Номер 1.38, страница 24 - гдз по алгебре 8 класс учебник Арефьева, Пирютко

Алгебра, 8 класс Учебник, авторы: Арефьева Ирина Глебовна, Пирютко Ольга Николаевна, издательство Адукацыя i выхаванне, Минск, 2024, бирюзового цвета

Авторы: Арефьева И. Г., Пирютко О. Н.

Тип: Учебник

Издательство: Адукацыя i выхаванне

Год издания: 2024 - 2026

Цвет обложки: бирюзовый с графиком

ISBN: ISBN 978-985-03-4081-8

Допущено Министерством образования Республики Беларусь

Популярные ГДЗ в 8 классе

Глава 1. Квадратные корни и их свойства. Действительные числа. Параграф 1. Квадратный корень из числа. Арифметический квадратный корень - номер 1.38, страница 24.

№1.38 (с. 24)
Условие. №1.38 (с. 24)
скриншот условия
Алгебра, 8 класс Учебник, авторы: Арефьева Ирина Глебовна, Пирютко Ольга Николаевна, издательство Адукацыя i выхаванне, Минск, 2024, бирюзового цвета, страница 24, номер 1.38, Условие

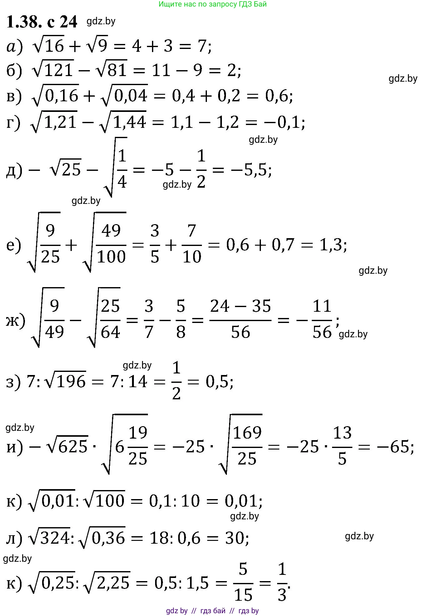
1.38. Вычислите:

а) $\sqrt{16} + \sqrt{9}$;

б) $\sqrt{121} - \sqrt{81}$;

в) $\sqrt{0,16} + \sqrt{0,04}$;

г) $\sqrt{1,21} - \sqrt{1,44}$;

д) $-\sqrt{25} - \sqrt{\frac{1}{4}}$;

е) $\sqrt{\frac{9}{25}} + \sqrt{\frac{49}{100}}$;

ж) $\sqrt{\frac{9}{49}} - \sqrt{\frac{25}{64}}$;

з) $7 : \sqrt{196}$;

и) $-\sqrt{625} \cdot \sqrt{6\frac{19}{25}}$;

к) $\sqrt{0,01} : \sqrt{100}$;

л) $\sqrt{324} : \sqrt{0,36}$;

м) $\sqrt{0,25} : \sqrt{2,25}$.

Решение. №1.38 (с. 24)
Алгебра, 8 класс Учебник, авторы: Арефьева Ирина Глебовна, Пирютко Ольга Николаевна, издательство Адукацыя i выхаванне, Минск, 2024, бирюзового цвета, страница 24, номер 1.38, Решение
Решение 2. №1.38 (с. 24)

а) $\sqrt{16} + \sqrt{9} = 4 + 3 = 7$.
Ответ: $7$.

б) $\sqrt{121} - \sqrt{81} = 11 - 9 = 2$.
Ответ: $2$.

в) $\sqrt{0,16} + \sqrt{0,04} = 0,4 + 0,2 = 0,6$.
Ответ: $0,6$.

г) $\sqrt{1,21} - \sqrt{1,44} = 1,1 - 1,2 = -0,1$.
Ответ: $-0,1$.

д) $-\sqrt{25} - \sqrt{\frac{1}{4}} = -5 - \frac{1}{2} = -5\frac{1}{2}$.
Ответ: $\textbf{-5}\frac{1}{2}$.

е) $\sqrt{\frac{9}{25}} + \sqrt{\frac{49}{100}} = \frac{3}{5} + \frac{7}{10} = \frac{6}{10} + \frac{7}{10} = \frac{13}{10} = 1\frac{3}{10}$.
Ответ: $\textbf{1}\frac{3}{10}$.

ж) $\sqrt{\frac{9}{49}} - \sqrt{\frac{25}{64}} = \frac{3}{7} - \frac{5}{8} = \frac{24}{56} - \frac{35}{56} = -\frac{11}{56}$.
Ответ: $-\frac{11}{56}$.

з) $7 : \sqrt{196} = 7 : 14 = \frac{7}{14} = \frac{1}{2} = 0,5$.
Ответ: $0,5$.

и) $-\sqrt{625} \cdot \sqrt{6\frac{19}{25}} = -25 \cdot \sqrt{\frac{6 \cdot 25 + 19}{25}} = -25 \cdot \sqrt{\frac{169}{25}} = -25 \cdot \frac{13}{5} = -5 \cdot 13 = -65$.
Ответ: $-65$.

к) $\sqrt{0,01} : \sqrt{100} = 0,1 : 10 = 0,01$.
Ответ: $0,01$.

л) $\sqrt{324} : \sqrt{0,36} = 18 : 0,6 = \frac{180}{6} = 30$.
Ответ: $30$.

м) $\sqrt{0,25} : \sqrt{2,25} = 0,5 : 1,5 = \frac{0,5}{1,5} = \frac{5}{15} = \frac{1}{3}$.
Ответ: $\frac{1}{3}$.

Помогло решение? Оставьте отзыв в комментариях ниже.

Присоединяйтесь к Телеграм-группе @gdz_by_belarus

Присоединиться

Мы подготовили для вас ответ c подробным объяснением домашего задания по алгебре за 8 класс, для упражнения номер 1.38 расположенного на странице 24 к учебнику 2024 года издания для учащихся школ и гимназий.

Теперь на нашем сайте ГДЗ.ТОП вы всегда легко и бесплатно найдёте условие с правильным ответом на вопрос «Как решить ДЗ» и «Как сделать» задание по алгебре к упражнению №1.38 (с. 24), авторов: Арефьева (Ирина Глебовна), Пирютко (Ольга Николаевна), учебного пособия издательства Адукацыя i выхаванне.