Номер 2.119, страница 124 - гдз по алгебре 8 класс учебник Арефьева, Пирютко

Алгебра, 8 класс Учебник, авторы: Арефьева Ирина Глебовна, Пирютко Ольга Николаевна, издательство Адукацыя i выхаванне, Минск, 2024, бирюзового цвета

Авторы: Арефьева И. Г., Пирютко О. Н.

Тип: Учебник

Издательство: Адукацыя i выхаванне

Год издания: 2024 - 2026

Цвет обложки: бирюзовый с графиком

ISBN: ISBN 978-985-03-4081-8

Допущено Министерством образования Республики Беларусь

Популярные ГДЗ в 8 классе

Глава 2. Квадратные уравнения. Параграф 9. Теорема Виета - номер 2.119, страница 124.

№2.119 (с. 124)
Условие. №2.119 (с. 124)
скриншот условия
Алгебра, 8 класс Учебник, авторы: Арефьева Ирина Глебовна, Пирютко Ольга Николаевна, издательство Адукацыя i выхаванне, Минск, 2024, бирюзового цвета, страница 124, номер 2.119, Условие

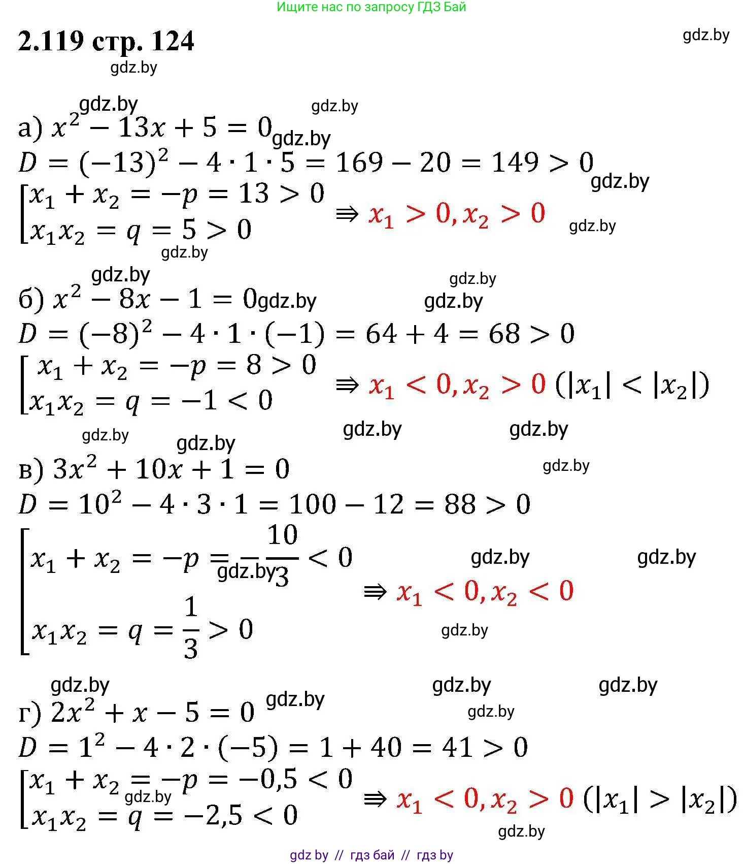
2.119. Убедитесь, что уравнение имеет корни, и, не решая уравнение, определите знаки его корней:

а) $x^2 - 13x + 5 = 0$;

б) $x^2 - 8x - 1 = 0$;

в) $3x^2 + 10x + 1 = 0$;

г) $2x^2 + x - 5 = 0$.

Решение. №2.119 (с. 124)
Алгебра, 8 класс Учебник, авторы: Арефьева Ирина Глебовна, Пирютко Ольга Николаевна, издательство Адукацыя i выхаванне, Минск, 2024, бирюзового цвета, страница 124, номер 2.119, Решение
Решение 2. №2.119 (с. 124)

Для того чтобы убедиться в наличии корней у квадратного уравнения вида $ax^2 + bx + c = 0$ и определить их знаки, не решая его, мы будем использовать следующие правила:

  1. Проверка наличия корней: Корни существуют, если дискриминант $D = b^2 - 4ac$ неотрицателен ($D \ge 0$). Если $D > 0$, то уравнение имеет два различных действительных корня.
  2. Определение знаков корней (с помощью теоремы Виета): Пусть $x_1$ и $x_2$ — корни уравнения.

    • Произведение корней: $x_1 \cdot x_2 = c/a$
    • Сумма корней: $x_1 + x_2 = -b/a$
    Анализируем знаки произведения и суммы:
    • Если $x_1 \cdot x_2 > 0$ (т.е. $c/a > 0$), то оба корня имеют одинаковый знак. Если при этом $x_1 + x_2 > 0$ (т.е. $-b/a > 0$), оба корня положительные. Если $x_1 + x_2 < 0$ (т.е. $-b/a < 0$), оба корня отрицательные.
    • Если $x_1 \cdot x_2 < 0$ (т.е. $c/a < 0$), то корни имеют разные знаки (один положительный, другой отрицательный).
а) $x^2 - 13x + 5 = 0$

1. Наличие корней: Дискриминант $D = (-13)^2 - 4 \cdot 1 \cdot 5 = 169 - 20 = 149$. Так как $D > 0$, уравнение имеет два различных корня.
2. Знаки корней: По теореме Виета:

  • Произведение корней $x_1 \cdot x_2 = 5/1 = 5$. Так как произведение положительно, оба корня имеют одинаковый знак.
  • Сумма корней $x_1 + x_2 = -(-13)/1 = 13$. Так как сумма положительна, оба корня — положительные.

Ответ: оба корня положительные.

б) $x^2 - 8x - 1 = 0$

1. Наличие корней: Коэффициенты $a=1$ и $c=-1$ имеют разные знаки, поэтому $ac < 0$. Это означает, что дискриминант $D = b^2 - 4ac$ всегда будет положительным ($D = (-8)^2 - 4 \cdot 1 \cdot (-1) = 64 + 4 = 68 > 0$), и уравнение имеет два различных корня.
2. Знаки корней: По теореме Виета, произведение корней $x_1 \cdot x_2 = c/a = -1/1 = -1$. Так как произведение отрицательно, корни имеют разные знаки.
Ответ: один корень положительный, другой отрицательный.

в) $3x^2 + 10x + 1 = 0$

1. Наличие корней: Дискриминант $D = 10^2 - 4 \cdot 3 \cdot 1 = 100 - 12 = 88$. Так как $D > 0$, уравнение имеет два различных корня.
2. Знаки корней: По теореме Виета:

  • Произведение корней $x_1 \cdot x_2 = 1/3$. Так как произведение положительно, оба корня имеют одинаковый знак.
  • Сумма корней $x_1 + x_2 = -10/3 = -3\frac{1}{3}$. Так как сумма отрицательна, оба корня — отрицательные.

Ответ: оба корня отрицательные.

г) $2x^2 + x - 5 = 0$

1. Наличие корней: Коэффициенты $a=2$ и $c=-5$ имеют разные знаки, поэтому $ac < 0$. Это означает, что дискриминант $D = b^2 - 4ac$ всегда будет положительным ($D = 1^2 - 4 \cdot 2 \cdot (-5) = 1 + 40 = 41 > 0$), и уравнение имеет два различных корня.
2. Знаки корней: По теореме Виета, произведение корней $x_1 \cdot x_2 = c/a = -5/2 = -2\frac{1}{2}$. Так как произведение отрицательно, корни имеют разные знаки.
Ответ: один корень положительный, другой отрицательный.

Помогло решение? Оставьте отзыв в комментариях ниже.

Присоединяйтесь к Телеграм-группе @gdz_by_belarus

Присоединиться

Мы подготовили для вас ответ c подробным объяснением домашего задания по алгебре за 8 класс, для упражнения номер 2.119 расположенного на странице 124 к учебнику 2024 года издания для учащихся школ и гимназий.

Теперь на нашем сайте ГДЗ.ТОП вы всегда легко и бесплатно найдёте условие с правильным ответом на вопрос «Как решить ДЗ» и «Как сделать» задание по алгебре к упражнению №2.119 (с. 124), авторов: Арефьева (Ирина Глебовна), Пирютко (Ольга Николаевна), учебного пособия издательства Адукацыя i выхаванне.