Номер 2.12, страница 103 - гдз по алгебре 8 класс учебник Арефьева, Пирютко

Алгебра, 8 класс Учебник, авторы: Арефьева Ирина Глебовна, Пирютко Ольга Николаевна, издательство Адукацыя i выхаванне, Минск, 2024, бирюзового цвета

Авторы: Арефьева И. Г., Пирютко О. Н.

Тип: Учебник

Издательство: Адукацыя i выхаванне

Год издания: 2024 - 2026

Цвет обложки: бирюзовый с графиком

ISBN: ISBN 978-985-03-4081-8

Допущено Министерством образования Республики Беларусь

Популярные ГДЗ в 8 классе

Глава 2. Квадратные уравнения. Параграф 7. Квадратные уравнения. Решение неполных квадратных уравнений - номер 2.12, страница 103.

№2.12 (с. 103)
Условие. №2.12 (с. 103)
скриншот условия
Алгебра, 8 класс Учебник, авторы: Арефьева Ирина Глебовна, Пирютко Ольга Николаевна, издательство Адукацыя i выхаванне, Минск, 2024, бирюзового цвета, страница 103, номер 2.12, Условие

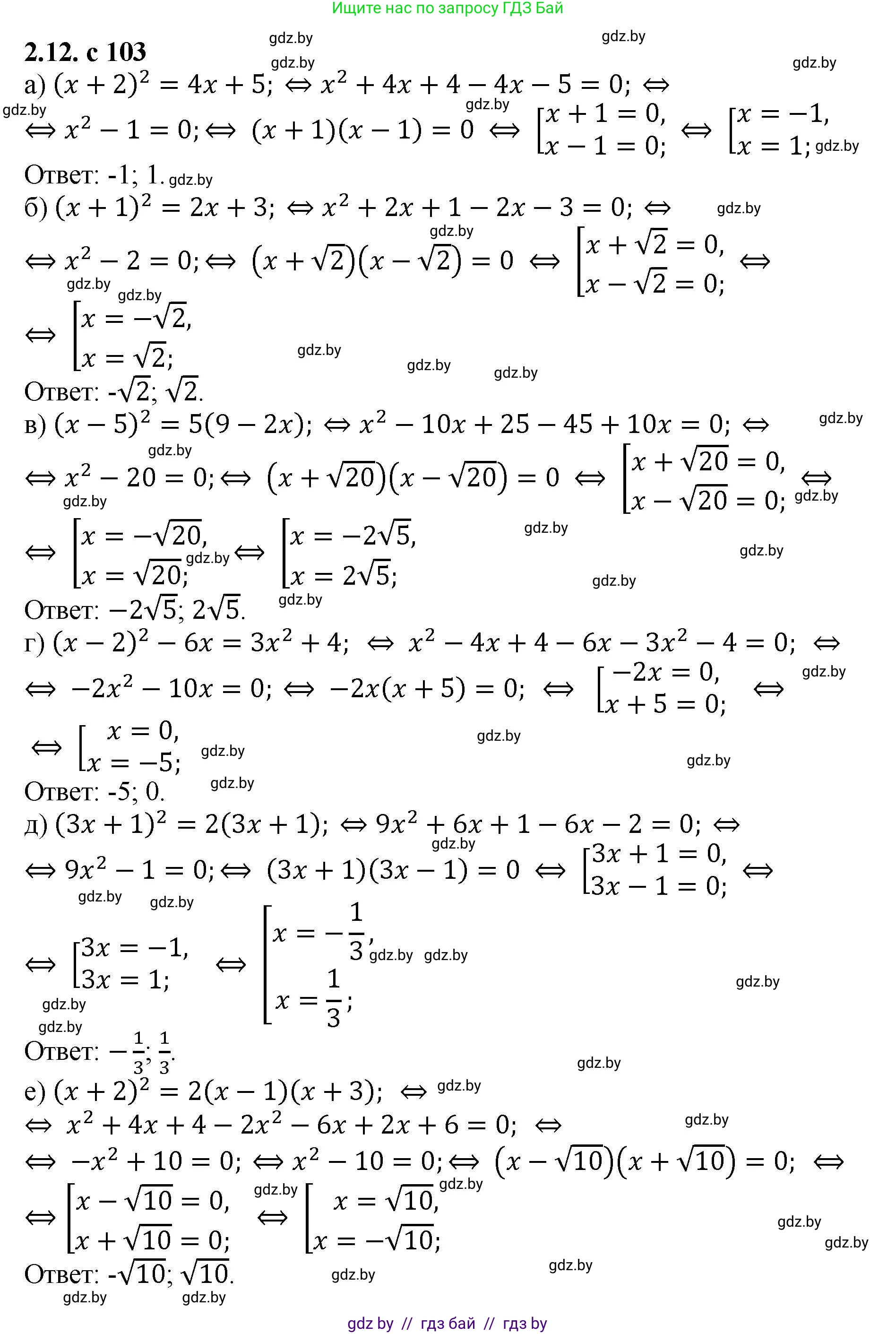
2.12. Примените формулу квадрата суммы (квадрата разности) и решите уравнение:

а) $ (x + 2)^2 = 4x + 5; $

б) $ (x + 1)^2 = 2x + 3; $

в) $ (x - 5)^2 = 5(9 - 2x); $

г) $ (x - 2)^2 - 6x = 3x^2 + 4; $

д) $ (3x + 1)^2 = 2(3x + 1); $

е) $ (x + 2)^2 = 2(x - 1)(x + 3). $

Решение. №2.12 (с. 103)
Алгебра, 8 класс Учебник, авторы: Арефьева Ирина Глебовна, Пирютко Ольга Николаевна, издательство Адукацыя i выхаванне, Минск, 2024, бирюзового цвета, страница 103, номер 2.12, Решение
Решение 2. №2.12 (с. 103)

а) Применим формулу квадрата суммы $(a+b)^2 = a^2 + 2ab + b^2$ к левой части уравнения $(x + 2)^2 = 4x + 5$:
$x^2 + 2 \cdot x \cdot 2 + 2^2 = 4x + 5$
$x^2 + 4x + 4 = 4x + 5$
Перенесем все слагаемые в левую часть и упростим:
$x^2 + 4x - 4x + 4 - 5 = 0$
$x^2 - 1 = 0$
Решим неполное квадратное уравнение:
$x^2 = 1$
$x = \pm\sqrt{1}$
$x_1 = 1, x_2 = -1$.
Ответ: $-1; 1$.

б) Для уравнения $(x + 1)^2 = 2x + 3$ раскроем скобки в левой части по формуле квадрата суммы:
$x^2 + 2 \cdot x \cdot 1 + 1^2 = 2x + 3$
$x^2 + 2x + 1 = 2x + 3$
Перенесем все слагаемые в левую часть:
$x^2 + 2x - 2x + 1 - 3 = 0$
$x^2 - 2 = 0$
$x^2 = 2$
$x = \pm\sqrt{2}$.
Ответ: $-\sqrt{2}; \sqrt{2}$.

в) В уравнении $(x - 5)^2 = 5(9 - 2x)$ раскроем скобки в обеих частях. В левой части используем формулу квадрата разности $(a-b)^2 = a^2 - 2ab + b^2$:
$x^2 - 2 \cdot x \cdot 5 + 5^2 = 45 - 10x$
$x^2 - 10x + 25 = 45 - 10x$
Перенесем все слагаемые в левую часть и приведем подобные:
$x^2 - 10x + 10x + 25 - 45 = 0$
$x^2 - 20 = 0$
$x^2 = 20$
$x = \pm\sqrt{20} = \pm\sqrt{4 \cdot 5} = \pm2\sqrt{5}$.
Ответ: $-2\sqrt{5}; 2\sqrt{5}$.

г) В уравнении $(x - 2)^2 - 6x = 3x^2 + 4$ раскроем скобки по формуле квадрата разности:
$(x^2 - 2 \cdot x \cdot 2 + 2^2) - 6x = 3x^2 + 4$
$x^2 - 4x + 4 - 6x = 3x^2 + 4$
$x^2 - 10x + 4 = 3x^2 + 4$
Перенесем все слагаемые в правую часть:
$0 = 3x^2 - x^2 + 10x + 4 - 4$
$2x^2 + 10x = 0$
Вынесем общий множитель $2x$ за скобки:
$2x(x + 5) = 0$
Произведение равно нулю, если один из множителей равен нулю:
$2x = 0 \Rightarrow x_1 = 0$
$x + 5 = 0 \Rightarrow x_2 = -5$.
Ответ: $-5; 0$.

д) Для решения уравнения $(3x + 1)^2 = 2(3x + 1)$ перенесем все в левую часть и вынесем общий множитель $(3x+1)$ за скобки:
$(3x + 1)^2 - 2(3x + 1) = 0$
$(3x + 1)((3x + 1) - 2) = 0$
$(3x + 1)(3x - 1) = 0$
Произведение равно нулю, если один из множителей равен нулю:
$3x + 1 = 0 \Rightarrow 3x = -1 \Rightarrow x_1 = -\frac{1}{3}$
$3x - 1 = 0 \Rightarrow 3x = 1 \Rightarrow x_2 = \frac{1}{3}$.
Ответ: $-\frac{1}{3}; \frac{1}{3}$.

е) В уравнении $(x + 2)^2 = 2(x - 1)(x + 3)$ раскроем скобки в обеих частях:
Левая часть: $x^2 + 4x + 4$
Правая часть: $2(x^2 + 3x - x - 3) = 2(x^2 + 2x - 3) = 2x^2 + 4x - 6$
Приравняем полученные выражения:
$x^2 + 4x + 4 = 2x^2 + 4x - 6$
Перенесем все слагаемые в правую часть:
$0 = 2x^2 - x^2 + 4x - 4x - 6 - 4$
$x^2 - 10 = 0$
$x^2 = 10$
$x = \pm\sqrt{10}$.
Ответ: $-\sqrt{10}; \sqrt{10}$.

Помогло решение? Оставьте отзыв в комментариях ниже.

Присоединяйтесь к Телеграм-группе @gdz_by_belarus

Присоединиться

Мы подготовили для вас ответ c подробным объяснением домашего задания по алгебре за 8 класс, для упражнения номер 2.12 расположенного на странице 103 к учебнику 2024 года издания для учащихся школ и гимназий.

Теперь на нашем сайте ГДЗ.ТОП вы всегда легко и бесплатно найдёте условие с правильным ответом на вопрос «Как решить ДЗ» и «Как сделать» задание по алгебре к упражнению №2.12 (с. 103), авторов: Арефьева (Ирина Глебовна), Пирютко (Ольга Николаевна), учебного пособия издательства Адукацыя i выхаванне.