Номер 1.221, страница 59 - гдз по алгебре 8 класс учебник Арефьева, Пирютко

Алгебра, 8 класс Учебник, авторы: Арефьева Ирина Глебовна, Пирютко Ольга Николаевна, издательство Адукацыя i выхаванне, Минск, 2024, бирюзового цвета

Авторы: Арефьева И. Г., Пирютко О. Н.

Тип: Учебник

Издательство: Адукацыя i выхаванне

Год издания: 2024 - 2026

Цвет обложки: бирюзовый с графиком

ISBN: ISBN 978-985-03-4081-8

Допущено Министерством образования Республики Беларусь

Популярные ГДЗ в 8 классе

Глава 1. Квадратные корни и их свойства. Действительные числа. Параграф 4. Применение свойств квадратных корней - номер 1.221, страница 59.

№1.221 (с. 59)
Условие. №1.221 (с. 59)
скриншот условия
Алгебра, 8 класс Учебник, авторы: Арефьева Ирина Глебовна, Пирютко Ольга Николаевна, издательство Адукацыя i выхаванне, Минск, 2024, бирюзового цвета, страница 59, номер 1.221, Условие

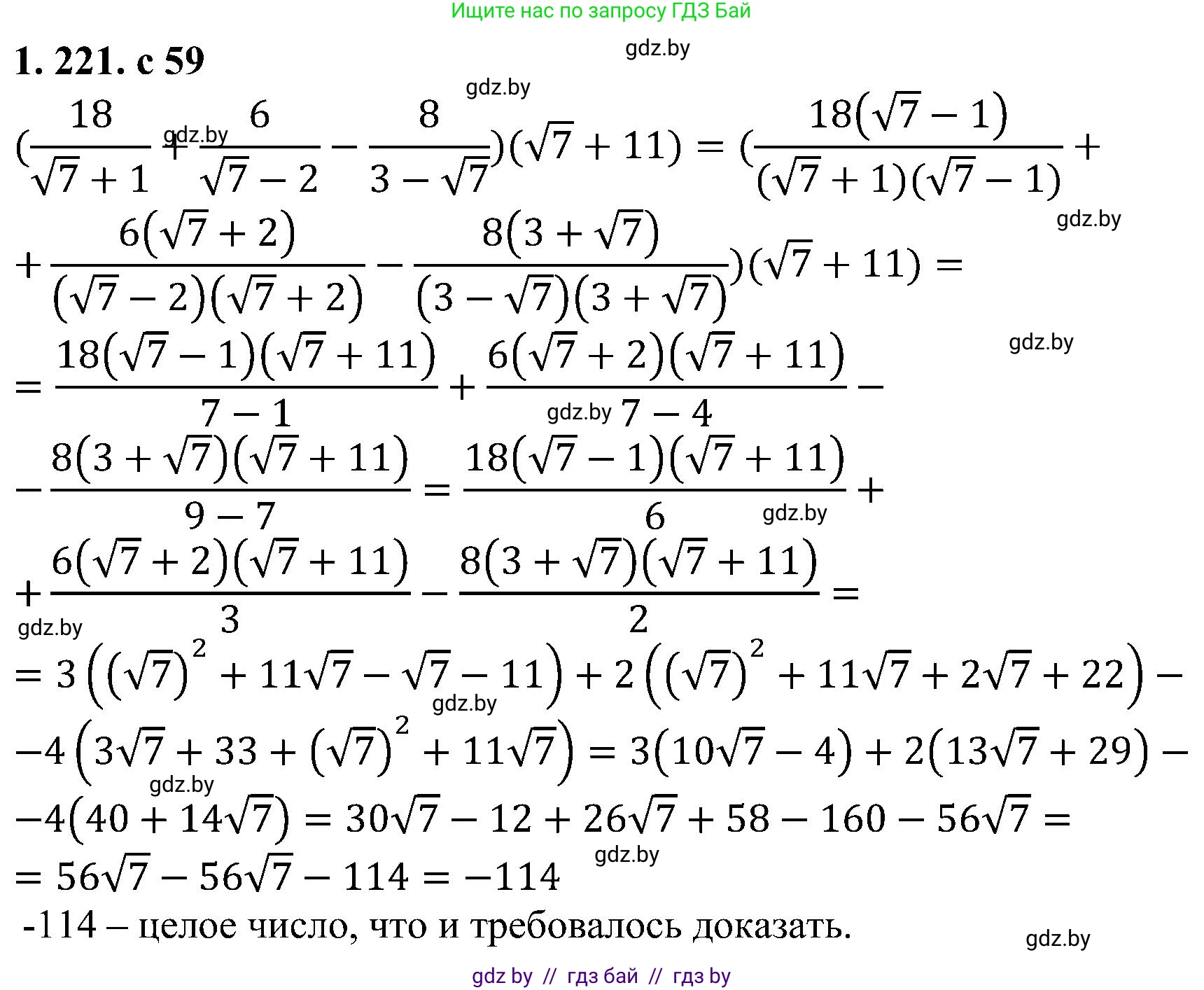
1.221. Докажите, что значение выражения $\left(\frac{18}{\sqrt{7}+1} + \frac{6}{\sqrt{7}-2} - \frac{8}{3-\sqrt{7}}\right)(\sqrt{7}+11)$ является целым числом.

Решение. №1.221 (с. 59)
Алгебра, 8 класс Учебник, авторы: Арефьева Ирина Глебовна, Пирютко Ольга Николаевна, издательство Адукацыя i выхаванне, Минск, 2024, бирюзового цвета, страница 59, номер 1.221, Решение
Решение 2. №1.221 (с. 59)

Для доказательства того, что значение выражения является целым числом, необходимо его вычислить. Выполним вычисления по шагам.

Шаг 1. Упростим выражение в первых скобках: $\left(\frac{18}{\sqrt{7}+1} + \frac{6}{\sqrt{7}-2} - \frac{8}{3-\sqrt{7}}\right)$

Для этого избавимся от иррациональности в знаменателе каждой дроби, умножив её числитель и знаменатель на сопряженное к знаменателю выражение.

  • Для первой дроби сопряженное выражение равно $(\sqrt{7}-1)$:
    $$ \frac{18}{\sqrt{7}+1} = \frac{18(\sqrt{7}-1)}{(\sqrt{7}+1)(\sqrt{7}-1)} = \frac{18(\sqrt{7}-1)}{(\sqrt{7})^2 - 1^2} = \frac{18(\sqrt{7}-1)}{7-1} = \frac{18(\sqrt{7}-1)}{6} = 3(\sqrt{7}-1) = 3\sqrt{7}-3 $$
  • Для второй дроби сопряженное выражение равно $(\sqrt{7}+2)$:
    $$ \frac{6}{\sqrt{7}-2} = \frac{6(\sqrt{7}+2)}{(\sqrt{7}-2)(\sqrt{7}+2)} = \frac{6(\sqrt{7}+2)}{(\sqrt{7})^2 - 2^2} = \frac{6(\sqrt{7}+2)}{7-4} = \frac{6(\sqrt{7}+2)}{3} = 2(\sqrt{7}+2) = 2\sqrt{7}+4 $$
  • Для третьей дроби сопряженное выражение равно $(3+\sqrt{7})$:
    $$ \frac{8}{3-\sqrt{7}} = \frac{8(3+\sqrt{7})}{(3-\sqrt{7})(3+\sqrt{7})} = \frac{8(3+\sqrt{7})}{3^2 - (\sqrt{7})^2} = \frac{8(3+\sqrt{7})}{9-7} = \frac{8(3+\sqrt{7})}{2} = 4(3+\sqrt{7}) = 12+4\sqrt{7} $$

Теперь подставим упрощенные выражения обратно в скобки и приведем подобные слагаемые:

$$ (3\sqrt{7}-3) + (2\sqrt{7}+4) - (12+4\sqrt{7}) = 3\sqrt{7}-3 + 2\sqrt{7}+4 - 12 - 4\sqrt{7} $$
$$ = (3\sqrt{7}+2\sqrt{7}-4\sqrt{7}) + (-3+4-12) = \sqrt{7}-11 $$

Шаг 2. Выполним умножение и завершим доказательство.

Умножим результат, полученный на первом шаге, $(\sqrt{7}-11)$, на вторую скобку $(\sqrt{7}+11)$. Воспользуемся формулой разности квадратов $(a-b)(a+b) = a^2 - b^2$:

$$ (\sqrt{7}-11)(\sqrt{7}+11) = (\sqrt{7})^2 - 11^2 = 7 - 121 = -114 $$

Доказательство. Значение исходного выражения равно -114. Так как число -114 является целым, утверждение доказано. Ответ: -114

Помогло решение? Оставьте отзыв в комментариях ниже.

Присоединяйтесь к Телеграм-группе @gdz_by_belarus

Присоединиться

Мы подготовили для вас ответ c подробным объяснением домашего задания по алгебре за 8 класс, для упражнения номер 1.221 расположенного на странице 59 к учебнику 2024 года издания для учащихся школ и гимназий.

Теперь на нашем сайте ГДЗ.ТОП вы всегда легко и бесплатно найдёте условие с правильным ответом на вопрос «Как решить ДЗ» и «Как сделать» задание по алгебре к упражнению №1.221 (с. 59), авторов: Арефьева (Ирина Глебовна), Пирютко (Ольга Николаевна), учебного пособия издательства Адукацыя i выхаванне.