Номер 4.30, страница 224 - гдз по алгебре 8 класс учебник Арефьева, Пирютко

Алгебра, 8 класс Учебник, авторы: Арефьева Ирина Глебовна, Пирютко Ольга Николаевна, издательство Адукацыя i выхаванне, Минск, 2024, бирюзового цвета

Авторы: Арефьева И. Г., Пирютко О. Н.

Тип: Учебник

Издательство: Адукацыя i выхаванне

Год издания: 2024 - 2026

Цвет обложки: бирюзовый с графиком

ISBN: ISBN 978-985-03-4081-8

Допущено Министерством образования Республики Беларусь

Популярные ГДЗ в 8 классе

Глава 4. Функции. Параграф 17. Свойства и график функции y = k/x, где k ≠ 0 - номер 4.30, страница 224.

№4.30 (с. 224)
Условие. №4.30 (с. 224)
скриншот условия
Алгебра, 8 класс Учебник, авторы: Арефьева Ирина Глебовна, Пирютко Ольга Николаевна, издательство Адукацыя i выхаванне, Минск, 2024, бирюзового цвета, страница 224, номер 4.30, Условие

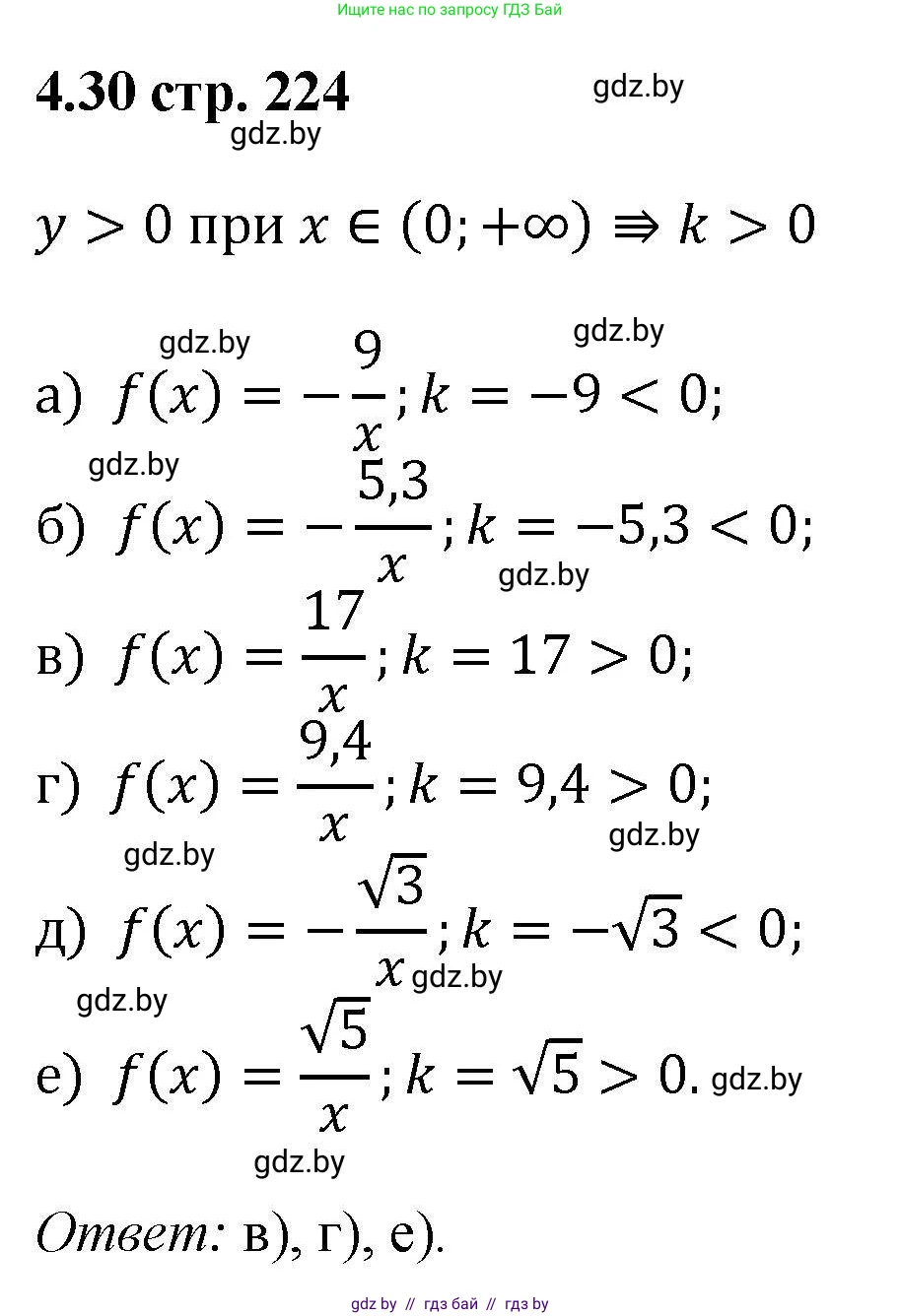
4.30. Выберите функции, принимающие положительные значения при $x \in (0; +\infty)$:

а) $f(x) = -\frac{9}{x}$;

б) $f(x) = -\frac{5,3}{x}$;

в) $f(x) = \frac{17}{x}$;

г) $f(x) = \frac{9,4}{x}$;

д) $f(x) = -\frac{\sqrt{3}}{x}$;

е) $f(x) = \frac{\sqrt{5}}{x}$.

Решение. №4.30 (с. 224)
Алгебра, 8 класс Учебник, авторы: Арефьева Ирина Глебовна, Пирютко Ольга Николаевна, издательство Адукацыя i выхаванне, Минск, 2024, бирюзового цвета, страница 224, номер 4.30, Решение
Решение 2. №4.30 (с. 224)

Для того чтобы функция вида $f(x) = \frac{k}{x}$ принимала положительные значения на интервале $x \in (0; +\infty)$, необходимо, чтобы ее коэффициент $k$ был положителен, так как знаменатель $x$ на этом интервале всегда положителен ($x > 0$).

Проверим знак коэффициента $k$ для каждой функции:

а) $f(x) = -\frac{9}{x}$
Коэффициент $k = -9$. Так как $k < 0$, функция принимает отрицательные значения.
Ответ: не принимает положительные значения.

б) $f(x) = -\frac{5,3}{x}$
Коэффициент $k = -5,3$. Так как $k < 0$, функция принимает отрицательные значения.
Ответ: не принимает положительные значения.

в) $f(x) = \frac{17}{x}$
Коэффициент $k = 17$. Так как $k > 0$, функция принимает положительные значения.
Ответ: принимает положительные значения.

г) $f(x) = \frac{9,4}{x}$
Коэффициент $k = 9,4$. Так как $k > 0$, функция принимает положительные значения.
Ответ: принимает положительные значения.

д) $f(x) = -\frac{\sqrt{3}}{x}$
Коэффициент $k = -\sqrt{3}$. Так как $k < 0$, функция принимает отрицательные значения.
Ответ: не принимает положительные значения.

е) $f(x) = \frac{\sqrt{5}}{x}$
Коэффициент $k = \sqrt{5}$. Так как $k > 0$, функция принимает положительные значения.
Ответ: принимает положительные значения.

Помогло решение? Оставьте отзыв в комментариях ниже.

Присоединяйтесь к Телеграм-группе @gdz_by_belarus

Присоединиться

Мы подготовили для вас ответ c подробным объяснением домашего задания по алгебре за 8 класс, для упражнения номер 4.30 расположенного на странице 224 к учебнику 2024 года издания для учащихся школ и гимназий.

Теперь на нашем сайте ГДЗ.ТОП вы всегда легко и бесплатно найдёте условие с правильным ответом на вопрос «Как решить ДЗ» и «Как сделать» задание по алгебре к упражнению №4.30 (с. 224), авторов: Арефьева (Ирина Глебовна), Пирютко (Ольга Николаевна), учебного пособия издательства Адукацыя i выхаванне.