Номер 3.149, страница 197 - гдз по алгебре 8 класс учебник Арефьева, Пирютко

Алгебра, 8 класс Учебник, авторы: Арефьева Ирина Глебовна, Пирютко Ольга Николаевна, издательство Адукацыя i выхаванне, Минск, 2024, бирюзового цвета

Авторы: Арефьева И. Г., Пирютко О. Н.

Тип: Учебник

Издательство: Адукацыя i выхаванне

Год издания: 2024 - 2026

Цвет обложки: бирюзовый с графиком

ISBN: ISBN 978-985-03-4081-8

Допущено Министерством образования Республики Беларусь

Популярные ГДЗ в 8 классе

Глава 3. Квадратичная функция. Параграф 15. Квадратные неравенства - номер 3.149, страница 197.

№3.149 (с. 197)
Условие. №3.149 (с. 197)
скриншот условия
Алгебра, 8 класс Учебник, авторы: Арефьева Ирина Глебовна, Пирютко Ольга Николаевна, издательство Адукацыя i выхаванне, Минск, 2024, бирюзового цвета, страница 197, номер 3.149, Условие

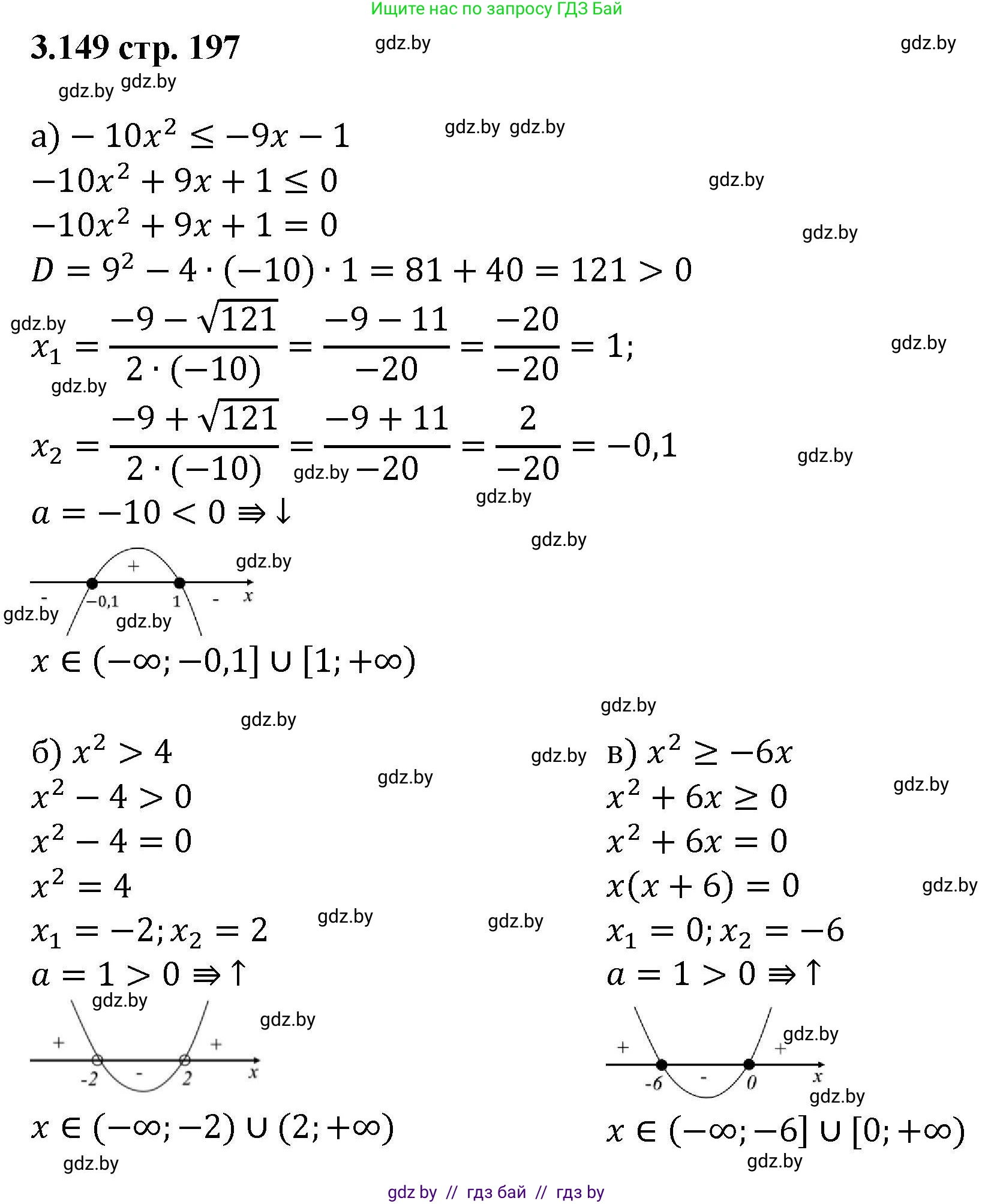
3.149. Решите неравенство:

a) $-10x^2 \le -9x - 1;$

б) $x^2 > 4;$

в) $x^2 \ge -6x;$

г) $4x^2 + 1 > 4x;$

д) $3x + 2 \le 2x^2;$

е) $2x^2 \ge 14;$

ж) $3x + 6 < -4x^2;$

з) $x \ge x^2;$

и) $-x \le 3x^2.$

Решение. №3.149 (с. 197)
Алгебра, 8 класс Учебник, авторы: Арефьева Ирина Глебовна, Пирютко Ольга Николаевна, издательство Адукацыя i выхаванне, Минск, 2024, бирюзового цвета, страница 197, номер 3.149, Решение Алгебра, 8 класс Учебник, авторы: Арефьева Ирина Глебовна, Пирютко Ольга Николаевна, издательство Адукацыя i выхаванне, Минск, 2024, бирюзового цвета, страница 197, номер 3.149, Решение (продолжение 2)
Решение 2. №3.149 (с. 197)

а) Перепишем неравенство $-10x^2 \le -9x - 1$, перенеся все члены в левую часть и умножив на -1 (с изменением знака неравенства):

$10x^2 - 9x - 1 \ge 0$

Для решения найдем корни соответствующего квадратного уравнения $10x^2 - 9x - 1 = 0$.

Дискриминант: $D = (-9)^2 - 4 \cdot 10 \cdot (-1) = 81 + 40 = 121 = 11^2$.

Корни: $x_{1,2} = \frac{9 \pm 11}{20}$.

$x_1 = \frac{9 - 11}{20} = -\frac{2}{20} = -\frac{1}{10}$

$x_2 = \frac{9 + 11}{20} = \frac{20}{20} = 1$

Графиком функции $y = 10x^2 - 9x - 1$ является парабола с ветвями вверх (так как $a=10>0$), пересекающая ось Ox в точках $-\frac{1}{10}$ и $1$. Неравенство $y \ge 0$ выполняется на промежутках левее и правее корней, включая сами корни.

Ответ: $x \in (-\infty; -\frac{1}{10}] \cup [1; +\infty)$.

б) Перенесем 4 в левую часть неравенства $x^2 > 4$:

$x^2 - 4 > 0$

Разложим левую часть на множители: $(x-2)(x+2) > 0$.

Корни уравнения $(x-2)(x+2) = 0$ равны $x_1 = -2$ и $x_2 = 2$. Графиком функции $y=x^2-4$ является парабола с ветвями вверх, пересекающая ось Ox в точках -2 и 2. Неравенство $y>0$ выполняется на промежутках вне корней.

Ответ: $x \in (-\infty; -2) \cup (2; +\infty)$.

в) Перенесем все члены неравенства $x^2 \ge -6x$ в левую часть:

$x^2 + 6x \ge 0$

Вынесем $x$ за скобки: $x(x+6) \ge 0$.

Корни уравнения $x(x+6) = 0$ равны $x_1 = -6$ и $x_2 = 0$. Графиком функции $y=x^2+6x$ является парабола с ветвями вверх. Неравенство $y \ge 0$ выполняется на промежутках левее и правее корней, включая сами корни.

Ответ: $x \in (-\infty; -6] \cup [0; +\infty)$.

г) Перенесем $4x$ в левую часть неравенства $4x^2 + 1 > 4x$:

$4x^2 - 4x + 1 > 0$

Свернем левую часть по формуле квадрата разности: $(2x - 1)^2 > 0$.

Выражение $(2x - 1)^2$ равно нулю при $x = \frac{1}{2}$ и положительно при всех остальных значениях $x$.

Ответ: $x \in (-\infty; \frac{1}{2}) \cup (\frac{1}{2}; +\infty)$.

д) Перенесем все члены неравенства $3x + 2 \le 2x^2$ в правую часть:

$0 \le 2x^2 - 3x - 2$, что равносильно $2x^2 - 3x - 2 \ge 0$.

Найдем корни уравнения $2x^2 - 3x - 2 = 0$.

Дискриминант: $D = (-3)^2 - 4 \cdot 2 \cdot (-2) = 9 + 16 = 25 = 5^2$.

Корни: $x_1 = \frac{3 - 5}{4} = -\frac{1}{2}$ и $x_2 = \frac{3 + 5}{4} = 2$.

Графиком функции $y=2x^2 - 3x - 2$ является парабола с ветвями вверх. Неравенство $y \ge 0$ выполняется на промежутках левее и правее корней, включая сами корни.

Ответ: $x \in (-\infty; -\frac{1}{2}] \cup [2; +\infty)$.

е) Разделим обе части неравенства $2x^2 \ge 14$ на 2:

$x^2 \ge 7$

Перенесем 7 в левую часть: $x^2 - 7 \ge 0$.

Корни уравнения $x^2 - 7 = 0$ равны $x_1 = -\sqrt{7}$ и $x_2 = \sqrt{7}$. Графиком является парабола с ветвями вверх. Неравенство $y \ge 0$ выполняется на промежутках левее и правее корней, включая сами корни.

Ответ: $x \in (-\infty; -\sqrt{7}] \cup [\sqrt{7}; +\infty)$.

ж) Перенесем все члены неравенства $3x + 6 < -4x^2$ в левую часть:

$4x^2 + 3x + 6 < 0$

Найдем дискриминант для уравнения $4x^2 + 3x + 6 = 0$:

$D = 3^2 - 4 \cdot 4 \cdot 6 = 9 - 96 = -87$.

Так как $D < 0$ и коэффициент при $x^2$ положителен ($a=4>0$), парабола $y = 4x^2 + 3x + 6$ полностью находится выше оси Ox, то есть $4x^2 + 3x + 6 > 0$ для любого $x$. Следовательно, неравенство $4x^2 + 3x + 6 < 0$ не имеет решений.

Ответ: $x \in \emptyset$ (нет решений).

з) Перенесем все члены неравенства $x \ge x^2$ в одну сторону:

$0 \ge x^2 - x$, что равносильно $x^2 - x \le 0$.

Вынесем $x$ за скобки: $x(x-1) \le 0$.

Корни уравнения $x(x-1) = 0$ равны $x_1 = 0$ и $x_2 = 1$. Графиком функции $y=x^2-x$ является парабола с ветвями вверх. Неравенство $y \le 0$ выполняется на промежутке между корнями, включая сами корни.

Ответ: $x \in [0; 1]$.

и) Перенесем $-x$ в правую часть неравенства $-x \le 3x^2$:

$0 \le 3x^2 + x$, что равносильно $3x^2 + x \ge 0$.

Вынесем $x$ за скобки: $x(3x+1) \ge 0$.

Корни уравнения $x(3x+1) = 0$ равны $x_1 = -\frac{1}{3}$ и $x_2 = 0$. Графиком функции $y=3x^2+x$ является парабола с ветвями вверх. Неравенство $y \ge 0$ выполняется на промежутках левее и правее корней, включая сами корни.

Ответ: $x \in (-\infty; -\frac{1}{3}] \cup [0; +\infty)$.

Помогло решение? Оставьте отзыв в комментариях ниже.

Присоединяйтесь к Телеграм-группе @gdz_by_belarus

Присоединиться

Мы подготовили для вас ответ c подробным объяснением домашего задания по алгебре за 8 класс, для упражнения номер 3.149 расположенного на странице 197 к учебнику 2024 года издания для учащихся школ и гимназий.

Теперь на нашем сайте ГДЗ.ТОП вы всегда легко и бесплатно найдёте условие с правильным ответом на вопрос «Как решить ДЗ» и «Как сделать» задание по алгебре к упражнению №3.149 (с. 197), авторов: Арефьева (Ирина Глебовна), Пирютко (Ольга Николаевна), учебного пособия издательства Адукацыя i выхаванне.