Номер 16, страница 248 - гдз по алгебре 8 класс учебник Арефьева, Пирютко

Алгебра, 8 класс Учебник, авторы: Арефьева Ирина Глебовна, Пирютко Ольга Николаевна, издательство Адукацыя i выхаванне, Минск, 2024, бирюзового цвета

Авторы: Арефьева И. Г., Пирютко О. Н.

Тип: Учебник

Издательство: Адукацыя i выхаванне

Год издания: 2024 - 2026

Цвет обложки: бирюзовый с графиком

ISBN: ISBN 978-985-03-4081-8

Допущено Министерством образования Республики Беларусь

Популярные ГДЗ в 8 классе

Повторение курса алгебры 8-го класса. Квадратные уравнения - номер 16, страница 248.

№16 (с. 248)
Условие. №16 (с. 248)
скриншот условия
Алгебра, 8 класс Учебник, авторы: Арефьева Ирина Глебовна, Пирютко Ольга Николаевна, издательство Адукацыя i выхаванне, Минск, 2024, бирюзового цвета, страница 248, номер 16, Условие

16. Решите уравнение:

a) $(x+1)(3x+1)=5;$

б) $(2x+3)(3x+1)=10x-2;$

в) $(3x-1)(2x+6)=8(2x+3);$

г) $(2x+1)(x+2)-(x-1)(3x+1)=9;$

д) $(x-2)^2=4(x+6);$

е) $3(x+1)^2=(x+3)^2.$

Решение. №16 (с. 248)
Алгебра, 8 класс Учебник, авторы: Арефьева Ирина Глебовна, Пирютко Ольга Николаевна, издательство Адукацыя i выхаванне, Минск, 2024, бирюзового цвета, страница 248, номер 16, Решение Алгебра, 8 класс Учебник, авторы: Арефьева Ирина Глебовна, Пирютко Ольга Николаевна, издательство Адукацыя i выхаванне, Минск, 2024, бирюзового цвета, страница 248, номер 16, Решение (продолжение 2)
Решение 2. №16 (с. 248)

а) $(x + 1)(3x + 1) = 5$
Раскроем скобки и приведем уравнение к стандартному квадратному виду $ax^2 + bx + c = 0$:
$3x^2 + x + 3x + 1 = 5$
$3x^2 + 4x + 1 - 5 = 0$
$3x^2 + 4x - 4 = 0$
Найдем дискриминант: $D = b^2 - 4ac = 4^2 - 4 \cdot 3 \cdot (-4) = 16 + 48 = 64$.
Корни уравнения:
$x_{1,2} = \frac{-b \pm \sqrt{D}}{2a} = \frac{-4 \pm \sqrt{64}}{2 \cdot 3} = \frac{-4 \pm 8}{6}$
$x_1 = \frac{-4 + 8}{6} = \frac{4}{6} = \frac{2}{3}$
$x_2 = \frac{-4 - 8}{6} = \frac{-12}{6} = -2$
Ответ: $x_1 = \frac{2}{3}, x_2 = -2$.

б) $(2x + 3)(3x + 1) = 10x - 2$
Раскроем скобки и приведем подобные слагаемые:
$6x^2 + 2x + 9x + 3 = 10x - 2$
$6x^2 + 11x + 3 = 10x - 2$
Перенесем все слагаемые в левую часть:
$6x^2 + 11x - 10x + 3 + 2 = 0$
$6x^2 + x + 5 = 0$
Найдем дискриминант: $D = b^2 - 4ac = 1^2 - 4 \cdot 6 \cdot 5 = 1 - 120 = -119$.
Так как $D < 0$, у уравнения нет действительных корней.
Ответ: нет действительных корней.

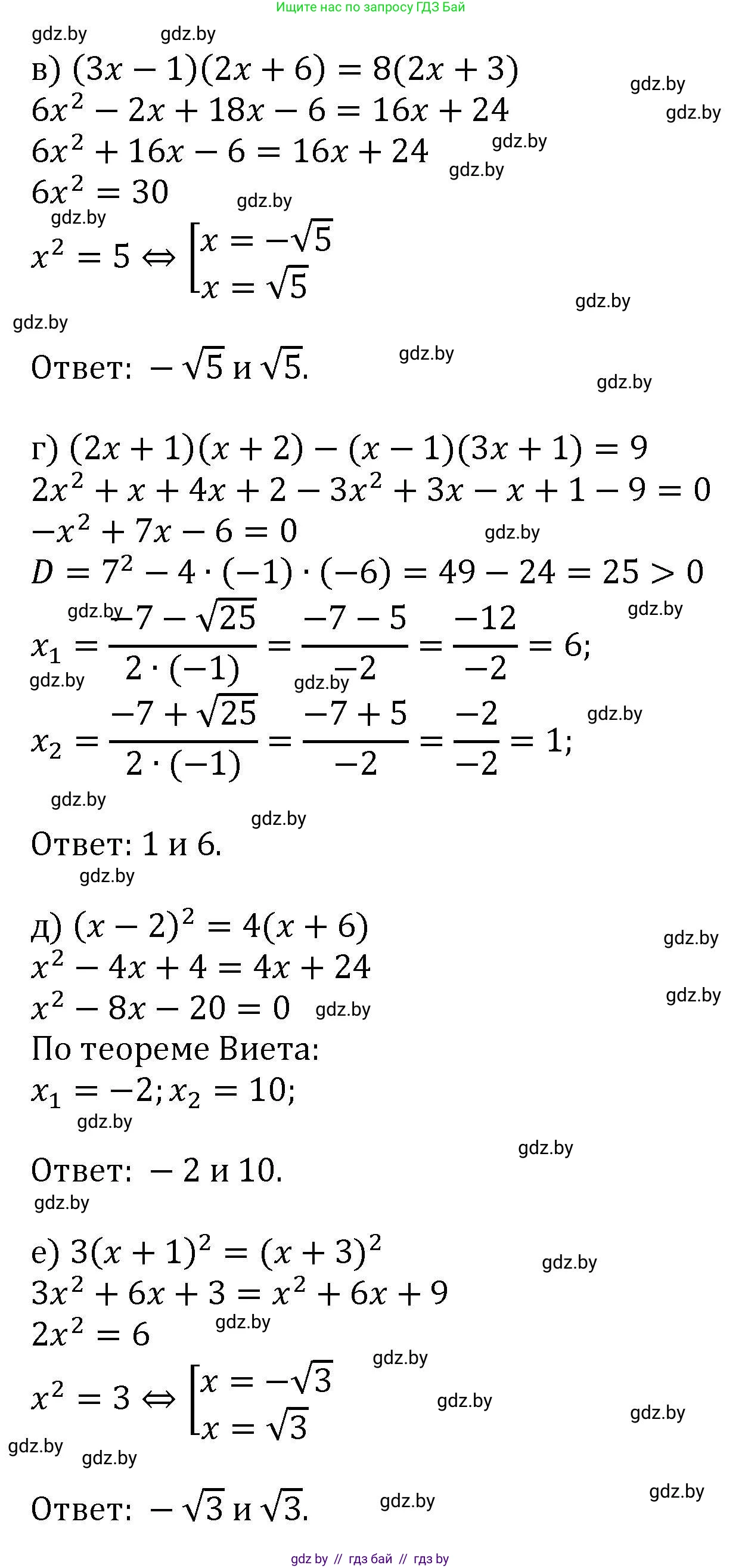
в) $(3x - 1)(2x + 6) = 8(2x + 3)$
Раскроем скобки в обеих частях уравнения:
$6x^2 + 18x - 2x - 6 = 16x + 24$
$6x^2 + 16x - 6 = 16x + 24$
Перенесем все слагаемые в левую часть и упростим:
$6x^2 + 16x - 16x - 6 - 24 = 0$
$6x^2 - 30 = 0$
Это неполное квадратное уравнение. Решим его:
$6x^2 = 30$
$x^2 = \frac{30}{6}$
$x^2 = 5$
$x = \pm\sqrt{5}$
Ответ: $x_1 = \sqrt{5}, x_2 = -\sqrt{5}$.

г) $(2x + 1)(x + 2) - (x - 1)(3x + 1) = 9$
Раскроем скобки, учитывая знак "минус" перед вторым произведением:
$(2x^2 + 4x + x + 2) - (3x^2 + x - 3x - 1) = 9$
$(2x^2 + 5x + 2) - (3x^2 - 2x - 1) = 9$
$2x^2 + 5x + 2 - 3x^2 + 2x + 1 = 9$
Приведем подобные слагаемые:
$-x^2 + 7x + 3 = 9$
Перенесем все в одну часть и умножим на -1 для удобства:
$-x^2 + 7x - 6 = 0$
$x^2 - 7x + 6 = 0$
Решим уравнение через дискриминант:
$D = (-7)^2 - 4 \cdot 1 \cdot 6 = 49 - 24 = 25$
$x_{1,2} = \frac{-(-7) \pm \sqrt{25}}{2} = \frac{7 \pm 5}{2}$
$x_1 = \frac{7+5}{2} = 6$
$x_2 = \frac{7-5}{2} = 1$
Ответ: $x_1 = 6, x_2 = 1$.

д) $(x - 2)^2 = 4(x + 6)$
Раскроем скобки, используя формулу квадрата разности слева и распределительный закон справа:
$x^2 - 4x + 4 = 4x + 24$
Перенесем все в левую часть:
$x^2 - 4x - 4x + 4 - 24 = 0$
$x^2 - 8x - 20 = 0$
Найдем дискриминант: $D = (-8)^2 - 4 \cdot 1 \cdot (-20) = 64 + 80 = 144$.
Корни уравнения:
$x_{1,2} = \frac{-(-8) \pm \sqrt{144}}{2 \cdot 1} = \frac{8 \pm 12}{2}$
$x_1 = \frac{8+12}{2} = \frac{20}{2} = 10$
$x_2 = \frac{8-12}{2} = \frac{-4}{2} = -2$
Ответ: $x_1 = 10, x_2 = -2$.

е) $3(x + 1)^2 = (x + 3)^2$
Раскроем скобки, используя формулу квадрата суммы:
$3(x^2 + 2x + 1) = x^2 + 6x + 9$
$3x^2 + 6x + 3 = x^2 + 6x + 9$
Перенесем все слагаемые в левую часть:
$3x^2 - x^2 + 6x - 6x + 3 - 9 = 0$
$2x^2 - 6 = 0$
Решим неполное квадратное уравнение:
$2x^2 = 6$
$x^2 = 3$
$x = \pm\sqrt{3}$
Ответ: $x_1 = \sqrt{3}, x_2 = -\sqrt{3}$.

Помогло решение? Оставьте отзыв в комментариях ниже.

Присоединяйтесь к Телеграм-группе @gdz_by_belarus

Присоединиться

Мы подготовили для вас ответ c подробным объяснением домашего задания по алгебре за 8 класс, для упражнения номер 16 расположенного на странице 248 к учебнику 2024 года издания для учащихся школ и гимназий.

Теперь на нашем сайте ГДЗ.ТОП вы всегда легко и бесплатно найдёте условие с правильным ответом на вопрос «Как решить ДЗ» и «Как сделать» задание по алгебре к упражнению №16 (с. 248), авторов: Арефьева (Ирина Глебовна), Пирютко (Ольга Николаевна), учебного пособия издательства Адукацыя i выхаванне.