03-3797-9

Допущено Министерством образования Республики Беларусь

Глава 1. Начальные понятия геометрии. Параграф 6. Смежные углы. Вертикальные углы. Задания к § 6. Решаем вместе - номер 40, страница 45.

№40 (с. 45)
Условие. №40 (с. 45)
скриншот условия
Геометрия, 7 класс Учебник, автор: Казаков Валерий Владимирович, издательство Народная асвета, Минск, 2022, бирюзового цвета, страница 45, номер 40, Условие

40. Углы 1 и 2 смежные. Найдите угол 1, если:

а) $\angle 1 - \angle 2 = 28^\circ$;

б) $\angle 1 : \angle 2 = 7 : 2$;

в) $\angle 1 = \frac{2}{3} \angle 2$;

г) $5 \cdot \angle 1 - 7 \cdot \angle 2 = 0$.

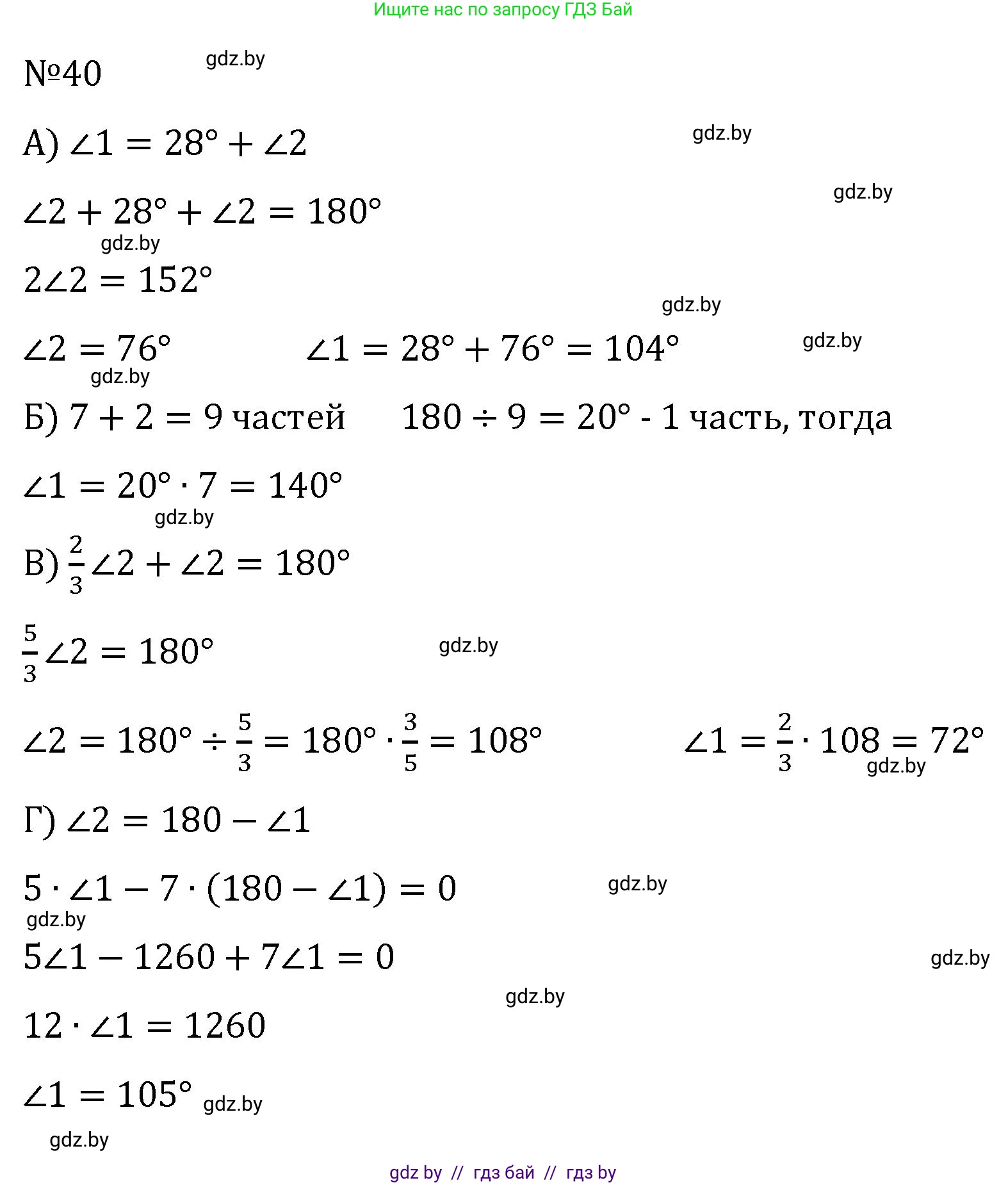
Решение 1. №40 (с. 45)
Геометрия, 7 класс Учебник, автор: Казаков Валерий Владимирович, издательство Народная асвета, Минск, 2022, бирюзового цвета, страница 45, номер 40, Решение 1 Геометрия, 7 класс Учебник, автор: Казаков Валерий Владимирович, издательство Народная асвета, Минск, 2022, бирюзового цвета, страница 45, номер 40, Решение 1 (продолжение 2)
Решение 2. №40 (с. 45)
Геометрия, 7 класс Учебник, автор: Казаков Валерий Владимирович, издательство Народная асвета, Минск, 2022, бирюзового цвета, страница 45, номер 40, Решение 2
Решение 3. №40 (с. 45)

По определению, смежные углы — это два угла, у которых одна сторона общая, а две другие являются продолжениями друг друга. Сумма смежных углов всегда равна 180°.

Таким образом, для всех пунктов задачи выполняется основное соотношение: $∠1 + ∠2 = 180°$.

а)

Нам дана система из двух уравнений:

$\begin{cases} ∠1 + ∠2 = 180° \\ ∠1 - ∠2 = 28° \end{cases}$

Сложим эти два уравнения, чтобы найти $∠1$:

$(∠1 + ∠2) + (∠1 - ∠2) = 180° + 28°$

$2 \cdot ∠1 = 208°$

$∠1 = \frac{208°}{2}$

$∠1 = 104°$

Ответ: $104°$.

б)

Нам дано отношение $∠1 : ∠2 = 7 : 2$.

Пусть одна часть равна $x$. Тогда $∠1 = 7x$, а $∠2 = 2x$.

Используя свойство смежных углов, составим уравнение:

$∠1 + ∠2 = 180°$

$7x + 2x = 180°$

$9x = 180°$

$x = \frac{180°}{9}$

$x = 20°$

Теперь найдем $∠1$:

$∠1 = 7x = 7 \cdot 20° = 140°$

Ответ: $140°$.

в)

Нам дана система уравнений:

$\begin{cases} ∠1 + ∠2 = 180° \\ ∠1 = \frac{2}{3}∠2 \end{cases}$

Подставим второе уравнение в первое:

$\frac{2}{3}∠2 + ∠2 = 180°$

$(\frac{2}{3} + 1)∠2 = 180°$

$\frac{5}{3}∠2 = 180°$

$∠2 = 180° \cdot \frac{3}{5}$

$∠2 = 108°$

Теперь найдем $∠1$ из основного соотношения:

$∠1 = 180° - ∠2 = 180° - 108° = 72°$

Ответ: $72°$.

г)

Нам дана система уравнений:

$\begin{cases} ∠1 + ∠2 = 180° \\ 5 \cdot ∠1 - 7 \cdot ∠2 = 0 \end{cases}$

Из первого уравнения выразим $∠2$:

$∠2 = 180° - ∠1$

Подставим это выражение во второе уравнение:

$5 \cdot ∠1 - 7 \cdot (180° - ∠1) = 0$

$5 \cdot ∠1 - 1260° + 7 \cdot ∠1 = 0$

$12 \cdot ∠1 = 1260°$

$∠1 = \frac{1260°}{12}$

$∠1 = 105°$

Ответ: $105°$.

Помогло решение? Оставьте отзыв в комментариях ниже.

Присоединяйтесь к Телеграм-группе @gdz_by_belarus

Присоединиться

Мы подготовили для вас ответ c подробным объяснением домашего задания по геометрии за 7 класс, для упражнения номер 40 расположенного на странице 45 к учебнику 2022 года издания для учащихся школ и гимназий.

Теперь на нашем сайте ГДЗ.ТОП вы всегда легко и бесплатно найдёте условие с правильным ответом на вопрос «Как решить ДЗ» и «Как сделать» задание по геометрии к упражнению №40 (с. 45), автора: Казаков (Валерий Владимирович), учебного пособия издательства Народная асвета.