Номер 500, страница 91 - гдз по химии 8 класс сборник задач Хвалюк, Резяпкин

Химия, 8 класс Сборник задач, авторы: Хвалюк Виктор Николаевич, Резяпкин Виктор Ильич, издательство Адукацыя i выхаванне, Минск, 2019, голубого цвета

Авторы: Хвалюк В. Н., Резяпкин В. И.

Тип: Сборник задач

Издательство: Адукацыя i выхаванне

Год издания: 2019 - 2026

Цвет обложки: голубой, зелёный с кристаллами

ISBN: 978-985-599-064-3

Допущено Министерством образования Республики Беларусь

Популярные ГДЗ в 8 классе

Глава III. Строение атома и периодичность изменения свойств атомов химических элементов и их соединений. Параграф 35. Характеристика химического элемента по его положению в периодической системе - номер 500, страница 91.

№500 (с. 91)
Условие. №500 (с. 91)
скриншот условия
Химия, 8 класс Сборник задач, авторы: Хвалюк Виктор Николаевич, Резяпкин Виктор Ильич, издательство Адукацыя i выхаванне, Минск, 2019, голубого цвета, страница 91, номер 500, Условие

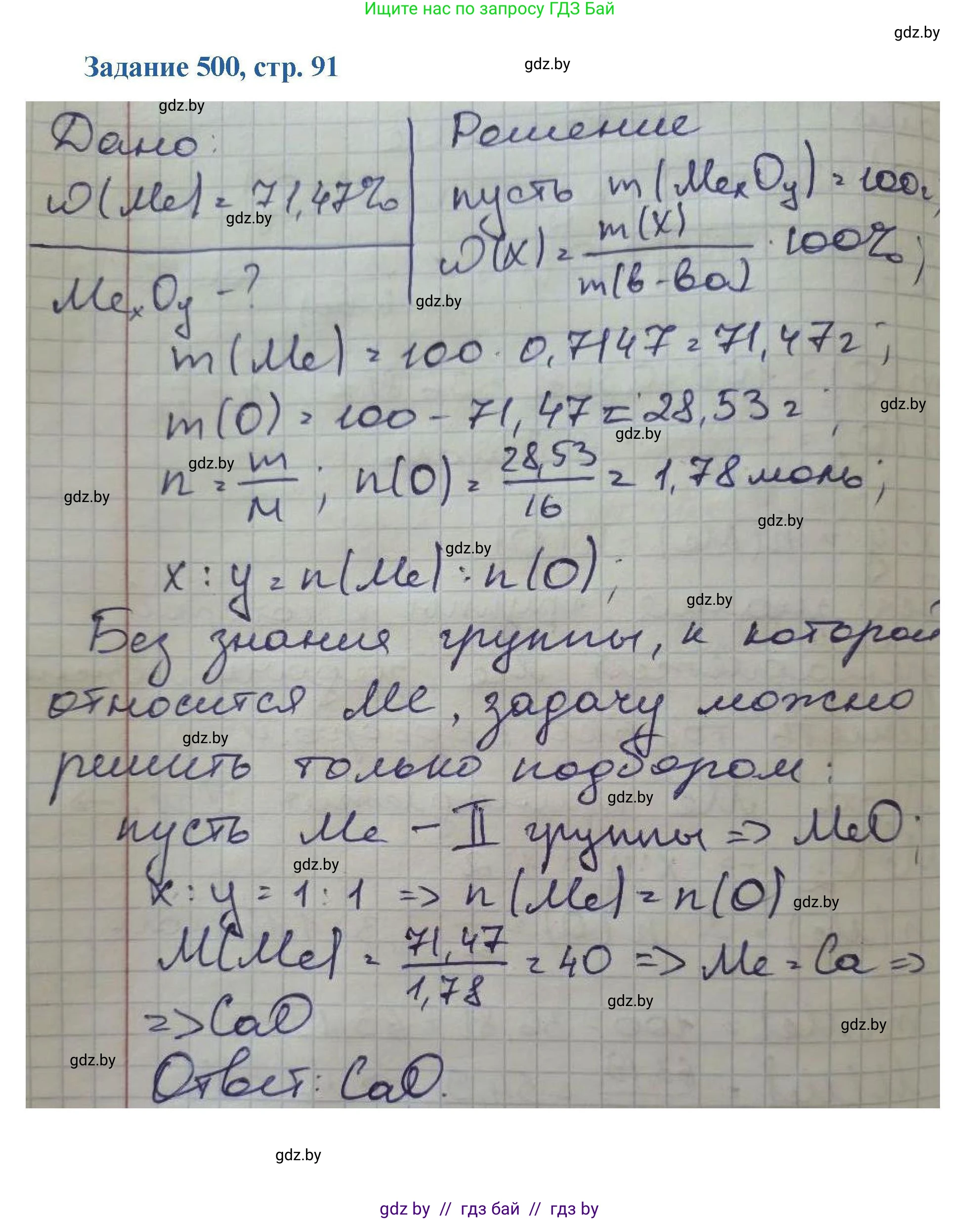
500. Массовая доля неизвестного металла в его оксиде равна 71,47 %. Установите формулу оксида.

Решение. №500 (с. 91)
Химия, 8 класс Сборник задач, авторы: Хвалюк Виктор Николаевич, Резяпкин Виктор Ильич, издательство Адукацыя i выхаванне, Минск, 2019, голубого цвета, страница 91, номер 500, Решение
Решение 2. №500 (с. 91)

Дано:

$\omega(Me) = 71,47 \% = 0,7147$

Найти:

Формулу оксида - $Me_xO_y$

Решение:

Общая формула оксида металла может быть записана как $Me_xO_y$, где $Me$ - неизвестный металл, $O$ - кислород, а $x$ и $y$ - стехиометрические индексы.

Массовая доля элемента в соединении вычисляется по формуле:

$\omega(Э) = \frac{n \cdot Ar(Э)}{Mr(соединения)}$

Для нашего случая, массовая доля металла в оксиде:

$\omega(Me) = \frac{x \cdot Ar(Me)}{x \cdot Ar(Me) + y \cdot Ar(O)}$

где $Ar(Me)$ — атомная масса неизвестного металла, а $Ar(O) \approx 16$ а.е.м.

Если массовая доля металла составляет 71,47%, то массовая доля кислорода в оксиде равна:

$\omega(O) = 100\% - \omega(Me) = 100\% - 71,47\% = 28,53\%$

Соотношение индексов в формуле $Me_xO_y$ равно соотношению молей атомов элементов. Допустим, у нас есть 100 г оксида. Тогда масса металла и кислорода будет:

$m(Me) = 100 \text{ г} \cdot 0,7147 = 71,47 \text{ г}$

$m(O) = 100 \text{ г} \cdot 0,2853 = 28,53 \text{ г}$

Найдем соотношение количеств вещества (в молях):

$x : y = n(Me) : n(O) = \frac{m(Me)}{Ar(Me)} : \frac{m(O)}{Ar(O)}$

$x : y = \frac{71,47}{Ar(Me)} : \frac{28,53}{16}$

$x : y = \frac{71,47}{Ar(Me)} : 1,783$

Из этого соотношения можно выразить атомную массу металла $Ar(Me)$ через соотношение индексов $\frac{y}{x}$:

$\frac{x}{y} = \frac{71,47 / Ar(Me)}{1,783} \implies Ar(Me) = \frac{71,47}{1,783} \cdot \frac{y}{x} \approx 40,08 \cdot \frac{y}{x}$

Теперь рассмотрим возможные валентности металла, которые определяют соотношение $y/x$.

1. Если металл двухвалентен (II), его оксид имеет формулу $MeO$. В этом случае $x=1, y=1$.

$Ar(Me) = 40,08 \cdot \frac{1}{1} = 40,08$ г/моль.

Атомная масса 40,08 г/моль соответствует кальцию (Ca). Кальций — металл II группы, его высшая валентность равна II. Эта версия является наиболее вероятной.

2. Если металл одновалентен (I), его оксид имеет формулу $Me_2O$. В этом случае $x=2, y=1$.

$Ar(Me) = 40,08 \cdot \frac{1}{2} = 20,04$ г/моль.

Металла с такой атомной массой не существует.

3. Если металл трехвалентен (III), его оксид имеет формулу $Me_2O_3$. В этом случае $x=2, y=3$.

$Ar(Me) = 40,08 \cdot \frac{3}{2} = 60,12$ г/моль.

Эта масса близка к массе кобальта (Co, 58,93 г/моль), но расхождение больше, чем в первом случае.

Проверим нашу гипотезу, что металл — это кальций (Ca), а оксид — $CaO$.

Молярная масса оксида кальция $CaO$:

$Mr(CaO) = Ar(Ca) + Ar(O) = 40,08 + 16,00 = 56,08$ г/моль.

Массовая доля кальция в $CaO$:

$\omega(Ca) = \frac{Ar(Ca)}{Mr(CaO)} = \frac{40,08}{56,08} \approx 0,7147$ или $71,47\%$.

Расчетное значение полностью совпадает с данными в условии задачи. Следовательно, неизвестный металл — это кальций.

Ответ: Формула оксида — CaO.

Помогло решение? Оставьте отзыв в комментариях ниже.

Присоединяйтесь к Телеграм-группе @gdz_by_belarus

Присоединиться

Мы подготовили для вас ответ c подробным объяснением домашего задания по химии за 8 класс, для упражнения номер 500 расположенного на странице 91 к сборнику задач 2019 года издания для учащихся школ и гимназий.

Теперь на нашем сайте ГДЗ.ТОП вы всегда легко и бесплатно найдёте условие с правильным ответом на вопрос «Как решить ДЗ» и «Как сделать» задание по химии к упражнению №500 (с. 91), авторов: Хвалюк (Виктор Николаевич), Резяпкин (Виктор Ильич), учебного пособия издательства Адукацыя i выхаванне.