Номер 63, страница 64 - гдз по геометрии 7 класс учебник Казаков

Геометрия, 7 класс Учебник, автор: Казаков Валерий Владимирович, издательство Народная асвета, Минск, 2022, бирюзового цвета

Авторы: Казаков В. В.

Тип: Учебник

Издательство: Народная асвета

Год издания: 2022 - 2026

Цвет обложки: бирюзовый

ISBN: 978-985-03-3797-9

Допущено Министерством образования Республики Беларусь

Глава 2. Признаки равенства треугольников. Параграф 9. Первый и второй признаки равенства треугольников. Задания к § 9. Решаем самостоятельно - номер 63, страница 64.

№63 (с. 64)
Условие. №63 (с. 64)
скриншот условия
Геометрия, 7 класс Учебник, автор: Казаков Валерий Владимирович, издательство Народная асвета, Минск, 2022, бирюзового цвета, страница 64, номер 63, Условие

63. Пользуясь данными на рисунках 114, а—г, докажите, что:

а) $\triangle AOC = \triangle DOB;$

б) $\triangle ABM = \triangle CBM;$

в) $\triangle ACB = \triangle ACD;$

г) $\triangle ABC = \triangle ADC.$

Рис. 114

Решение 1. №63 (с. 64)
Геометрия, 7 класс Учебник, автор: Казаков Валерий Владимирович, издательство Народная асвета, Минск, 2022, бирюзового цвета, страница 64, номер 63, Решение 1 Геометрия, 7 класс Учебник, автор: Казаков Валерий Владимирович, издательство Народная асвета, Минск, 2022, бирюзового цвета, страница 64, номер 63, Решение 1 (продолжение 2)
Решение 2. №63 (с. 64)
Геометрия, 7 класс Учебник, автор: Казаков Валерий Владимирович, издательство Народная асвета, Минск, 2022, бирюзового цвета, страница 64, номер 63, Решение 2
Решение 3. №63 (с. 64)

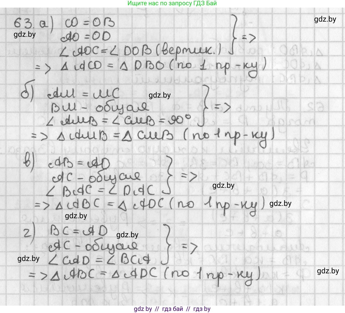
а) Рассмотрим треугольники $ \triangle AOC $ и $ \triangle DOB $.

По данным, указанным на рисунке:

  1. $ AO = DO $ (стороны отмечены двумя штрихами).
  2. $ CO = BO $ (стороны отмечены одним штрихом).
  3. $ \angle AOC = \angle DOB $ как вертикальные углы.

Следовательно, $ \triangle AOC = \triangle DOB $ по первому признаку равенства треугольников (по двум сторонам и углу между ними).

Ответ: Доказано, что $ \triangle AOC = \triangle DOB $.

б) Рассмотрим треугольники $ \triangle ABM $ и $ \triangle CBM $.

По данным, указанным на рисунке:

  1. $ AM = CM $ (отмечено двумя штрихами).
  2. $ BM $ – общая сторона для обоих треугольников.
  3. $ BM \perp AC $, следовательно, $ \angle BMA = \angle BMC = 90^\circ $.

Следовательно, $ \triangle ABM = \triangle CBM $ по первому признаку равенства треугольников (по двум сторонам и углу между ними). Также можно сослаться на признак равенства прямоугольных треугольников по двум катетам.

Ответ: Доказано, что $ \triangle ABM = \triangle CBM $.

в) Рассмотрим треугольники $ \triangle ACB $ и $ \triangle ACD $.

По данным, указанным на рисунке:

  1. $ AB = AD $ (стороны отмечены одним штрихом).
  2. $ CB = CD $ (стороны отмечены двумя штрихами).
  3. $ AC $ – общая сторона для обоих треугольников.

Следовательно, $ \triangle ACB = \triangle ACD $ по третьему признаку равенства треугольников (по трем сторонам).

Ответ: Доказано, что $ \triangle ACB = \triangle ACD $.

г) Рассмотрим треугольники $ \triangle ABC $ и $ \triangle CDA $.

По данным, указанным на рисунке:

  1. $ BC = DA $ (стороны отмечены двумя штрихами).
  2. $ \angle BCA = \angle DAC $ (углы отмечены одной дугой).
  3. $ AC $ – общая сторона для обоих треугольников.

Следовательно, $ \triangle ABC = \triangle CDA $ по первому признаку равенства треугольников (по двум сторонам и углу между ними). Равенство треугольников, которое требуется доказать ($ \triangle ABC = \triangle ADC $), является верным, если не учитывать строгий порядок соответствия вершин, что часто допускается в формулировках задач.

Ответ: Доказано, что $ \triangle ABC = \triangle ADC $.

Помогло решение? Оставьте отзыв в комментариях ниже.

Присоединяйтесь к Телеграм-группе @gdz_by_belarus

Присоединиться

Мы подготовили для вас ответ c подробным объяснением домашего задания по геометрии за 7 класс, для упражнения номер 63 расположенного на странице 64 к учебнику 2022 года издания для учащихся школ и гимназий.

Теперь на нашем сайте ГДЗ.ТОП вы всегда легко и бесплатно найдёте условие с правильным ответом на вопрос «Как решить ДЗ» и «Как сделать» задание по геометрии к упражнению №63 (с. 64), автора: Казаков (Валерий Владимирович), учебного пособия издательства Народная асвета.