Номер 1.378, страница 91 - гдз по алгебре 8 класс учебник Арефьева, Пирютко

Алгебра, 8 класс Учебник, авторы: Арефьева Ирина Глебовна, Пирютко Ольга Николаевна, издательство Адукацыя i выхаванне, Минск, 2024, бирюзового цвета

Авторы: Арефьева И. Г., Пирютко О. Н.

Тип: Учебник

Издательство: Адукацыя i выхаванне

Год издания: 2024 - 2026

Цвет обложки: бирюзовый с графиком

ISBN: ISBN 978-985-03-4081-8

Допущено Министерством образования Республики Беларусь

Популярные ГДЗ в 8 классе

Глава 1. Квадратные корни и их свойства. Действительные числа. Параграф 6. Системы и совокупности линейных неравенств с одной переменной. Решение двойных неравенств - номер 1.378, страница 91.

№1.378 (с. 91)
Условие. №1.378 (с. 91)
скриншот условия
Алгебра, 8 класс Учебник, авторы: Арефьева Ирина Глебовна, Пирютко Ольга Николаевна, издательство Адукацыя i выхаванне, Минск, 2024, бирюзового цвета, страница 91, номер 1.378, Условие

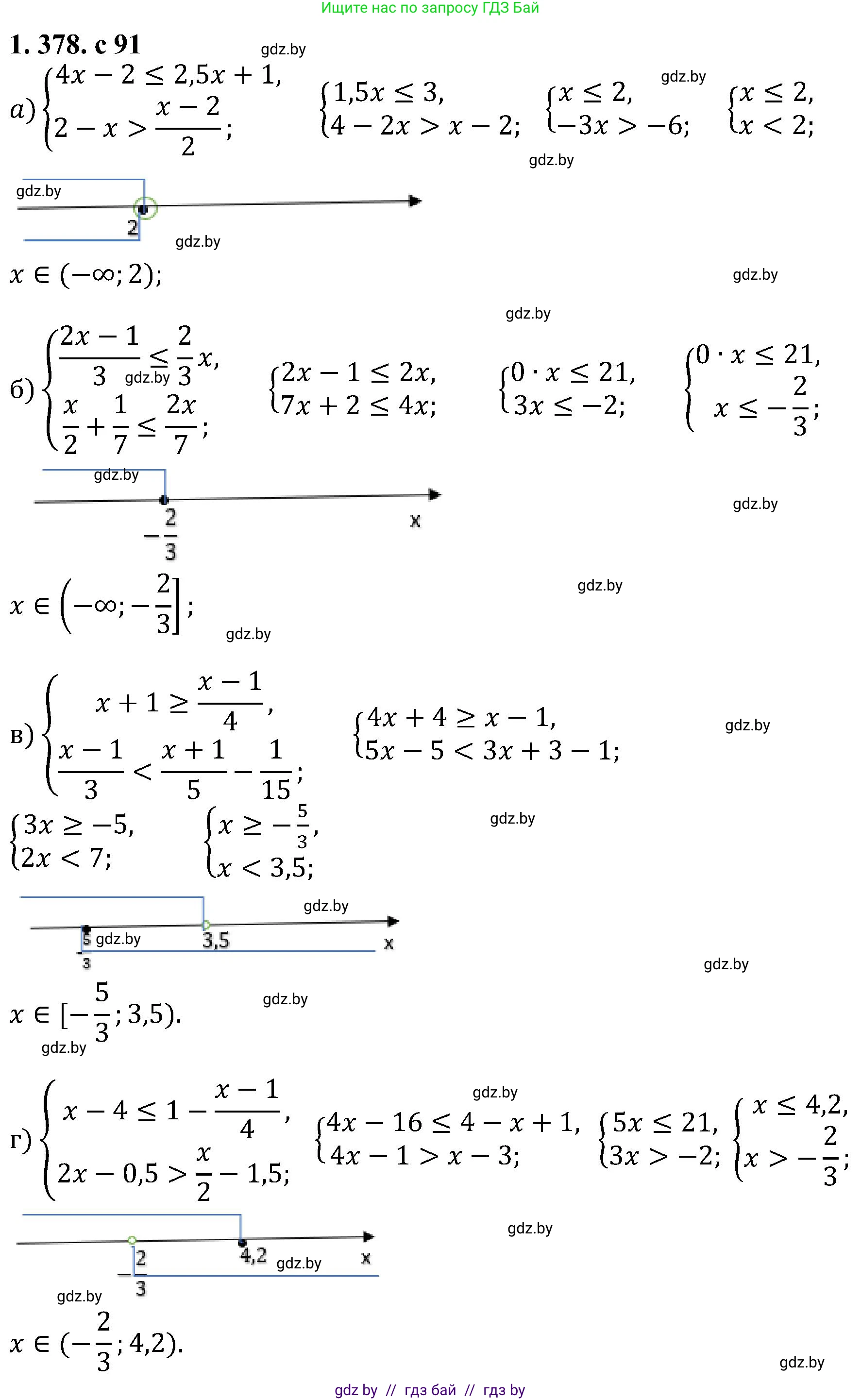
1.378. Решите систему неравенств:

а) $\begin{cases} 4x - 2 \le 2,5x + 1, \\ 2 - x > \frac{x - 2}{2}; \end{cases}$

б) $\begin{cases} \frac{2x - 1}{3} \le \frac{2}{3}x, \\ \frac{x}{2} + \frac{1}{7} \le \frac{2x}{7}; \end{cases}$

в) $\begin{cases} x + 1 \ge \frac{x - 1}{4}, \\ \frac{x - 1}{3} < \frac{x + 1}{5} - \frac{1}{15}; \end{cases}$

г) $\begin{cases} x - 4 \le 1 - \frac{x - 1}{4}; \\ 2x - 0,5 > \frac{x}{2} - 1,5. \end{cases}$

Решение. №1.378 (с. 91)
Алгебра, 8 класс Учебник, авторы: Арефьева Ирина Глебовна, Пирютко Ольга Николаевна, издательство Адукацыя i выхаванне, Минск, 2024, бирюзового цвета, страница 91, номер 1.378, Решение
Решение 2. №1.378 (с. 91)

а) Решим первое неравенство системы:

$4x - 2 \le 2.5x + 1$

Перенесем слагаемые с переменной $x$ в левую часть, а числовые слагаемые в правую:

$4x - 2.5x \le 1 + 2$

$1.5x \le 3$

Разделим обе части на 1.5:

$x \le \frac{3}{1.5}$

$x \le 2$

Решим второе неравенство системы:

$2 - x > \frac{x - 2}{2}$

Умножим обе части неравенства на 2, чтобы избавиться от знаменателя:

$2(2 - x) > x - 2$

$4 - 2x > x - 2$

Перенесем слагаемые с переменной $x$ в правую часть, а числовые слагаемые в левую:

$4 + 2 > x + 2x$

$6 > 3x$

Разделим обе части на 3:

$2 > x$, что эквивалентно $x < 2$

Решением системы является пересечение множеств решений обоих неравенств: $x \le 2$ и $x < 2$. Общим решением будет $x < 2$.

Ответ: $x < 2$.

б) Решим первое неравенство системы:

$\frac{2x - 1}{3} \le \frac{2}{3}x$

Умножим обе части на 3:

$2x - 1 \le 2x$

Вычтем $2x$ из обеих частей:

$-1 \le 0$

Данное неравенство является верным числовым неравенством, следовательно, его решением является любое действительное число $x$, т.е. $x \in (-\infty; +\infty)$.

Решим второе неравенство системы:

$\frac{x}{2} + \frac{1}{7} \le \frac{2x}{7}$

Приведем дроби к общему знаменателю 14, для этого умножим обе части на 14:

$14 \cdot \frac{x}{2} + 14 \cdot \frac{1}{7} \le 14 \cdot \frac{2x}{7}$

$7x + 2 \le 4x$

Перенесем слагаемые с переменной $x$ в левую часть, а числовые слагаемые в правую:

$7x - 4x \le -2$

$3x \le -2$

$x \le -\frac{2}{3}$

Решением системы является пересечение решений $x \in (-\infty; +\infty)$ и $x \le -\frac{2}{3}$. Общим решением будет $x \le -\frac{2}{3}$.

Ответ: $x \le -\frac{2}{3}$.

в) Решим первое неравенство системы:

$x + 1 \ge \frac{x - 1}{4}$

Умножим обе части на 4:

$4(x + 1) \ge x - 1$

$4x + 4 \ge x - 1$

$4x - x \ge -1 - 4$

$3x \ge -5$

$x \ge -\frac{5}{3}$ или $x \ge -1\frac{2}{3}$

Решим второе неравенство системы:

$\frac{x - 1}{3} < \frac{x + 1}{5} - \frac{1}{15}$

Умножим обе части на общий знаменатель 15:

$15 \cdot \frac{x - 1}{3} < 15 \cdot \frac{x + 1}{5} - 15 \cdot \frac{1}{15}$

$5(x - 1) < 3(x + 1) - 1$

$5x - 5 < 3x + 3 - 1$

$5x - 5 < 3x + 2$

$5x - 3x < 2 + 5$

$2x < 7$

$x < \frac{7}{2}$ или $x < 3\frac{1}{2}$

Найдем пересечение решений $x \ge -1\frac{2}{3}$ и $x < 3\frac{1}{2}$. Это интервал от $-1\frac{2}{3}$ включительно до $3\frac{1}{2}$ не включительно.

Ответ: $-\mathbf{1}\frac{2}{3} \le x < \mathbf{3}\frac{1}{2}$.

г) Решим первое неравенство системы:

$x - 4 \le 1 - \frac{x - 1}{4}$

Умножим обе части на 4:

$4(x - 4) \le 4 \cdot 1 - (x - 1)$

$4x - 16 \le 4 - x + 1$

$4x - 16 \le 5 - x$

$4x + x \le 5 + 16$

$5x \le 21$

$x \le \frac{21}{5}$ или $x \le 4\frac{1}{5}$

Решим второе неравенство системы:

$2x - 0.5 > \frac{x}{2} - 1.5$

Умножим обе части на 2, чтобы работать с целыми числами:

$2(2x - 0.5) > 2 \cdot \frac{x}{2} - 2 \cdot 1.5$

$4x - 1 > x - 3$

$4x - x > -3 + 1$

$3x > -2$

$x > -\frac{2}{3}$

Найдем пересечение решений $x > -\frac{2}{3}$ и $x \le 4\frac{1}{5}$. Это интервал от $-\frac{2}{3}$ не включительно до $4\frac{1}{5}$ включительно.

Ответ: $-\frac{2}{3} < x \le \mathbf{4}\frac{1}{5}$.

Помогло решение? Оставьте отзыв в комментариях ниже.

Присоединяйтесь к Телеграм-группе @gdz_by_belarus

Присоединиться

Мы подготовили для вас ответ c подробным объяснением домашего задания по алгебре за 8 класс, для упражнения номер 1.378 расположенного на странице 91 к учебнику 2024 года издания для учащихся школ и гимназий.

Теперь на нашем сайте ГДЗ.ТОП вы всегда легко и бесплатно найдёте условие с правильным ответом на вопрос «Как решить ДЗ» и «Как сделать» задание по алгебре к упражнению №1.378 (с. 91), авторов: Арефьева (Ирина Глебовна), Пирютко (Ольга Николаевна), учебного пособия издательства Адукацыя i выхаванне.