Номер 10, страница 96 - гдз по алгебре 8 класс учебник Арефьева, Пирютко

Алгебра, 8 класс Учебник, авторы: Арефьева Ирина Глебовна, Пирютко Ольга Николаевна, издательство Адукацыя i выхаванне, Минск, 2024, бирюзового цвета

Авторы: Арефьева И. Г., Пирютко О. Н.

Тип: Учебник

Издательство: Адукацыя i выхаванне

Год издания: 2024 - 2026

Цвет обложки: бирюзовый с графиком

ISBN: ISBN 978-985-03-4081-8

Допущено Министерством образования Республики Беларусь

Популярные ГДЗ в 8 классе

Глава 1. Квадратные корни и их свойства. Действительные числа. Я проверяю свои знания - номер 10, страница 96.

№10 (с. 96)
Условие. №10 (с. 96)
скриншот условия
Алгебра, 8 класс Учебник, авторы: Арефьева Ирина Глебовна, Пирютко Ольга Николаевна, издательство Адукацыя i выхаванне, Минск, 2024, бирюзового цвета, страница 96, номер 10, Условие

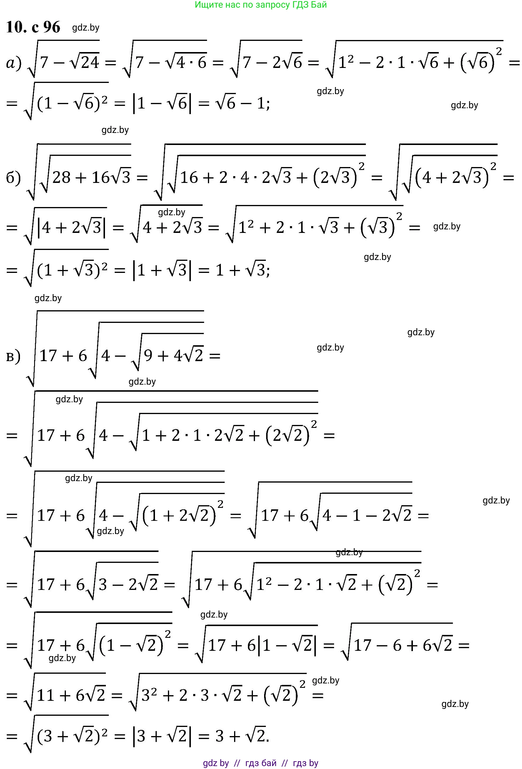
10. Упростите выражение:

а) $\sqrt{7-\sqrt{24}}$;

б) $\sqrt{28+16\sqrt{3}}$;

в) $\sqrt{17+6\sqrt{4-\sqrt{9+4\sqrt{2}}}}$.

Решение. №10 (с. 96)
Алгебра, 8 класс Учебник, авторы: Арефьева Ирина Глебовна, Пирютко Ольга Николаевна, издательство Адукацыя i выхаванне, Минск, 2024, бирюзового цвета, страница 96, номер 10, Решение
Решение 2. №10 (с. 96)

а) Для упрощения выражения $\sqrt{7 - \sqrt{24}}$ представим подкоренное выражение в виде полного квадрата, используя формулу $(a - b)^2 = a^2 - 2ab + b^2$.

Сначала преобразуем внутренний радикал, чтобы выделить множитель 2:
$\sqrt{24} = \sqrt{4 \cdot 6} = 2\sqrt{6}$.

Теперь исходное выражение имеет вид:
$\sqrt{7 - 2\sqrt{6}}$

Нам нужно найти два числа, сумма квадратов которых равна 7, а их удвоенное произведение равно $2\sqrt{6}$. Иначе говоря, ищем такие $a$ и $b$, что $a^2 + b^2 = 7$ и $ab = \sqrt{6}$.
Если предположить, что $a=\sqrt{x}$ и $b=\sqrt{y}$, то задача сводится к нахождению таких $x$ и $y$, что:
$x + y = 7$
$xy = 6$
По теореме Виета, это числа 6 и 1.

Таким образом, мы можем записать подкоренное выражение как:
$7 - 2\sqrt{6} = 6 - 2\sqrt{6} + 1 = (\sqrt{6})^2 - 2 \cdot \sqrt{6} \cdot 1 + 1^2 = (\sqrt{6} - 1)^2$.

Подставляем это обратно в исходное выражение:
$\sqrt{7 - \sqrt{24}} = \sqrt{(\sqrt{6} - 1)^2}$.

Так как $\sqrt{6} \approx 2.45$, то $\sqrt{6} - 1 > 0$. Значит, можем убрать модуль:
$\sqrt{(\sqrt{6} - 1)^2} = |\sqrt{6} - 1| = \sqrt{6} - 1$.

Ответ: $\sqrt{6} - 1$.

б) Упростим выражение $\sqrt{\sqrt{28 + 16\sqrt{3}}}$ последовательно, начиная с внутреннего радикала.

1. Упростим $\sqrt{28 + 16\sqrt{3}}$.
Вынесем множитель 2 из-под знака корня: $16\sqrt{3} = 2 \cdot 8\sqrt{3} = 2\sqrt{8^2 \cdot 3} = 2\sqrt{64 \cdot 3} = 2\sqrt{192}$.
Выражение принимает вид: $\sqrt{28 + 2\sqrt{192}}$.
Ищем два числа $x$ и $y$, такие что $x+y=28$ и $xy=192$. Это числа 16 и 12.
Следовательно, $28 + 2\sqrt{192} = (\sqrt{16} + \sqrt{12})^2 = (4 + \sqrt{4 \cdot 3})^2 = (4 + 2\sqrt{3})^2$.
Тогда $\sqrt{28 + 16\sqrt{3}} = \sqrt{(4 + 2\sqrt{3})^2} = 4 + 2\sqrt{3}$.

2. Теперь упростим получившееся выражение $\sqrt{4 + 2\sqrt{3}}$.
Ищем два числа $x$ и $y$, такие что $x+y=4$ и $xy=3$. Это числа 3 и 1.
Следовательно, $4 + 2\sqrt{3} = (\sqrt{3} + \sqrt{1})^2 = (\sqrt{3} + 1)^2$.
Тогда $\sqrt{4 + 2\sqrt{3}} = \sqrt{(\sqrt{3} + 1)^2} = \sqrt{3} + 1$.

Ответ: $\sqrt{3} + 1$.

в) Упростим выражение $\sqrt{17 + 6\sqrt{4 - \sqrt{9 + 4\sqrt{2}}}}$ последовательно, начиная с самого внутреннего радикала.

1. Упростим $\sqrt{9 + 4\sqrt{2}}$.
$4\sqrt{2} = 2 \cdot 2\sqrt{2} = 2\sqrt{4 \cdot 2} = 2\sqrt{8}$.
Выражение принимает вид: $\sqrt{9 + 2\sqrt{8}}$.
Ищем два числа $x$ и $y$, такие что $x+y=9$ и $xy=8$. Это числа 8 и 1.
Следовательно, $9 + 2\sqrt{8} = (\sqrt{8} + \sqrt{1})^2 = (2\sqrt{2} + 1)^2$.
Тогда $\sqrt{9 + 4\sqrt{2}} = \sqrt{(2\sqrt{2} + 1)^2} = 2\sqrt{2} + 1$.

2. Подставим результат в следующий радикал: $\sqrt{4 - (2\sqrt{2} + 1)}$.
$\sqrt{4 - 2\sqrt{2} - 1} = \sqrt{3 - 2\sqrt{2}}$.
Ищем два числа $x$ и $y$, такие что $x+y=3$ и $xy=2$. Это числа 2 и 1.
Следовательно, $3 - 2\sqrt{2} = (\sqrt{2} - \sqrt{1})^2 = (\sqrt{2} - 1)^2$.
Тогда $\sqrt{3 - 2\sqrt{2}} = \sqrt{(\sqrt{2} - 1)^2} = \sqrt{2} - 1$ (так как $\sqrt{2} - 1 > 0$).

3. Подставим результат в самый внешний радикал: $\sqrt{17 + 6(\sqrt{2} - 1)}$.
$\sqrt{17 + 6\sqrt{2} - 6} = \sqrt{11 + 6\sqrt{2}}$.
Преобразуем: $6\sqrt{2} = 2 \cdot 3\sqrt{2} = 2\sqrt{9 \cdot 2} = 2\sqrt{18}$.
Выражение принимает вид: $\sqrt{11 + 2\sqrt{18}}$.
Ищем два числа $x$ и $y$, такие что $x+y=11$ и $xy=18$. Это числа 9 и 2.
Следовательно, $11 + 2\sqrt{18} = (\sqrt{9} + \sqrt{2})^2 = (3 + \sqrt{2})^2$.
Тогда $\sqrt{11 + 6\sqrt{2}} = \sqrt{(3 + \sqrt{2})^2} = 3 + \sqrt{2}$.

Ответ: $3 + \sqrt{2}$.

Помогло решение? Оставьте отзыв в комментариях ниже.

Присоединяйтесь к Телеграм-группе @gdz_by_belarus

Присоединиться

Мы подготовили для вас ответ c подробным объяснением домашего задания по алгебре за 8 класс, для упражнения номер 10 расположенного на странице 96 к учебнику 2024 года издания для учащихся школ и гимназий.

Теперь на нашем сайте ГДЗ.ТОП вы всегда легко и бесплатно найдёте условие с правильным ответом на вопрос «Как решить ДЗ» и «Как сделать» задание по алгебре к упражнению №10 (с. 96), авторов: Арефьева (Ирина Глебовна), Пирютко (Ольга Николаевна), учебного пособия издательства Адукацыя i выхаванне.