Номер 401, страница 187 - гдз по геометрии 8 класс учебник Казаков, Казакова

Геометрия, 8 класс Учебник, авторы: Казаков Валерий Владимирович, Казакова Ольга Олеговна, издательство Адукацыя i выхаванне, Минск, 2024, оранжевого цвета

Авторы: Казаков В. В., Казакова О. О.

Тип: Учебник

Издательство: Адукацыя i выхаванне

Год издания: 2024 - 2026

Цвет обложки: оранжевый

Допущено Министерством образования Республики Беларусь

Популярные ГДЗ в 8 классе

Глава 4. Окружность. Параграф 28. Углы, образованные хордами, секущими и касательными - номер 401, страница 187.

№401 (с. 187)
Условие. №401 (с. 187)
скриншот условия
Геометрия, 8 класс Учебник, авторы: Казаков Валерий Владимирович, Казакова Ольга Олеговна, издательство Адукацыя i выхаванне, Минск, 2024, оранжевого цвета, страница 187, номер 401, Условие

401. По данным на рисунках 375, а)—в) найдите градусную меру угла или дуги, которые обозначены знаком вопроса.

а) $46^\circ$

$94^\circ$

$?$

б) $60^\circ$

$40^\circ$

$?$

в) $30^\circ$

$50^\circ$

$?$

Рис. 375

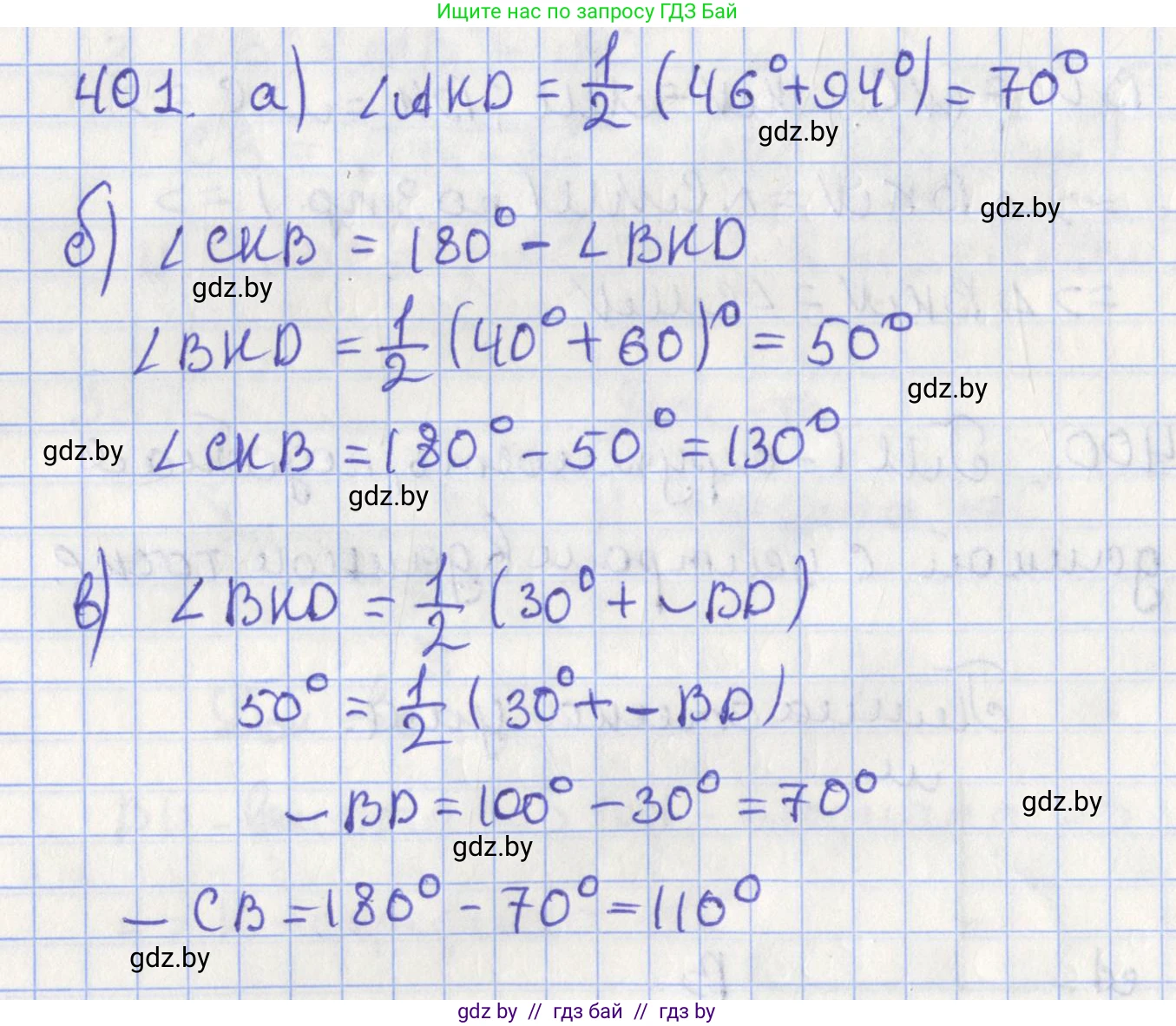
Решение. №401 (с. 187)
Геометрия, 8 класс Учебник, авторы: Казаков Валерий Владимирович, Казакова Ольга Олеговна, издательство Адукацыя i выхаванне, Минск, 2024, оранжевого цвета, страница 187, номер 401, Решение
Решение 2. №401 (с. 187)
Геометрия, 8 класс Учебник, авторы: Казаков Валерий Владимирович, Казакова Ольга Олеговна, издательство Адукацыя i выхаванне, Минск, 2024, оранжевого цвета, страница 187, номер 401, Решение 2
Решение 3. №401 (с. 187)

а)

Угол между двумя пересекающимися хордами в окружности равен полусумме градусных мер дуг, заключенных между его сторонами и сторонами вертикального ему угла. В данном случае, хорды AC и BD пересекаются в точке K. Искомый угол $∠AKD$ и вертикальный ему угол $∠BKC$ опираются на дуги AD и BC. По условию, градусная мера дуги AD (◡AD) равна $94°$, а дуги BC (◡BC) — $46°$. Вычисляем величину угла $∠AKD$ по формуле:
$∠AKD = \frac{◡AD + ◡BC}{2} = \frac{94° + 46°}{2} = \frac{140°}{2} = 70°$.

Ответ: 70°

б)

Аналогично пункту а), используем теорему об угле между пересекающимися хордами. На рисунке хорды AD и BC пересекаются в точке K. Искомый угол $∠AKC$ и вертикальный ему угол $∠BKD$ опираются на дуги AC и BD. По условию, градусная мера дуги AC (◡AC) равна $60°$, а дуги BD (◡BD) — $40°$. Вычисляем величину угла $∠AKC$:
$∠AKC = \frac{◡AC + ◡BD}{2} = \frac{60° + 40°}{2} = \frac{100°}{2} = 50°$.

Ответ: 50°

в)

В этой задаче известны угол между хордами AC и BD, $∠AKC = 50°$, и градусная мера одной из дуг, ◡AC = $30°$. Необходимо найти градусную меру дуги BD. Используем ту же формулу, что и в предыдущих пунктах, и выразим из нее неизвестную величину.
$∠AKC = \frac{◡AC + ◡BD}{2}$.
Подставим известные значения:
$50° = \frac{30° + ◡BD}{2}$.
Умножим обе части уравнения на 2:
$100° = 30° + ◡BD$.
Найдем градусную меру дуги BD:
$◡BD = 100° - 30° = 70°$.

Ответ: 70°

Помогло решение? Оставьте отзыв в комментариях ниже.

Присоединяйтесь к Телеграм-группе @gdz_by_belarus

Присоединиться

Мы подготовили для вас ответ c подробным объяснением домашего задания по геометрии за 8 класс, для упражнения номер 401 расположенного на странице 187 к учебнику 2024 года издания для учащихся школ и гимназий.

Теперь на нашем сайте ГДЗ.ТОП вы всегда легко и бесплатно найдёте условие с правильным ответом на вопрос «Как решить ДЗ» и «Как сделать» задание по геометрии к упражнению №401 (с. 187), авторов: Казаков (Валерий Владимирович), Казакова (Ольга Олеговна), учебного пособия издательства Адукацыя i выхаванне.