Номер 296, страница 139 - гдз по геометрии 8 класс учебник Казаков, Казакова

Геометрия, 8 класс Учебник, авторы: Казаков Валерий Владимирович, Казакова Ольга Олеговна, издательство Адукацыя i выхаванне, Минск, 2024, оранжевого цвета

Авторы: Казаков В. В., Казакова О. О.

Тип: Учебник

Издательство: Адукацыя i выхаванне

Год издания: 2024 - 2026

Цвет обложки: оранжевый

Допущено Министерством образования Республики Беларусь

Популярные ГДЗ в 8 классе

Глава 3. Подобие треугольников. Параграф 21. Признаки подобия треугольников - номер 296, страница 139.

№296 (с. 139)
Условие. №296 (с. 139)
скриншот условия
Геометрия, 8 класс Учебник, авторы: Казаков Валерий Владимирович, Казакова Ольга Олеговна, издательство Адукацыя i выхаванне, Минск, 2024, оранжевого цвета, страница 139, номер 296, Условие

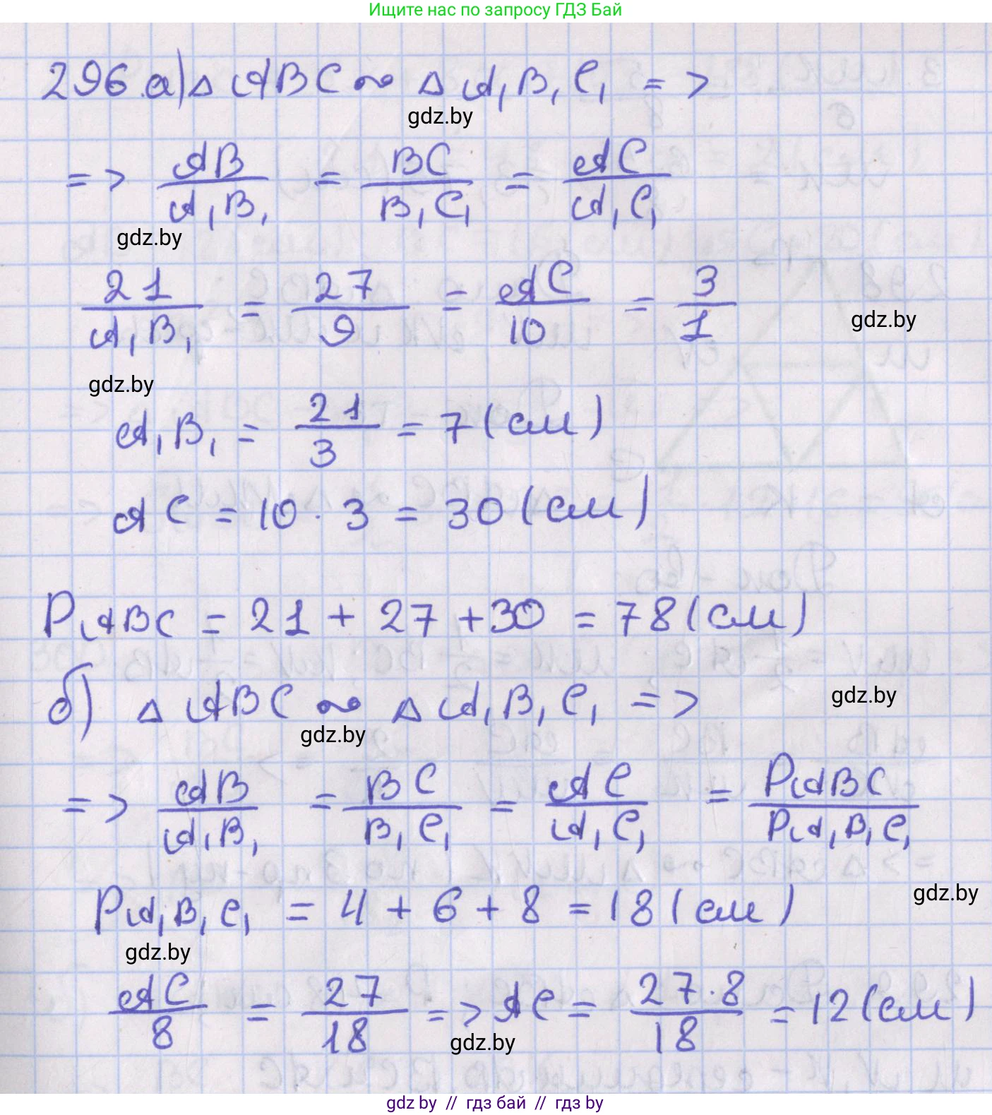
296. Известно, что треугольники $ABC$ и $A_1B_1C_1$ подобны.

a) Если $AB = 21$ см, $BC = 27$ см, $B_1C_1 = 9$ см, $A_1C_1 = 10$ см, то чему равен периметр треугольника $ABC$?

б) Если $A_1B_1 = 4$ см, $B_1C_1 = 6$ см, $A_1C_1 = 8$ см, $P_{ABC} = 27$ см, то чему равна длина наибольшей стороны треугольника $ABC$?

Решение. №296 (с. 139)
Геометрия, 8 класс Учебник, авторы: Казаков Валерий Владимирович, Казакова Ольга Олеговна, издательство Адукацыя i выхаванне, Минск, 2024, оранжевого цвета, страница 139, номер 296, Решение
Решение 2. №296 (с. 139)
Геометрия, 8 класс Учебник, авторы: Казаков Валерий Владимирович, Казакова Ольга Олеговна, издательство Адукацыя i выхаванне, Минск, 2024, оранжевого цвета, страница 139, номер 296, Решение 2
Решение 3. №296 (с. 139)

a)

Поскольку треугольники $ABC$ и $A_1B_1C_1$ подобны, отношение их соответствующих сторон равно коэффициенту подобия $k$:

$\frac{AB}{A_1B_1} = \frac{BC}{B_1C_1} = \frac{AC}{A_1C_1} = k$

Нам известны длины соответственных сторон $BC$ и $B_1C_1$. Найдем коэффициент подобия $k$:

$k = \frac{BC}{B_1C_1} = \frac{27 \text{ см}}{9 \text{ см}} = 3$

Теперь мы можем найти длину стороны $AC$, используя сторону $A_1C_1$ и коэффициент подобия $k$:

$AC = k \cdot A_1C_1 = 3 \cdot 10 \text{ см} = 30 \text{ см}$

Периметр треугольника $ABC$ равен сумме длин его сторон:

$P_{ABC} = AB + BC + AC = 21 \text{ см} + 27 \text{ см} + 30 \text{ см} = 78 \text{ см}$

Ответ: 78 см.

б)

Отношение периметров подобных треугольников равно коэффициенту подобия $k$. Сначала найдем периметр треугольника $A_1B_1C_1$:

$P_{A_1B_1C_1} = A_1B_1 + B_1C_1 + A_1C_1 = 4 \text{ см} + 6 \text{ см} + 8 \text{ см} = 18 \text{ см}$

Теперь найдем коэффициент подобия $k$, зная периметры обоих треугольников:

$k = \frac{P_{ABC}}{P_{A_1B_1C_1}} = \frac{27 \text{ см}}{18 \text{ см}} = \frac{3}{2}$

В подобных треугольниках наибольшая сторона одного треугольника соответствует наибольшей стороне другого. В треугольнике $A_1B_1C_1$ наибольшей стороной является $A_1C_1 = 8 \text{ см}$.

Следовательно, наибольшей стороной треугольника $ABC$ будет сторона $AC$. Найдем ее длину, используя коэффициент подобия:

$AC = k \cdot A_1C_1 = \frac{3}{2} \cdot 8 \text{ см} = 3 \cdot 4 \text{ см} = 12 \text{ см}$

Ответ: 12 см.

Помогло решение? Оставьте отзыв в комментариях ниже.

Присоединяйтесь к Телеграм-группе @gdz_by_belarus

Присоединиться

Мы подготовили для вас ответ c подробным объяснением домашего задания по геометрии за 8 класс, для упражнения номер 296 расположенного на странице 139 к учебнику 2024 года издания для учащихся школ и гимназий.

Теперь на нашем сайте ГДЗ.ТОП вы всегда легко и бесплатно найдёте условие с правильным ответом на вопрос «Как решить ДЗ» и «Как сделать» задание по геометрии к упражнению №296 (с. 139), авторов: Казаков (Валерий Владимирович), Казакова (Ольга Олеговна), учебного пособия издательства Адукацыя i выхаванне.