Номер 400, страница 74 - гдз по химии 8 класс сборник задач Хвалюк, Резяпкин

Химия, 8 класс Сборник задач, авторы: Хвалюк Виктор Николаевич, Резяпкин Виктор Ильич, издательство Адукацыя i выхаванне, Минск, 2019, голубого цвета

Авторы: Хвалюк В. Н., Резяпкин В. И.

Тип: Сборник задач

Издательство: Адукацыя i выхаванне

Год издания: 2019 - 2026

Цвет обложки: голубой, зелёный с кристаллами

ISBN: 978-985-599-064-3

Допущено Министерством образования Республики Беларусь

Популярные ГДЗ в 8 классе

Глава II. Периодический закон и периодическая система химических элементов. Параграф 27. Периодический закон Д. И. Менделеева - номер 400, страница 74.

№400 (с. 74)
Условие. №400 (с. 74)
скриншот условия
Химия, 8 класс Сборник задач, авторы: Хвалюк Виктор Николаевич, Резяпкин Виктор Ильич, издательство Адукацыя i выхаванне, Минск, 2019, голубого цвета, страница 74, номер 400, Условие

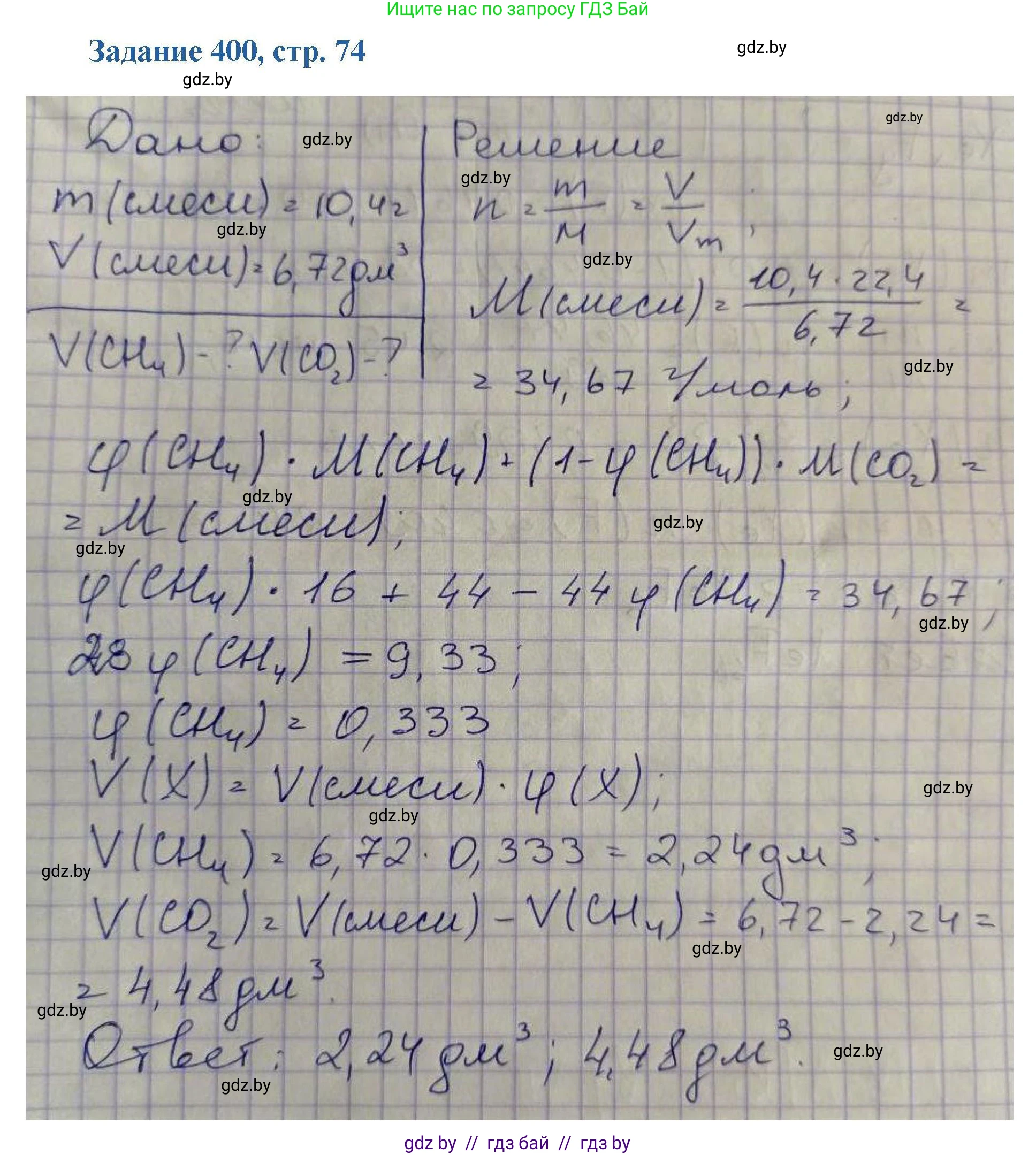
400. Масса смеси, состоящей из высшего оксида углерода и его водородного соединения, равна 10,4 г, а её объём (н. у.) — 6,72 дм3. Рассчитайте объёмы компонентов смеси.

Решение. №400 (с. 74)
Химия, 8 класс Сборник задач, авторы: Хвалюк Виктор Николаевич, Резяпкин Виктор Ильич, издательство Адукацыя i выхаванне, Минск, 2019, голубого цвета, страница 74, номер 400, Решение
Решение 2. №400 (с. 74)

Дано:

$m_{смеси} = 10,4 \text{ г}$

$V_{смеси} \text{(н. у.)} = 6,72 \text{ дм}^3$

Смесь состоит из высшего оксида углерода ($CO_2$) и его водородного соединения ($CH_4$).

$m_{смеси} = 10,4 \text{ г} = 0,0104 \text{ кг}$

$V_{смеси} = 6,72 \text{ дм}^3 = 0,00672 \text{ м}^3$

Найти:

$V(CO_2) - ?$

$V(CH_4) - ?$

Решение:

1. Определим химические формулы компонентов смеси. Углерод (C) находится в 14-й группе (по старой классификации — IVA) периодической таблицы. Его высшая степень окисления +4, следовательно, высший оксид углерода — это диоксид углерода, $CO_2$. Простейшее водородное соединение углерода — метан, $CH_4$.

2. Рассчитаем молярные массы ($M$) диоксида углерода и метана, используя относительные атомные массы: $A_r(C)=12$, $A_r(O)=16$, $A_r(H)=1$.

$M(CO_2) = 12 + 2 \cdot 16 = 44 \text{ г/моль}$

$M(CH_4) = 12 + 4 \cdot 1 = 16 \text{ г/моль}$

3. Вычислим общее количество вещества ($n_{смеси}$) в газовой смеси. При нормальных условиях (н. у.) молярный объем любого газа ($V_m$) составляет $22,4 \text{ дм}^3/\text{моль}$.

$n_{смеси} = \frac{V_{смеси}}{V_m} = \frac{6,72 \text{ дм}^3}{22,4 \text{ дм}^3/\text{моль}} = 0,3 \text{ моль}$

4. Составим систему уравнений для нахождения количеств веществ каждого из компонентов. Пусть $x$ — количество вещества $CO_2$, ($n(CO_2)=x$), а $y$ — количество вещества $CH_4$, ($n(CH_4)=y$).

С одной стороны, суммарное количество вещества равно $0,3 \text{ моль}$:

$x + y = 0,3$

С другой стороны, суммарная масса смеси равна $10,4 \text{ г}$. Масса каждого компонента равна произведению его количества вещества на молярную массу ($m = n \cdot M$):

$m(CO_2) + m(CH_4) = m_{смеси}$

$x \cdot M(CO_2) + y \cdot M(CH_4) = 10,4$

$44x + 16y = 10,4$

5. Решим систему из двух уравнений:

$\begin{cases} x + y = 0,3 \\ 44x + 16y = 10,4 \end{cases}$

Из первого уравнения выразим $y$: $y = 0,3 - x$.

Подставим это выражение во второе уравнение:

$44x + 16(0,3 - x) = 10,4$

$44x + 4,8 - 16x = 10,4$

$28x = 10,4 - 4,8$

$28x = 5,6$

$x = \frac{5,6}{28} = 0,2$

Таким образом, $n(CO_2) = x = 0,2 \text{ моль}$.

Теперь найдем $y$:

$y = 0,3 - x = 0,3 - 0,2 = 0,1$

Таким образом, $n(CH_4) = y = 0,1 \text{ моль}$.

6. Зная количество вещества каждого газа, найдем их объемы ($V = n \cdot V_m$):

$V(CO_2) = n(CO_2) \cdot V_m = 0,2 \text{ моль} \cdot 22,4 \text{ дм}^3/\text{моль} = 4,48 \text{ дм}^3$

$V(CH_4) = n(CH_4) \cdot V_m = 0,1 \text{ моль} \cdot 22,4 \text{ дм}^3/\text{моль} = 2,24 \text{ дм}^3$

Ответ: объем диоксида углерода в смеси составляет $4,48 \text{ дм}^3$, а объем метана — $2,24 \text{ дм}^3$.

Помогло решение? Оставьте отзыв в комментариях ниже.

Присоединяйтесь к Телеграм-группе @gdz_by_belarus

Присоединиться

Мы подготовили для вас ответ c подробным объяснением домашего задания по химии за 8 класс, для упражнения номер 400 расположенного на странице 74 к сборнику задач 2019 года издания для учащихся школ и гимназий.

Теперь на нашем сайте ГДЗ.ТОП вы всегда легко и бесплатно найдёте условие с правильным ответом на вопрос «Как решить ДЗ» и «Как сделать» задание по химии к упражнению №400 (с. 74), авторов: Хвалюк (Виктор Николаевич), Резяпкин (Виктор Ильич), учебного пособия издательства Адукацыя i выхаванне.