Номер 1, страница 4 - гдз по алгебре 8 класс учебник Арефьева, Пирютко

Алгебра, 8 класс Учебник, авторы: Арефьева Ирина Глебовна, Пирютко Ольга Николаевна, издательство Адукацыя i выхаванне, Минск, 2024, бирюзового цвета

Авторы: Арефьева И. Г., Пирютко О. Н.

Тип: Учебник

Издательство: Адукацыя i выхаванне

Год издания: 2024 - 2026

Цвет обложки: бирюзовый с графиком

ISBN: ISBN 978-985-03-4081-8

Допущено Министерством образования Республики Беларусь

Популярные ГДЗ в 8 классе

Повторение курса алгебры 7-го класса. Степень с целым показателем и ее свойства - номер 1, страница 4.

№1 (с. 4)
Условие. №1 (с. 4)
скриншот условия
Алгебра, 8 класс Учебник, авторы: Арефьева Ирина Глебовна, Пирютко Ольга Николаевна, издательство Адукацыя i выхаванне, Минск, 2024, бирюзового цвета, страница 4, номер 1, Условие

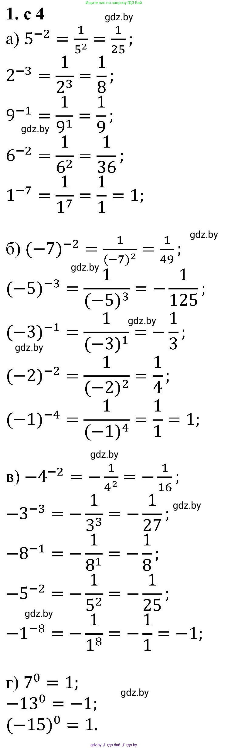
1. Пользуясь определением степени с целым показателем, вычислите:

а) $5^{-2}; 2^{-3}; 9^{-1}; 6^{-2}; 1^{-7};$

б) $(-7)^{-2}; (-5)^{-3}; (-3)^{-1}; (-2)^{-2}; (-1)^{-4};$

в) $-4^{-2}; -3^{-3}; -8^{-1}; -5^{-2}; -1^{-8};$

г) $7^0; -13^0; (-15)^0.$

Решение. №1 (с. 4)
Алгебра, 8 класс Учебник, авторы: Арефьева Ирина Глебовна, Пирютко Ольга Николаевна, издательство Адукацыя i выхаванне, Минск, 2024, бирюзового цвета, страница 4, номер 1, Решение
Решение 2. №1 (с. 4)

Для решения используется определение степени с целым отрицательным показателем $a^{-n} = \frac{1}{a^n}$ (где $a \neq 0$, $n$ - натуральное число) и определение степени с нулевым показателем $a^0 = 1$ (где $a \neq 0$).

а) $5^{-2} = \frac{1}{5^2} = \frac{1}{25}$. Ответ: $\frac{1}{25}$

$2^{-3} = \frac{1}{2^3} = \frac{1}{8}$. Ответ: $\frac{1}{8}$

$9^{-1} = \frac{1}{9^1} = \frac{1}{9}$. Ответ: $\frac{1}{9}$

$6^{-2} = \frac{1}{6^2} = \frac{1}{36}$. Ответ: $\frac{1}{36}$

$1^{-7} = \frac{1}{1^7} = \frac{1}{1} = 1$. Ответ: 1

б) $(-7)^{-2} = \frac{1}{(-7)^2} = \frac{1}{49}$. Ответ: $\frac{1}{49}$

$(-5)^{-3} = \frac{1}{(-5)^3} = \frac{1}{-125} = -\frac{1}{125}$. Ответ: $-\frac{1}{125}$

$(-3)^{-1} = \frac{1}{(-3)^1} = -\frac{1}{3}$. Ответ: $-\frac{1}{3}$

$(-2)^{-2} = \frac{1}{(-2)^2} = \frac{1}{4}$. Ответ: $\frac{1}{4}$

$(-1)^{-4} = \frac{1}{(-1)^4} = \frac{1}{1} = 1$. Ответ: 1

в) Знак "минус" не относится к основанию степени, так как не заключен в скобки.

$-4^{-2} = -(4^{-2}) = -(\frac{1}{4^2}) = -\frac{1}{16}$. Ответ: $-\frac{1}{16}$

$-3^{-3} = -(3^{-3}) = -(\frac{1}{3^3}) = -\frac{1}{27}$. Ответ: $-\frac{1}{27}$

$-8^{-1} = -(8^{-1}) = -(\frac{1}{8^1}) = -\frac{1}{8}$. Ответ: $-\frac{1}{8}$

$-5^{-2} = -(5^{-2}) = -(\frac{1}{5^2}) = -\frac{1}{25}$. Ответ: $-\frac{1}{25}$

$-1^{-8} = -(1^{-8}) = -(\frac{1}{1^8}) = -1$. Ответ: -1

г) $7^0 = 1$. Ответ: 1

$-13^0 = -(13^0) = -1$. Ответ: -1

$(-15)^0 = 1$. Ответ: 1

Помогло решение? Оставьте отзыв в комментариях ниже.

Присоединяйтесь к Телеграм-группе @gdz_by_belarus

Присоединиться

Мы подготовили для вас ответ c подробным объяснением домашего задания по алгебре за 8 класс, для упражнения номер 1 расположенного на странице 4 к учебнику 2024 года издания для учащихся школ и гимназий.

Теперь на нашем сайте ГДЗ.ТОП вы всегда легко и бесплатно найдёте условие с правильным ответом на вопрос «Как решить ДЗ» и «Как сделать» задание по алгебре к упражнению №1 (с. 4), авторов: Арефьева (Ирина Глебовна), Пирютко (Ольга Николаевна), учебного пособия издательства Адукацыя i выхаванне.