Номер 1.20, страница 21 - гдз по алгебре 8 класс учебник Арефьева, Пирютко

Алгебра, 8 класс Учебник, авторы: Арефьева Ирина Глебовна, Пирютко Ольга Николаевна, издательство Адукацыя i выхаванне, Минск, 2024, бирюзового цвета

Авторы: Арефьева И. Г., Пирютко О. Н.

Тип: Учебник

Издательство: Адукацыя i выхаванне

Год издания: 2024 - 2026

Цвет обложки: бирюзовый с графиком

ISBN: ISBN 978-985-03-4081-8

Допущено Министерством образования Республики Беларусь

Популярные ГДЗ в 8 классе

Глава 1. Квадратные корни и их свойства. Действительные числа. Параграф 1. Квадратный корень из числа. Арифметический квадратный корень - номер 1.20, страница 21.

№1.20 (с. 21)
Условие. №1.20 (с. 21)
скриншот условия
Алгебра, 8 класс Учебник, авторы: Арефьева Ирина Глебовна, Пирютко Ольга Николаевна, издательство Адукацыя i выхаванне, Минск, 2024, бирюзового цвета, страница 21, номер 1.20, Условие

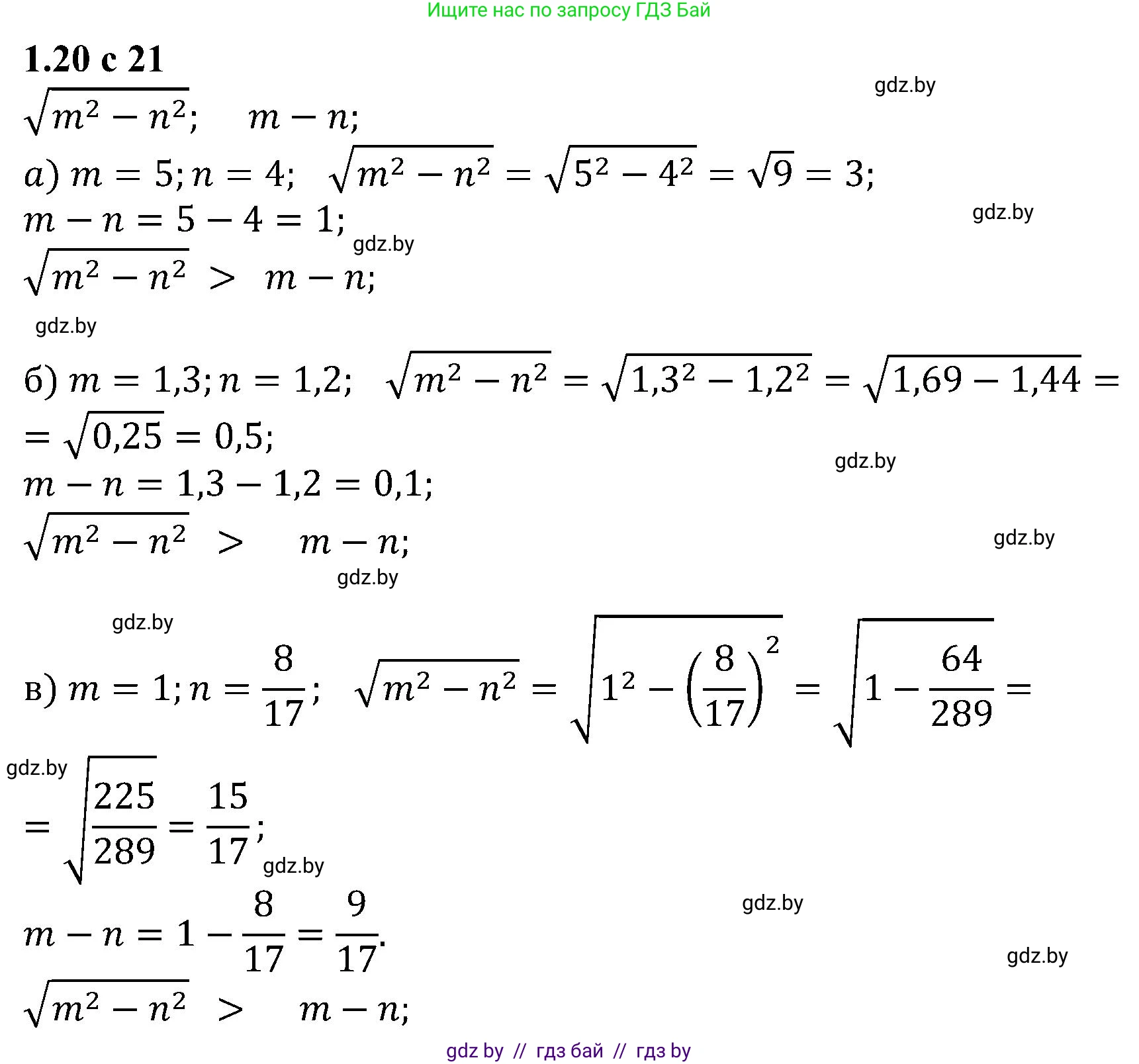
1.20. Сравните значения выражений $\sqrt{m^2 - n^2}$ и $m - n$ при:

а) $m = 5, n = 4;$

б) $m = 1,3, n = 1,2;$

в) $m = 1, n = \frac{8}{17}.$

Решение. №1.20 (с. 21)
Алгебра, 8 класс Учебник, авторы: Арефьева Ирина Глебовна, Пирютко Ольга Николаевна, издательство Адукацыя i выхаванне, Минск, 2024, бирюзового цвета, страница 21, номер 1.20, Решение
Решение 2. №1.20 (с. 21)

Для того чтобы сравнить значения выражений, необходимо подставить заданные значения переменных в каждое из них и вычислить результат.

а) При $m = 5, n = 4$:

  1. Вычислим значение выражения $\sqrt{m^2 - n^2}$:
    $\sqrt{5^2 - 4^2} = \sqrt{25 - 16} = \sqrt{9} = 3$.
  2. Вычислим значение выражения $m - n$:
    $5 - 4 = 1$.
  3. Сравним полученные результаты:
    $3 > 1$.

Ответ: $\sqrt{m^2 - n^2} > m - n$.

б) При $m = 1,3, n = 1,2$:

  1. Вычислим значение выражения $\sqrt{m^2 - n^2}$:
    $\sqrt{1{,}3^2 - 1{,}2^2} = \sqrt{1{,}69 - 1{,}44} = \sqrt{0{,}25} = 0{,}5$.
  2. Вычислим значение выражения $m - n$:
    $1{,}3 - 1{,}2 = 0{,}1$.
  3. Сравним полученные результаты:
    $0{,}5 > 0{,}1$.

Ответ: $\sqrt{m^2 - n^2} > m - n$.

в) При $m = 1, n = \frac{8}{17}$:

  1. Вычислим значение выражения $\sqrt{m^2 - n^2}$:
    $\sqrt{1^2 - \left(\frac{8}{17}\right)^2} = \sqrt{1 - \frac{64}{289}} = \sqrt{\frac{289 - 64}{289}} = \sqrt{\frac{225}{289}} = \frac{15}{17}$.
  2. Вычислим значение выражения $m - n$:
    $1 - \frac{8}{17} = \frac{17}{17} - \frac{8}{17} = \frac{9}{17}$.
  3. Сравним полученные результаты:
    $\frac{15}{17} > \frac{9}{17}$, так как у дробей одинаковые знаменатели, а числитель первой дроби ($15$) больше числителя второй ($9$).

Ответ: $\sqrt{m^2 - n^2} > m - n$.

Помогло решение? Оставьте отзыв в комментариях ниже.

Присоединяйтесь к Телеграм-группе @gdz_by_belarus

Присоединиться

Мы подготовили для вас ответ c подробным объяснением домашего задания по алгебре за 8 класс, для упражнения номер 1.20 расположенного на странице 21 к учебнику 2024 года издания для учащихся школ и гимназий.

Теперь на нашем сайте ГДЗ.ТОП вы всегда легко и бесплатно найдёте условие с правильным ответом на вопрос «Как решить ДЗ» и «Как сделать» задание по алгебре к упражнению №1.20 (с. 21), авторов: Арефьева (Ирина Глебовна), Пирютко (Ольга Николаевна), учебного пособия издательства Адукацыя i выхаванне.