Номер 80, страница 69 - гдз по геометрии 7 класс учебник Казаков

Геометрия, 7 класс Учебник, автор: Казаков Валерий Владимирович, издательство Народная асвета, Минск, 2022, бирюзового цвета

Авторы: Казаков В. В.

Тип: Учебник

Издательство: Народная асвета

Год издания: 2022 - 2026

Цвет обложки: бирюзовый

ISBN: 978-985-03-3797-9

Допущено Министерством образования Республики Беларусь

Глава 2. Признаки равенства треугольников. Параграф 10. Высота, медиана и биссектриса треугольника. Задания к § 10. Решаем самостоятельно - номер 80, страница 69.

№80 (с. 69)
Условие. №80 (с. 69)
скриншот условия
Геометрия, 7 класс Учебник, автор: Казаков Валерий Владимирович, издательство Народная асвета, Минск, 2022, бирюзового цвета, страница 69, номер 80, Условие

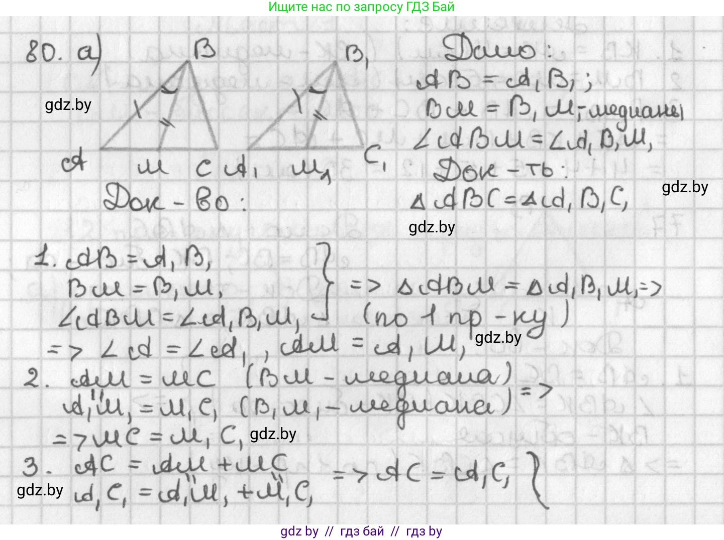
80. Докажите, что $\triangle ABC = \triangle A_1B_1C_1$, если у них:

а) равны стороны $AB$ и $A_1B_1$, равны медианы $BM$ и $B_1M_1$ и $\angle ABM = \angle A_1B_1M_1$;

б) равны стороны $AB$ и $A_1B_1$, равны биссектрисы $AK$ и $A_1K_1$ и $\angle BAC = \angle B_1A_1C_1$.

Решение 1. №80 (с. 69)
Геометрия, 7 класс Учебник, автор: Казаков Валерий Владимирович, издательство Народная асвета, Минск, 2022, бирюзового цвета, страница 69, номер 80, Решение 1 Геометрия, 7 класс Учебник, автор: Казаков Валерий Владимирович, издательство Народная асвета, Минск, 2022, бирюзового цвета, страница 69, номер 80, Решение 1 (продолжение 2)
Решение 2. №80 (с. 69)
Геометрия, 7 класс Учебник, автор: Казаков Валерий Владимирович, издательство Народная асвета, Минск, 2022, бирюзового цвета, страница 69, номер 80, Решение 2 Геометрия, 7 класс Учебник, автор: Казаков Валерий Владимирович, издательство Народная асвета, Минск, 2022, бирюзового цвета, страница 69, номер 80, Решение 2 (продолжение 2)
Решение 3. №80 (с. 69)

а)

Рассмотрим треугольники $\triangle ABM$ и $\triangle A_1B_1M_1$. По условию задачи нам дано, что сторона $AB$ равна стороне $A_1B_1$, медиана $BM$ равна медиане $B_1M_1$ и угол $\angle ABM$ равен углу $\angle A_1B_1M_1$.

Таким образом, в треугольниках $\triangle ABM$ и $\triangle A_1B_1M_1$ две стороны ($AB$ и $BM$) и угол между ними ($\angle ABM$) соответственно равны двум сторонам ($A_1B_1$ и $B_1M_1$) и углу между ними ($\angle A_1B_1M_1$). Следовательно, по первому признаку равенства треугольников (по двум сторонам и углу между ними), $\triangle ABM = \triangle A_1B_1M_1$.

Из равенства треугольников $\triangle ABM$ и $\triangle A_1B_1M_1$ следует равенство их соответствующих элементов:

1. $AM = A_1M_1$.

2. $\angle BAM = \angle B_1A_1M_1$, что то же самое, что $\angle BAC = \angle B_1A_1C_1$.

Поскольку $BM$ и $B_1M_1$ являются медианами, они делят стороны $AC$ и $A_1C_1$ пополам. Это означает, что $AC = 2 \cdot AM$ и $A_1C_1 = 2 \cdot A_1M_1$. Так как мы доказали, что $AM = A_1M_1$, то отсюда следует, что $AC = A_1C_1$.

Теперь рассмотрим исходные треугольники $\triangle ABC$ и $\triangle A_1B_1C_1$. У нас есть:

1. $AB = A_1B_1$ (по условию).

2. $AC = A_1C_1$ (как доказано выше).

3. $\angle BAC = \angle B_1A_1C_1$ (как доказано выше).

Таким образом, две стороны и угол между ними в $\triangle ABC$ равны двум сторонам и углу между ними в $\triangle A_1B_1C_1$. По первому признаку равенства треугольников, $\triangle ABC = \triangle A_1B_1C_1$, что и требовалось доказать.

Ответ: Доказано.

б)

Рассмотрим треугольники $\triangle ABK$ и $\triangle A_1B_1K_1$. По условию задачи нам дано, что сторона $AB = A_1B_1$, биссектриса $AK = A_1K_1$ и угол $\angle BAC = \angle B_1A_1C_1$.

Поскольку $AK$ и $A_1K_1$ — биссектрисы углов $\angle BAC$ и $\angle B_1A_1C_1$ соответственно, они делят эти углы пополам. Так как $\angle BAC = \angle B_1A_1C_1$, то и их половины равны:

$\angle BAK = \frac{1}{2}\angle BAC = \frac{1}{2}\angle B_1A_1C_1 = \angle B_1A_1K_1$.

Теперь в треугольниках $\triangle ABK$ и $\triangle A_1B_1K_1$ у нас есть:

1. $AB = A_1B_1$ (по условию).

2. $AK = A_1K_1$ (по условию).

3. $\angle BAK = \angle B_1A_1K_1$ (угол между этими сторонами, как доказано выше).

Следовательно, по первому признаку равенства треугольников (по двум сторонам и углу между ними), $\triangle ABK = \triangle A_1B_1K_1$.

Из равенства этих треугольников следует равенство их соответствующих углов: $\angle ABK = \angle A_1B_1K_1$, что то же самое, что $\angle ABC = \angle A_1B_1C_1$.

Теперь рассмотрим исходные треугольники $\triangle ABC$ и $\triangle A_1B_1C_1$. У нас есть:

1. $AB = A_1B_1$ (по условию).

2. $\angle BAC = \angle B_1A_1C_1$ (по условию).

3. $\angle ABC = \angle A_1B_1C_1$ (как доказано выше).

Таким образом, сторона и два прилежащих к ней угла в $\triangle ABC$ равны стороне и двум прилежащим к ней углам в $\triangle A_1B_1C_1$. По второму признаку равенства треугольников, $\triangle ABC = \triangle A_1B_1C_1$, что и требовалось доказать.

Ответ: Доказано.

Помогло решение? Оставьте отзыв в комментариях ниже.

Присоединяйтесь к Телеграм-группе @gdz_by_belarus

Присоединиться

Мы подготовили для вас ответ c подробным объяснением домашего задания по геометрии за 7 класс, для упражнения номер 80 расположенного на странице 69 к учебнику 2022 года издания для учащихся школ и гимназий.

Теперь на нашем сайте ГДЗ.ТОП вы всегда легко и бесплатно найдёте условие с правильным ответом на вопрос «Как решить ДЗ» и «Как сделать» задание по геометрии к упражнению №80 (с. 69), автора: Казаков (Валерий Владимирович), учебного пособия издательства Народная асвета.