Номер 1.339, страница 86 - гдз по алгебре 8 класс учебник Арефьева, Пирютко

Алгебра, 8 класс Учебник, авторы: Арефьева Ирина Глебовна, Пирютко Ольга Николаевна, издательство Адукацыя i выхаванне, Минск, 2024, бирюзового цвета

Авторы: Арефьева И. Г., Пирютко О. Н.

Тип: Учебник

Издательство: Адукацыя i выхаванне

Год издания: 2024 - 2026

Цвет обложки: бирюзовый с графиком

ISBN: ISBN 978-985-03-4081-8

Допущено Министерством образования Республики Беларусь

Популярные ГДЗ в 8 классе

Глава 1. Квадратные корни и их свойства. Действительные числа. Параграф 6. Системы и совокупности линейных неравенств с одной переменной. Решение двойных неравенств - номер 1.339, страница 86.

№1.339 (с. 86)
Условие. №1.339 (с. 86)
скриншот условия
Алгебра, 8 класс Учебник, авторы: Арефьева Ирина Глебовна, Пирютко Ольга Николаевна, издательство Адукацыя i выхаванне, Минск, 2024, бирюзового цвета, страница 86, номер 1.339, Условие

1.339. Решите систему неравенств:

a) $\begin{cases} x + 4 \ge 4x, \\ x - \frac{x - 4}{5} > 1; \end{cases}$

б) $\begin{cases} x - \frac{x}{4} > 2, \\ \frac{x - 1}{2} \le 1 - \frac{x - 2}{3}; \end{cases}$

в) $\begin{cases} x + \frac{x - 1}{4} \le 5, \\ 2x > \frac{x}{2} - 1; \end{cases}$

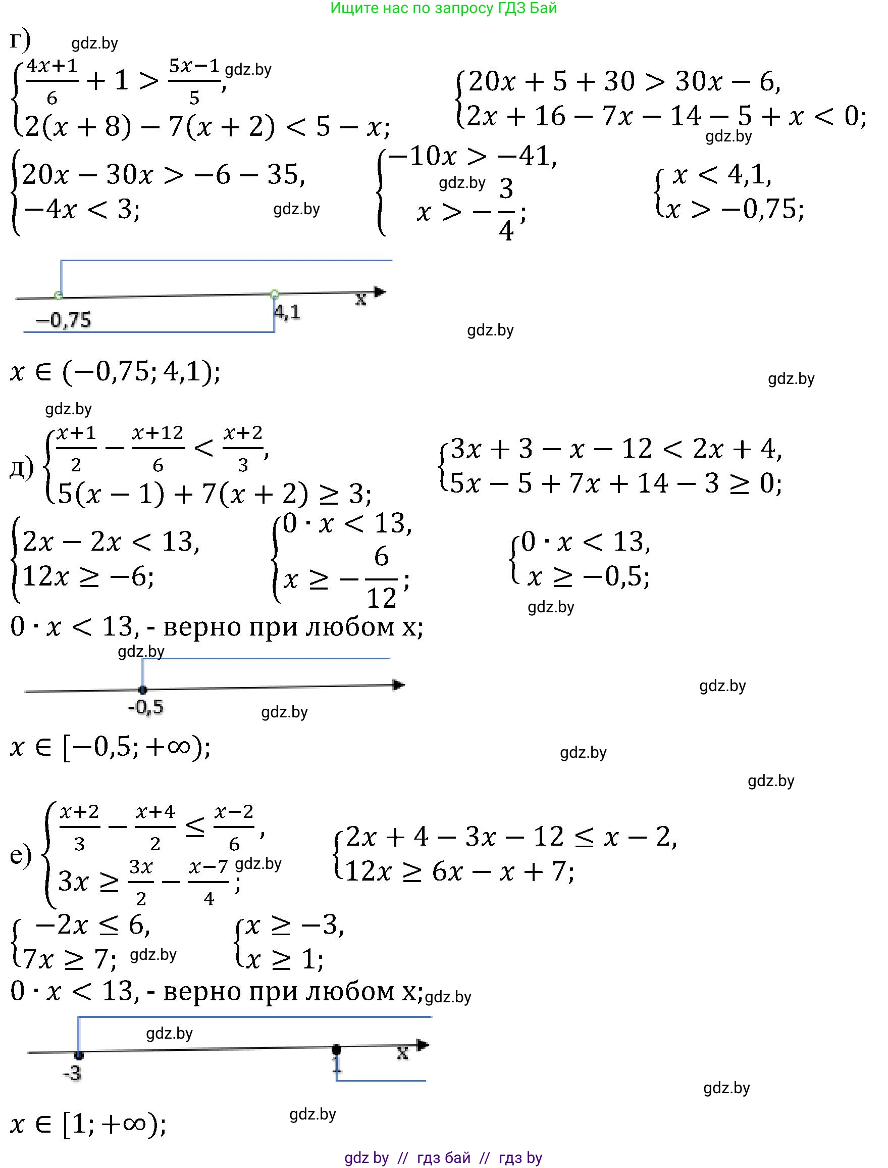
г) $\begin{cases} \frac{4x + 1}{6} + 1 > \frac{5x - 1}{5}, \\ 2(x + 8) - 7(x + 2) < 5 - x; \end{cases}$

д) $\begin{cases} \frac{x + 1}{2} - \frac{x + 12}{6} < \frac{x + 2}{3}, \\ 5(x - 1) + 7(x + 2) \ge 3; \end{cases}$

е) $\begin{cases} \frac{x + 2}{3} - \frac{x + 4}{2} \le \frac{x - 2}{6}, \\ 3x \ge \frac{3x}{2} - \frac{x - 7}{4}. \end{cases}$

Решение. №1.339 (с. 86)
Алгебра, 8 класс Учебник, авторы: Арефьева Ирина Глебовна, Пирютко Ольга Николаевна, издательство Адукацыя i выхаванне, Минск, 2024, бирюзового цвета, страница 86, номер 1.339, Решение Алгебра, 8 класс Учебник, авторы: Арефьева Ирина Глебовна, Пирютко Ольга Николаевна, издательство Адукацыя i выхаванне, Минск, 2024, бирюзового цвета, страница 86, номер 1.339, Решение (продолжение 2)
Решение 2. №1.339 (с. 86)

а) Решим систему неравенств. Сначала решим первое неравенство:

$x + 4 \ge 4x$

$4 \ge 4x - x$

$4 \ge 3x$

$x \le \frac{4}{3}$

Теперь решим второе неравенство:

$x - \frac{x-4}{5} > 1$

Умножим обе части неравенства на 5:

$5x - (x-4) > 5$

$5x - x + 4 > 5$

$4x > 1$

$x > \frac{1}{4}$

Решением системы является пересечение полученных решений: $\frac{1}{4} < x \le \frac{4}{3}$.

Ответ: $(\frac{1}{4}; \mathbf{1}\frac{1}{3}]$.

б) Решим первое неравенство:

$x - \frac{x}{4} > 2$

Умножим обе части на 4:

$4x - x > 8$

$3x > 8$

$x > \frac{8}{3}$

Решим второе неравенство:

$\frac{x-1}{2} \le 1 - \frac{x-2}{3}$

Умножим обе части на 6:

$3(x-1) \le 6 - 2(x-2)$

$3x - 3 \le 6 - 2x + 4$

$5x \le 13$

$x \le \frac{13}{5}$

Мы получили систему $x > \frac{8}{3}$ и $x \le \frac{13}{5}$. Сравним дроби: $\frac{8}{3} = 2\frac{2}{3}$ и $\frac{13}{5} = 2\frac{3}{5}$. Поскольку $2\frac{2}{3} = 2.66...$ а $2\frac{3}{5} = 2.6$, то $\frac{8}{3} > \frac{13}{5}$. Это означает, что система не имеет решений.

Ответ: нет решений.

в) Решим первое неравенство:

$x + \frac{x-1}{4} \le 5$

Умножим обе части на 4:

$4x + (x-1) \le 20$

$5x - 1 \le 20$

$5x \le 21$

$x \le \frac{21}{5}$

Решим второе неравенство:

$2x > \frac{x}{2} - 1$

Умножим обе части на 2:

$4x > x - 2$

$3x > -2$

$x > -\frac{2}{3}$

Решением системы является пересечение: $-\frac{2}{3} < x \le \frac{21}{5}$.

Ответ: $(-\frac{2}{3}; \mathbf{4}\frac{1}{5}]$.

г) Решим первое неравенство:

$\frac{4x+1}{6} + 1 > \frac{5x-1}{5}$

Умножим обе части на 30:

$5(4x+1) + 30 > 6(5x-1)$

$20x + 5 + 30 > 30x - 6$

$20x + 35 > 30x - 6$

$41 > 10x$

$x < \frac{41}{10}$

Решим второе неравенство:

$2(x+8) - 7(x+2) < 5 - x$

$2x + 16 - 7x - 14 < 5 - x$

$-5x + 2 < 5 - x$

$-3 < 4x$

$x > -\frac{3}{4}$

Решением системы является пересечение: $-\frac{3}{4} < x < \frac{41}{10}$.

Ответ: $(-\frac{3}{4}; \mathbf{4}\frac{1}{10})$.

д) Решим первое неравенство:

$\frac{x+1}{2} - \frac{x+12}{6} < \frac{x+2}{3}$

Умножим обе части на 6:

$3(x+1) - (x+12) < 2(x+2)$

$3x + 3 - x - 12 < 2x + 4$

$2x - 9 < 2x + 4$

$-9 < 4$

Это неравенство верно для любого действительного числа $x$.

Решим второе неравенство:

$5(x-1) + 7(x+2) \ge 3$

$5x - 5 + 7x + 14 \ge 3$

$12x + 9 \ge 3$

$12x \ge -6$

$x \ge -\frac{1}{2}$

Поскольку первое неравенство выполняется для всех $x$, решением системы является решение второго неравенства.

Ответ: $[-\frac{1}{2}; +\infty)$.

е) Решим первое неравенство:

$\frac{x+2}{3} - \frac{x+4}{2} \le \frac{x-2}{6}$

Умножим обе части на 6:

$2(x+2) - 3(x+4) \le x-2$

$2x + 4 - 3x - 12 \le x-2$

$-x - 8 \le x-2$

$-6 \le 2x$

$x \ge -3$

Решим второе неравенство:

$3x \ge \frac{3x}{2} - \frac{x-7}{4}$

Умножим обе части на 4:

$12x \ge 2(3x) - (x-7)$

$12x \ge 6x - x + 7$

$12x \ge 5x + 7$

$7x \ge 7$

$x \ge 1$

Решением системы является пересечение $x \ge -3$ и $x \ge 1$, что дает $x \ge 1$.

Ответ: $[1; +\infty)$.

Помогло решение? Оставьте отзыв в комментариях ниже.

Присоединяйтесь к Телеграм-группе @gdz_by_belarus

Присоединиться

Мы подготовили для вас ответ c подробным объяснением домашего задания по алгебре за 8 класс, для упражнения номер 1.339 расположенного на странице 86 к учебнику 2024 года издания для учащихся школ и гимназий.

Теперь на нашем сайте ГДЗ.ТОП вы всегда легко и бесплатно найдёте условие с правильным ответом на вопрос «Как решить ДЗ» и «Как сделать» задание по алгебре к упражнению №1.339 (с. 86), авторов: Арефьева (Ирина Глебовна), Пирютко (Ольга Николаевна), учебного пособия издательства Адукацыя i выхаванне.