Номер 1.98, страница 39 - гдз по алгебре 8 класс учебник Арефьева, Пирютко

Алгебра, 8 класс Учебник, авторы: Арефьева Ирина Глебовна, Пирютко Ольга Николаевна, издательство Адукацыя i выхаванне, Минск, 2024, бирюзового цвета

Авторы: Арефьева И. Г., Пирютко О. Н.

Тип: Учебник

Издательство: Адукацыя i выхаванне

Год издания: 2024 - 2026

Цвет обложки: бирюзовый с графиком

ISBN: ISBN 978-985-03-4081-8

Допущено Министерством образования Республики Беларусь

Популярные ГДЗ в 8 классе

Глава 1. Квадратные корни и их свойства. Действительные числа. Параграф 3. Свойства квадратных корней - номер 1.98, страница 39.

№1.98 (с. 39)
Условие. №1.98 (с. 39)
скриншот условия
Алгебра, 8 класс Учебник, авторы: Арефьева Ирина Глебовна, Пирютко Ольга Николаевна, издательство Адукацыя i выхаванне, Минск, 2024, бирюзового цвета, страница 39, номер 1.98, Условие

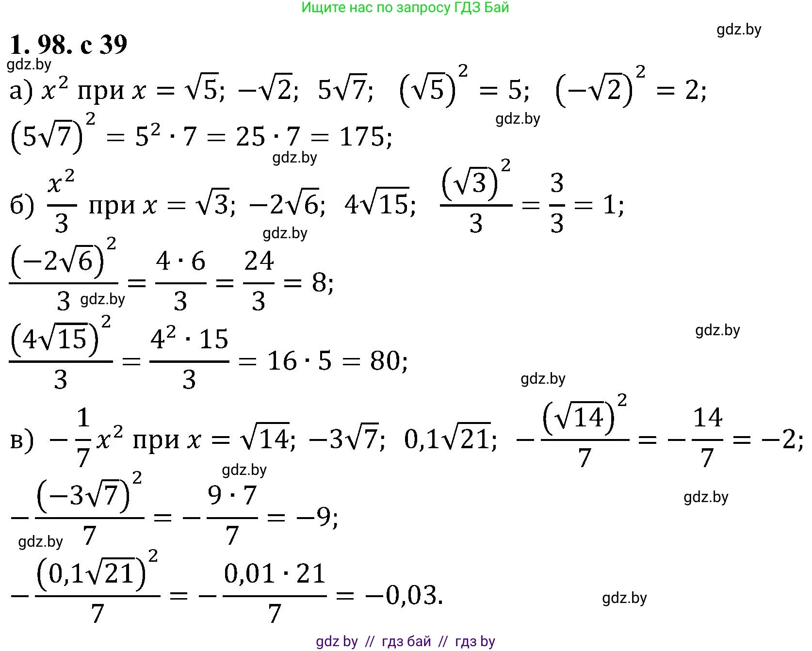
1.98. Найдите значение выражения:

а) $x^2$ при $x = \sqrt{5}$; $-\sqrt{2}$; $5\sqrt{7}$;

б) $\frac{x^2}{3}$ при $x = \sqrt{3}$; $-2\sqrt{6}$; $4\sqrt{15}$;

в) $-\frac{1}{7}x^2$ при $x = \sqrt{14}$; $-3\sqrt{7}$; $0,1\sqrt{21}$.

Решение. №1.98 (с. 39)
Алгебра, 8 класс Учебник, авторы: Арефьева Ирина Глебовна, Пирютко Ольга Николаевна, издательство Адукацыя i выхаванне, Минск, 2024, бирюзового цвета, страница 39, номер 1.98, Решение
Решение 2. №1.98 (с. 39)
а)
  • При $x = \sqrt{5}$:

    $x^2 = (\sqrt{5})^2 = 5$

    Ответ: 5.

  • При $x = -\sqrt{2}$:

    $x^2 = (-\sqrt{2})^2 = 2$

    Ответ: 2.

  • При $x = 5\sqrt{7}$:

    $x^2 = (5\sqrt{7})^2 = 5^2 \cdot (\sqrt{7})^2 = 25 \cdot 7 = 175$

    Ответ: 175.

б)
  • При $x = \sqrt{3}$:

    $\frac{x^2}{3} = \frac{(\sqrt{3})^2}{3} = \frac{3}{3} = 1$

    Ответ: 1.

  • При $x = -2\sqrt{6}$:

    $\frac{x^2}{3} = \frac{(-2\sqrt{6})^2}{3} = \frac{(-2)^2 \cdot (\sqrt{6})^2}{3} = \frac{4 \cdot 6}{3} = \frac{24}{3} = 8$

    Ответ: 8.

  • При $x = 4\sqrt{15}$:

    $\frac{x^2}{3} = \frac{(4\sqrt{15})^2}{3} = \frac{4^2 \cdot (\sqrt{15})^2}{3} = \frac{16 \cdot 15}{3} = 16 \cdot 5 = 80$

    Ответ: 80.

в)
  • При $x = \sqrt{14}$:

    $-\frac{1}{7}x^2 = -\frac{1}{7} \cdot (\sqrt{14})^2 = -\frac{1}{7} \cdot 14 = -\frac{14}{7} = -2$

    Ответ: -2.

  • При $x = -3\sqrt{7}$:

    $-\frac{1}{7}x^2 = -\frac{1}{7} \cdot (-3\sqrt{7})^2 = -\frac{1}{7} \cdot ((-3)^2 \cdot (\sqrt{7})^2) = -\frac{1}{7} \cdot (9 \cdot 7) = -9$

    Ответ: -9.

  • При $x = 0,1\sqrt{21}$:

    $-\frac{1}{7}x^2 = -\frac{1}{7} \cdot (0,1\sqrt{21})^2 = -\frac{1}{7} \cdot (0,01 \cdot 21) = -0,01 \cdot \frac{21}{7} = -0,01 \cdot 3 = -0,03$

    Ответ: -0,03.

Помогло решение? Оставьте отзыв в комментариях ниже.

Присоединяйтесь к Телеграм-группе @gdz_by_belarus

Присоединиться

Мы подготовили для вас ответ c подробным объяснением домашего задания по алгебре за 8 класс, для упражнения номер 1.98 расположенного на странице 39 к учебнику 2024 года издания для учащихся школ и гимназий.

Теперь на нашем сайте ГДЗ.ТОП вы всегда легко и бесплатно найдёте условие с правильным ответом на вопрос «Как решить ДЗ» и «Как сделать» задание по алгебре к упражнению №1.98 (с. 39), авторов: Арефьева (Ирина Глебовна), Пирютко (Ольга Николаевна), учебного пособия издательства Адукацыя i выхаванне.