Номер 3.22, страница 167 - гдз по алгебре 8 класс учебник Арефьева, Пирютко

Алгебра, 8 класс Учебник, авторы: Арефьева Ирина Глебовна, Пирютко Ольга Николаевна, издательство Адукацыя i выхаванне, Минск, 2024, бирюзового цвета

Авторы: Арефьева И. Г., Пирютко О. Н.

Тип: Учебник

Издательство: Адукацыя i выхаванне

Год издания: 2024 - 2026

Цвет обложки: бирюзовый с графиком

ISBN: ISBN 978-985-03-4081-8

Допущено Министерством образования Республики Беларусь

Популярные ГДЗ в 8 классе

Глава 3. Квадратичная функция. Параграф 13. Квадратичная функция и ее свойства - номер 3.22, страница 167.

№3.22 (с. 167)
Условие. №3.22 (с. 167)
скриншот условия
Алгебра, 8 класс Учебник, авторы: Арефьева Ирина Глебовна, Пирютко Ольга Николаевна, издательство Адукацыя i выхаванне, Минск, 2024, бирюзового цвета, страница 167, номер 3.22, Условие

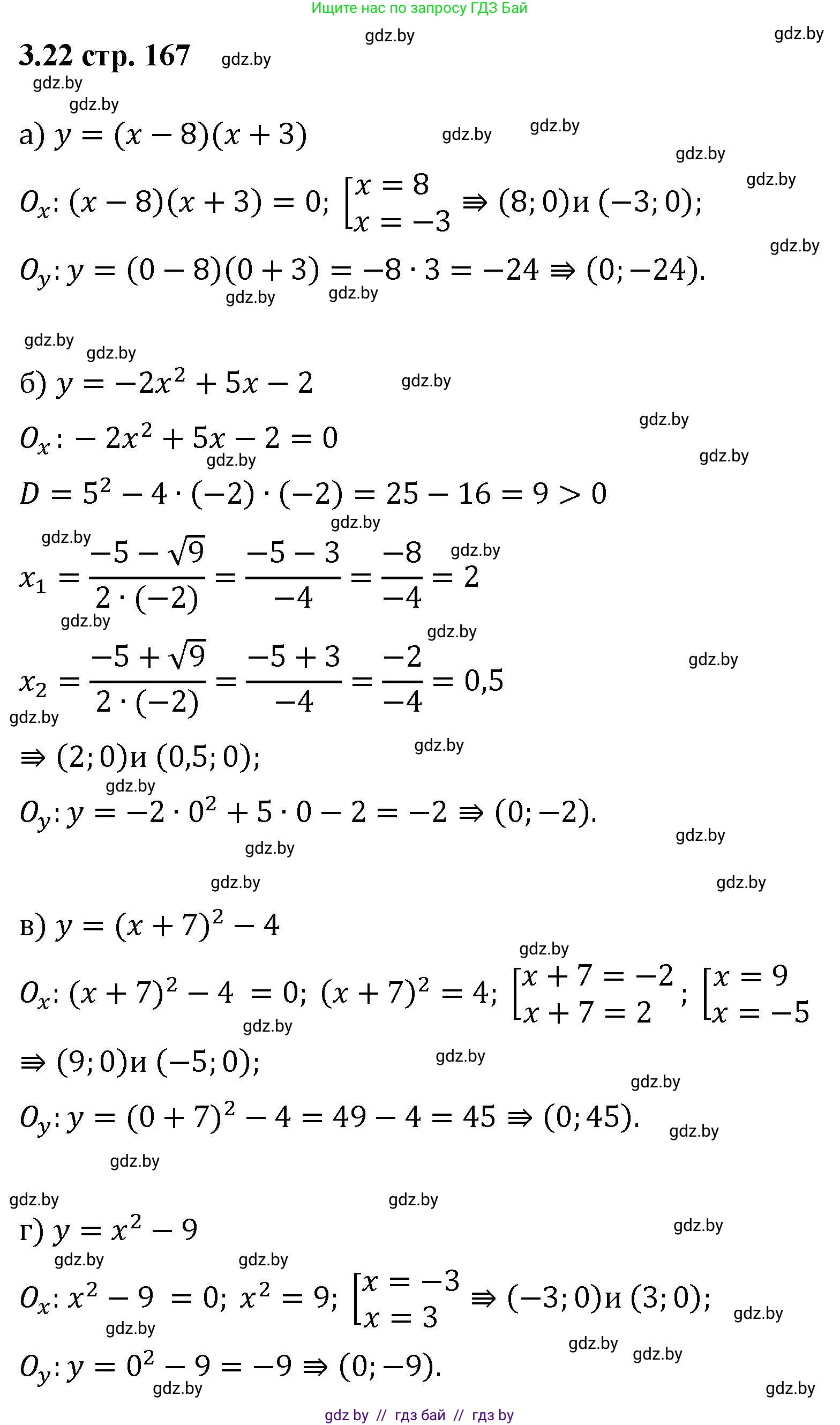
3.22. Определите координаты точек, в которых график функции пересекает оси координат:

а) $y = (x - 8)(x + 3);$

б) $y = -2x^2 + 5x - 2;$

в) $y = (x + 7)^2 - 4;$

г) $y = x^2 - 9.$

Решение. №3.22 (с. 167)
Алгебра, 8 класс Учебник, авторы: Арефьева Ирина Глебовна, Пирютко Ольга Николаевна, издательство Адукацыя i выхаванне, Минск, 2024, бирюзового цвета, страница 167, номер 3.22, Решение
Решение 2. №3.22 (с. 167)

Чтобы определить координаты точек, в которых график функции пересекает оси координат, необходимо найти:

  • Точки пересечения с осью абсцисс (осью Ox): в этих точках координата $y$ равна нулю. Необходимо приравнять функцию к нулю ($y=0$) и решить полученное уравнение относительно $x$.
  • Точку пересечения с осью ординат (осью Oy): в этой точке координата $x$ равна нулю. Необходимо подставить $x=0$ в уравнение функции и вычислить значение $y$.
а) $y = (x - 8)(x + 3)$

1. Найдем точку пересечения с осью Oy, подставив $x=0$:
$y = (0 - 8)(0 + 3) = (-8) \cdot 3 = -24$
Координаты точки пересечения с осью Oy: $(0, -24)$.

2. Найдем точки пересечения с осью Ox, подставив $y=0$:
$(x - 8)(x + 3) = 0$
Произведение равно нулю, если один из множителей равен нулю:
$x - 8 = 0$ или $x + 3 = 0$
$x_1 = 8$, $x_2 = -3$
Координаты точек пересечения с осью Ox: $(8, 0)$ и $(-3, 0)$.

Ответ: точки пересечения с осями координат: $(8, 0)$, $(-3, 0)$ и $(0, -24)$.

б) $y = -2x^2 + 5x - 2$

1. Найдем точку пересечения с осью Oy, подставив $x=0$:
$y = -2(0)^2 + 5(0) - 2 = -2$
Координаты точки пересечения с осью Oy: $(0, -2)$.

2. Найдем точки пересечения с осью Ox, подставив $y=0$:
$-2x^2 + 5x - 2 = 0$
Умножим обе части уравнения на -1:
$2x^2 - 5x + 2 = 0$
Решим квадратное уравнение с помощью дискриминанта $D = b^2 - 4ac$:
$D = (-5)^2 - 4 \cdot 2 \cdot 2 = 25 - 16 = 9$
$x = \frac{-b \pm \sqrt{D}}{2a} = \frac{5 \pm \sqrt{9}}{2 \cdot 2} = \frac{5 \pm 3}{4}$
$x_1 = \frac{5 + 3}{4} = \frac{8}{4} = 2$
$x_2 = \frac{5 - 3}{4} = \frac{2}{4} = \frac{1}{2}$
Координаты точек пересечения с осью Ox: $(2, 0)$ и $(\frac{1}{2}, 0)$.

Ответ: точки пересечения с осями координат: $(2, 0)$, $(\frac{1}{2}, 0)$ и $(0, -2)$.

в) $y = (x + 7)^2 - 4$

1. Найдем точку пересечения с осью Oy, подставив $x=0$:
$y = (0 + 7)^2 - 4 = 7^2 - 4 = 49 - 4 = 45$
Координаты точки пересечения с осью Oy: $(0, 45)$.

2. Найдем точки пересечения с осью Ox, подставив $y=0$:
$(x + 7)^2 - 4 = 0$
$(x + 7)^2 = 4$
$x + 7 = \pm\sqrt{4}$
$x + 7 = 2$ или $x + 7 = -2$
$x_1 = 2 - 7 = -5$
$x_2 = -2 - 7 = -9$
Координаты точек пересечения с осью Ox: $(-5, 0)$ и $(-9, 0)$.

Ответ: точки пересечения с осями координат: $(-5, 0)$, $(-9, 0)$ и $(0, 45)$.

г) $y = x^2 - 9$

1. Найдем точку пересечения с осью Oy, подставив $x=0$:
$y = 0^2 - 9 = -9$
Координаты точки пересечения с осью Oy: $(0, -9)$.

2. Найдем точки пересечения с осью Ox, подставив $y=0$:
$x^2 - 9 = 0$
Это разность квадратов: $(x-3)(x+3)=0$
$x - 3 = 0$ или $x + 3 = 0$
$x_1 = 3$, $x_2 = -3$
Координаты точек пересечения с осью Ox: $(3, 0)$ и $(-3, 0)$.

Ответ: точки пересечения с осями координат: $(3, 0)$, $(-3, 0)$ и $(0, -9)$.

Помогло решение? Оставьте отзыв в комментариях ниже.

Присоединяйтесь к Телеграм-группе @gdz_by_belarus

Присоединиться

Мы подготовили для вас ответ c подробным объяснением домашего задания по алгебре за 8 класс, для упражнения номер 3.22 расположенного на странице 167 к учебнику 2024 года издания для учащихся школ и гимназий.

Теперь на нашем сайте ГДЗ.ТОП вы всегда легко и бесплатно найдёте условие с правильным ответом на вопрос «Как решить ДЗ» и «Как сделать» задание по алгебре к упражнению №3.22 (с. 167), авторов: Арефьева (Ирина Глебовна), Пирютко (Ольга Николаевна), учебного пособия издательства Адукацыя i выхаванне.