Номер 9, страница 27 - гдз по геометрии 7 класс учебник Казаков

Геометрия, 7 класс Учебник, автор: Казаков Валерий Владимирович, издательство Народная асвета, Минск, 2022, бирюзового цвета

Авторы: Казаков В. В.

Тип: Учебник

Издательство: Народная асвета

Год издания: 2022 - 2026

Цвет обложки: бирюзовый

ISBN: 978-985-03-3797-9

Допущено Министерством образования Республики Беларусь

Глава 1. Начальные понятия геометрии. Параграф 3. Прямая. Луч. Отрезок. Ломаная. Задания к § 3. Решаем самостоятельно - номер 9, страница 27.

№9 (с. 27)
Условие. №9 (с. 27)
скриншот условия
Геометрия, 7 класс Учебник, автор: Казаков Валерий Владимирович, издательство Народная асвета, Минск, 2022, бирюзового цвета, страница 27, номер 9, Условие

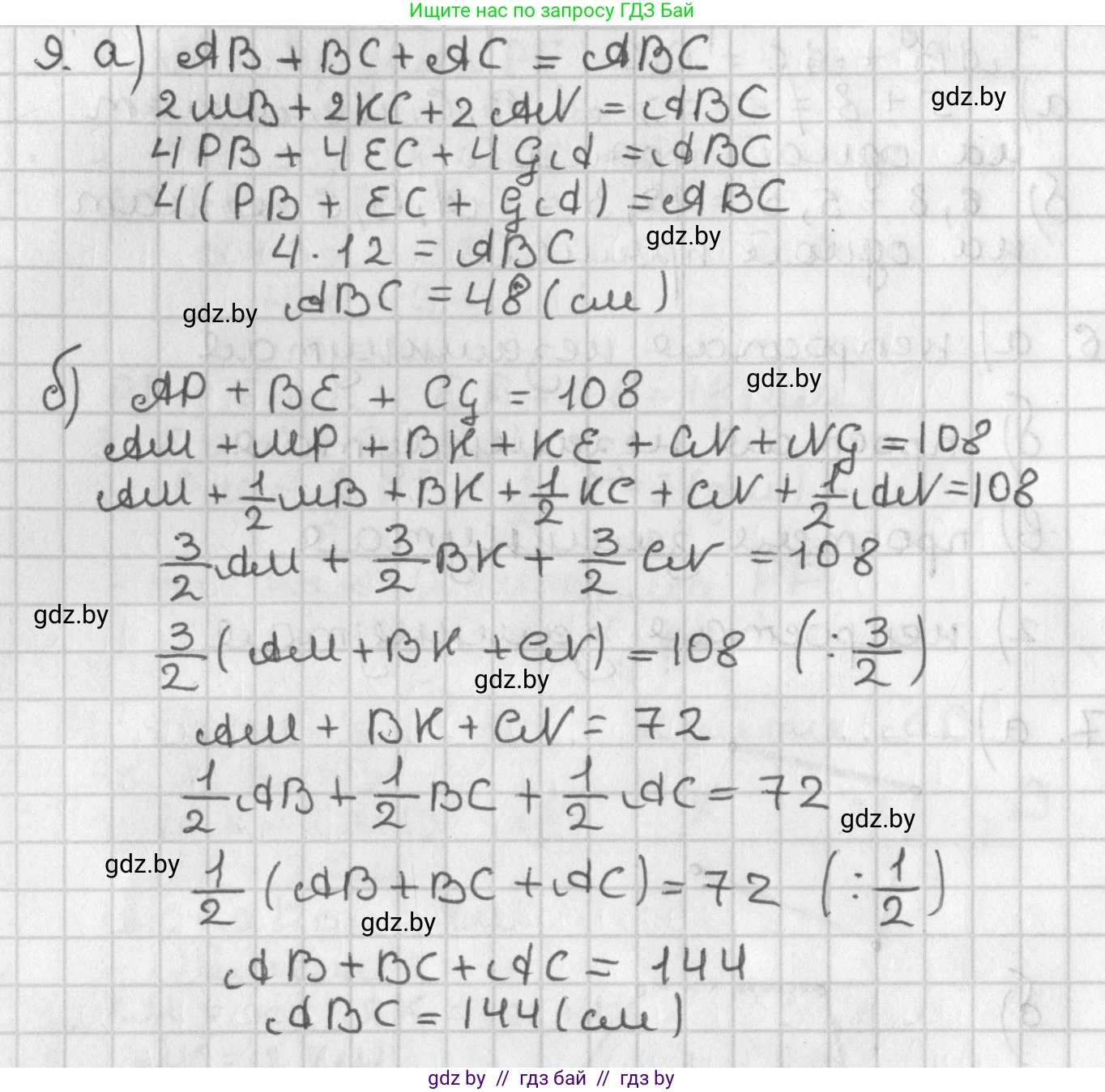
9. Дана трехзвенная замкнутая ломаная $ABC$ (рис. 44). Точки $M$, $K$, $N$ — середины ее звеньев $AB$, $BC$ и $AC$. Точки $P$, $E$, $G$ — середины отрезков $MB$, $KC$ и $AN$. Найдите длину ломаной $ABC$, если:

a) $PB + EC + GA = 12$ см;

б) $AP + BE + CG = 108$ см.

Рис. 44

Решение 1. №9 (с. 27)
Геометрия, 7 класс Учебник, автор: Казаков Валерий Владимирович, издательство Народная асвета, Минск, 2022, бирюзового цвета, страница 27, номер 9, Решение 1 Геометрия, 7 класс Учебник, автор: Казаков Валерий Владимирович, издательство Народная асвета, Минск, 2022, бирюзового цвета, страница 27, номер 9, Решение 1 (продолжение 2)
Решение 2. №9 (с. 27)
Геометрия, 7 класс Учебник, автор: Казаков Валерий Владимирович, издательство Народная асвета, Минск, 2022, бирюзового цвета, страница 27, номер 9, Решение 2
Решение 3. №9 (с. 27)

а)По условию, M — середина звена AB, а P — середина отрезка MB. Следовательно, $MB = \frac{1}{2}AB$, а $PB = \frac{1}{2}MB$. Объединив эти два равенства, получаем:
$PB = \frac{1}{2}(\frac{1}{2}AB) = \frac{1}{4}AB$.

Аналогично, K — середина звена BC, E — середина отрезка KC. Значит, $KC = \frac{1}{2}BC$ и $EC = \frac{1}{2}KC$. Отсюда:
$EC = \frac{1}{2}(\frac{1}{2}BC) = \frac{1}{4}BC$.

Также, N — середина звена AC, G — середина отрезка AN. Значит, $AN = \frac{1}{2}AC$ и $GA = \frac{1}{2}AN$. Отсюда:
$GA = \frac{1}{2}(\frac{1}{2}AC) = \frac{1}{4}AC$.

Сумма длин этих отрезков по условию равна 12 см:
$PB + EC + GA = 12$
Подставим полученные выражения в это равенство:
$\frac{1}{4}AB + \frac{1}{4}BC + \frac{1}{4}AC = 12$
Вынесем общий множитель $\frac{1}{4}$ за скобки:
$\frac{1}{4}(AB + BC + AC) = 12$
Длина ломаной ABC — это сумма длин ее звеньев, то есть $L = AB + BC + AC$. Таким образом:
$\frac{1}{4}L = 12$
$L = 12 \cdot 4 = 48$ см.
Ответ: 48 см.

б)Найдем длины отрезков AP, BE и CG.
Отрезок AP состоит из отрезков AM и MP. Так как M — середина AB, то $AM = \frac{1}{2}AB$. Так как P — середина MB, а $MB = \frac{1}{2}AB$, то $MP = \frac{1}{2}MB = \frac{1}{4}AB$. Тогда:
$AP = AM + MP = \frac{1}{2}AB + \frac{1}{4}AB = \frac{3}{4}AB$.

Аналогично для отрезка BE. Он состоит из BK и KE. Так как K — середина BC, то $BK = \frac{1}{2}BC$. Так как E — середина KC, а $KC = \frac{1}{2}BC$, то $KE = \frac{1}{2}KC = \frac{1}{4}BC$. Тогда:
$BE = BK + KE = \frac{1}{2}BC + \frac{1}{4}BC = \frac{3}{4}BC$.

Аналогично для отрезка CG. Он состоит из CN и NG. Так как N — середина AC, то $CN = \frac{1}{2}AC$. Так как G — середина AN, а $AN = \frac{1}{2}AC$, то $NG = \frac{1}{2}AN = \frac{1}{4}AC$. Тогда:
$CG = CN + NG = \frac{1}{2}AC + \frac{1}{4}AC = \frac{3}{4}AC$.

Сумма длин этих отрезков по условию равна 108 см:
$AP + BE + CG = 108$
Подставим полученные выражения в это равенство:
$\frac{3}{4}AB + \frac{3}{4}BC + \frac{3}{4}AC = 108$
Вынесем общий множитель $\frac{3}{4}$ за скобки:
$\frac{3}{4}(AB + BC + AC) = 108$
Длина ломаной ABC это $L = AB + BC + AC$. Таким образом:
$\frac{3}{4}L = 108$
$L = 108 \cdot \frac{4}{3} = 36 \cdot 4 = 144$ см.
Ответ: 144 см.

Помогло решение? Оставьте отзыв в комментариях ниже.

Присоединяйтесь к Телеграм-группе @gdz_by_belarus

Присоединиться

Мы подготовили для вас ответ c подробным объяснением домашего задания по геометрии за 7 класс, для упражнения номер 9 расположенного на странице 27 к учебнику 2022 года издания для учащихся школ и гимназий.

Теперь на нашем сайте ГДЗ.ТОП вы всегда легко и бесплатно найдёте условие с правильным ответом на вопрос «Как решить ДЗ» и «Как сделать» задание по геометрии к упражнению №9 (с. 27), автора: Казаков (Валерий Владимирович), учебного пособия издательства Народная асвета.