Номер 233, страница 107 - гдз по геометрии 8 класс учебник Казаков, Казакова

Геометрия, 8 класс Учебник, авторы: Казаков Валерий Владимирович, Казакова Ольга Олеговна, издательство Адукацыя i выхаванне, Минск, 2024, оранжевого цвета

Авторы: Казаков В. В., Казакова О. О.

Тип: Учебник

Издательство: Адукацыя i выхаванне

Год издания: 2024 - 2026

Цвет обложки: оранжевый

Допущено Министерством образования Республики Беларусь

Популярные ГДЗ в 8 классе

Глава 2. Площади многоугольников. Параграф 17. Площадь трапеции - номер 233, страница 107.

№233 (с. 107)
Условие. №233 (с. 107)
скриншот условия
Геометрия, 8 класс Учебник, авторы: Казаков Валерий Владимирович, Казакова Ольга Олеговна, издательство Адукацыя i выхаванне, Минск, 2024, оранжевого цвета, страница 107, номер 233, Условие Геометрия, 8 класс Учебник, авторы: Казаков Валерий Владимирович, Казакова Ольга Олеговна, издательство Адукацыя i выхаванне, Минск, 2024, оранжевого цвета, страница 107, номер 233, Условие (продолжение 2)

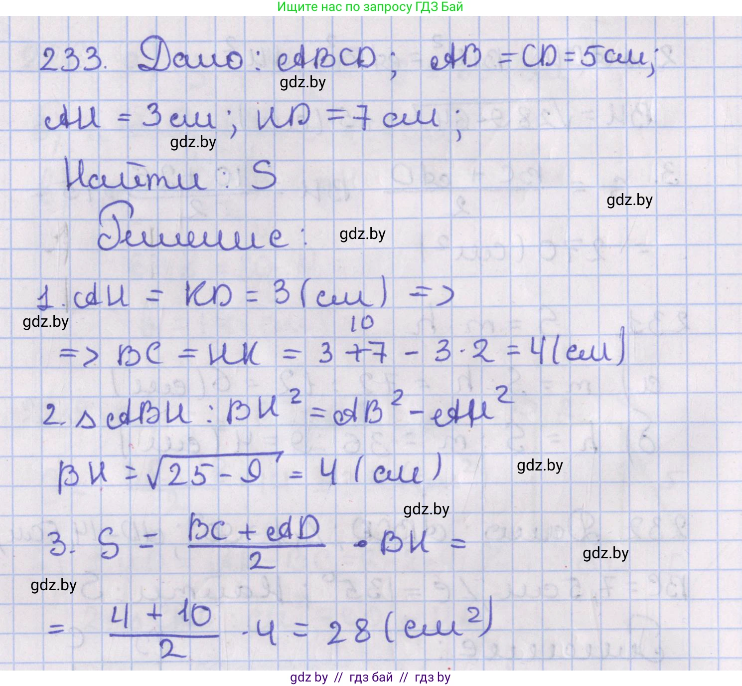
233. Боковая сторона равнобедренной трапеции ABCD равна 5 см, ее высота BH делит основание AD на отрезки $AH = 3 \text{ см}$, $HD = 7 \text{ см}$ (рис. 211). Найдите площадь трапеции.

Рис. 211

Решение. №233 (с. 107)
Геометрия, 8 класс Учебник, авторы: Казаков Валерий Владимирович, Казакова Ольга Олеговна, издательство Адукацыя i выхаванне, Минск, 2024, оранжевого цвета, страница 107, номер 233, Решение
Решение 2. №233 (с. 107)
Геометрия, 8 класс Учебник, авторы: Казаков Валерий Владимирович, Казакова Ольга Олеговна, издательство Адукацыя i выхаванне, Минск, 2024, оранжевого цвета, страница 107, номер 233, Решение 2
Решение 3. №233 (с. 107)

По условию задачи дана равнобедренная трапеция $ABCD$. Её боковая сторона $AB = 5$ см. Высота $BH$, проведенная к большему основанию $AD$, делит его на отрезки $AH = 3$ см и $HD = 7$ см.

Для нахождения площади трапеции воспользуемся формулой $S = \frac{a+b}{2} \cdot h$, где $a$ и $b$ — основания трапеции, а $h$ — её высота. В нашем случае $a = AD$, $b = BC$, $h = BH$.

1. Найдем длину большего основания $AD$. Оно состоит из отрезков $AH$ и $HD$.

$AD = AH + HD = 3 + 7 = 10$ см.

2. Найдем высоту трапеции $BH$. Рассмотрим прямоугольный треугольник $\triangle ABH$. По теореме Пифагора ($c^2 = a^2 + b^2$), где $AB$ — гипотенуза, а $AH$ и $BH$ — катеты, имеем:

$AB^2 = AH^2 + BH^2$

Выразим отсюда высоту $BH$:

$BH^2 = AB^2 - AH^2 = 5^2 - 3^2 = 25 - 9 = 16$

$BH = \sqrt{16} = 4$ см.

3. Найдем длину меньшего основания $BC$. В равнобедренной трапеции высоты, опущенные из вершин меньшего основания, отсекают на большем основании равные отрезки. Если мы проведем вторую высоту $CK$ из вершины $C$, то отрезок $KD$ будет равен отрезку $AH$.

$KD = AH = 3$ см.

Большее основание $AD$ состоит из трех отрезков: $AH$, $HK$ и $KD$. Фигура $HBCK$ является прямоугольником, поэтому $BC = HK$.

Найдем длину $HK$:

$HK = AD - AH - KD = 10 - 3 - 3 = 4$ см.

Следовательно, меньшее основание $BC = 4$ см.

4. Теперь у нас есть все необходимые данные для расчета площади трапеции: большее основание $AD = 10$ см, меньшее основание $BC = 4$ см и высота $BH = 4$ см.

Подставим эти значения в формулу площади:

$S = \frac{AD + BC}{2} \cdot BH = \frac{10 + 4}{2} \cdot 4 = \frac{14}{2} \cdot 4 = 7 \cdot 4 = 28$ см2.

Ответ: 28 см2.

Помогло решение? Оставьте отзыв в комментариях ниже.

Присоединяйтесь к Телеграм-группе @gdz_by_belarus

Присоединиться

Мы подготовили для вас ответ c подробным объяснением домашего задания по геометрии за 8 класс, для упражнения номер 233 расположенного на странице 107 к учебнику 2024 года издания для учащихся школ и гимназий.

Теперь на нашем сайте ГДЗ.ТОП вы всегда легко и бесплатно найдёте условие с правильным ответом на вопрос «Как решить ДЗ» и «Как сделать» задание по геометрии к упражнению №233 (с. 107), авторов: Казаков (Валерий Владимирович), Казакова (Ольга Олеговна), учебного пособия издательства Адукацыя i выхаванне.