Номер 751, страница 132 - гдз по химии 8 класс сборник задач Хвалюк, Резяпкин

Химия, 8 класс Сборник задач, авторы: Хвалюк Виктор Николаевич, Резяпкин Виктор Ильич, издательство Адукацыя i выхаванне, Минск, 2019, голубого цвета

Авторы: Хвалюк В. Н., Резяпкин В. И.

Тип: Сборник задач

Издательство: Адукацыя i выхаванне

Год издания: 2019 - 2026

Цвет обложки: голубой, зелёный с кристаллами

ISBN: 978-985-599-064-3

Допущено Министерством образования Республики Беларусь

Популярные ГДЗ в 8 классе

Глава VI. Растворы. Параграф 50. Количественные характеристики состава растворов. Массовая доля растворённого вещества - номер 751, страница 132.

№751 (с. 132)
Условие. №751 (с. 132)
скриншот условия
Химия, 8 класс Сборник задач, авторы: Хвалюк Виктор Николаевич, Резяпкин Виктор Ильич, издательство Адукацыя i выхаванне, Минск, 2019, голубого цвета, страница 132, номер 751, Условие

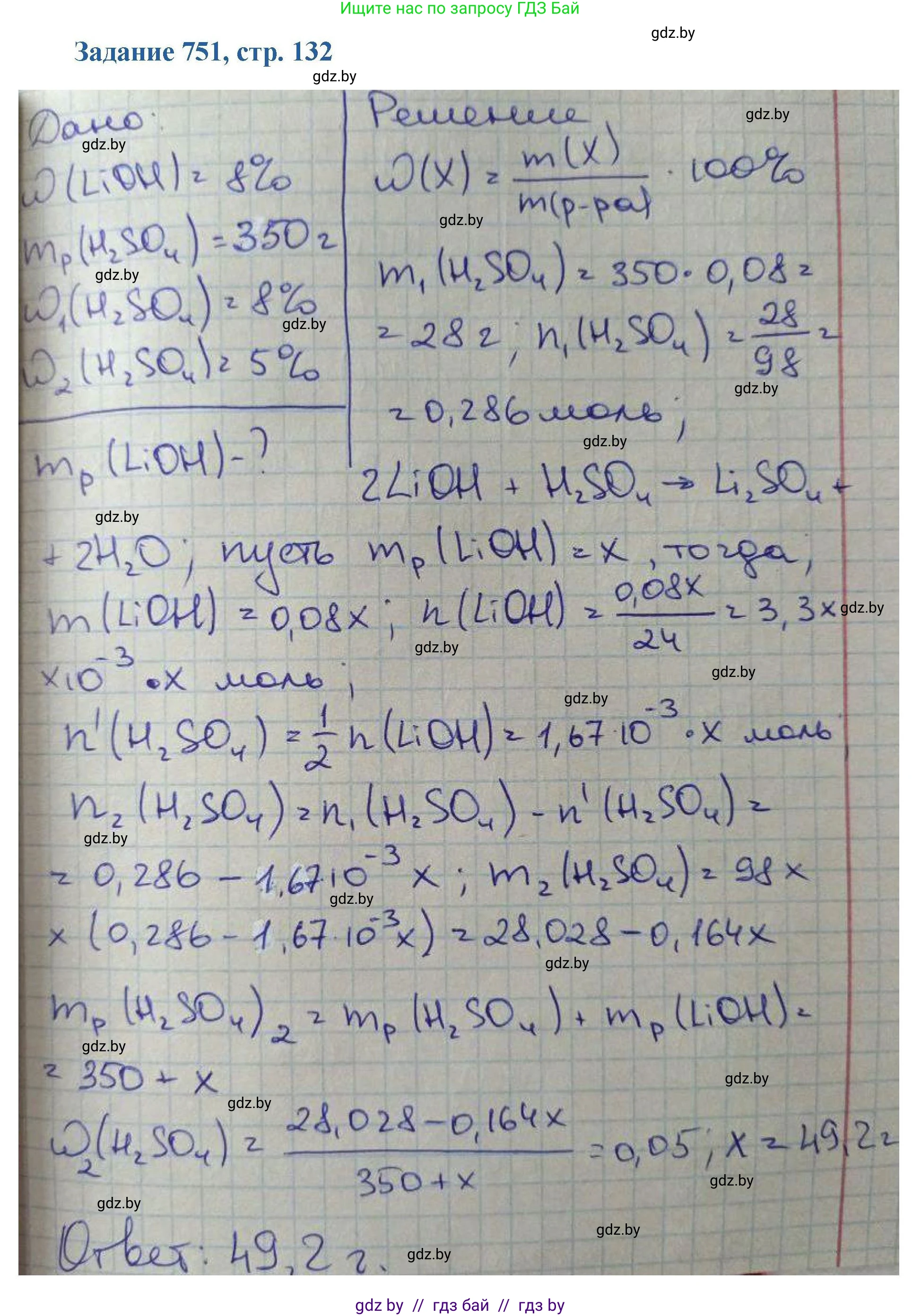
751. Раствор гидроксида лития какой массой с массовой долей $ \text{LiOH} $, равной $ 8.00\ \% $, следует добавить к серной кислоте массой 350 г с массовой долей $ \text{H}_2\text{SO}_4 $, равной $ 8.00\ \% $, чтобы массовая доля серной кислоты в полученном растворе стала равной $ 5.00\ \% $?

Решение. №751 (с. 132)
Химия, 8 класс Сборник задач, авторы: Хвалюк Виктор Николаевич, Резяпкин Виктор Ильич, издательство Адукацыя i выхаванне, Минск, 2019, голубого цвета, страница 132, номер 751, Решение
Решение 2. №751 (с. 132)

Дано:

$m_{р-ра}(H_2SO_4) = 350 \text{ г}$

$w_1(H_2SO_4) = 8,00 \% = 0,08$

$w(LiOH) = 8,00 \% = 0,08$

$w_2(H_2SO_4) = 5,00 \% = 0,05$

Найти:

$m_{р-ра}(LiOH) - ?$

Решение:

1. При смешивании растворов гидроксида лития и серной кислоты происходит реакция нейтрализации. Запишем уравнение реакции:

$2LiOH + H_2SO_4 \rightarrow Li_2SO_4 + 2H_2O$

2. Рассчитаем начальную массу чистой серной кислоты в исходном растворе:

$m_1(H_2SO_4) = m_{р-ра}(H_2SO_4) \cdot w_1(H_2SO_4) = 350 \text{ г} \cdot 0,08 = 28 \text{ г}$

3. Обозначим искомую массу раствора гидроксида лития как $x$ г. Тогда масса чистого вещества $LiOH$ в этом растворе составляет:

$m(LiOH) = m_{р-ра}(LiOH) \cdot w(LiOH) = x \cdot 0,08 = 0,08x \text{ г}$

4. Для стехиометрических расчетов найдем молярные массы реагентов, используя округленные значения атомных масс (Li - 7, O - 16, H - 1, S - 32):

$M(LiOH) = 7 + 16 + 1 = 24 \text{ г/моль}$

$M(H_2SO_4) = 2 \cdot 1 + 32 + 4 \cdot 16 = 98 \text{ г/моль}$

5. Определим количество вещества $LiOH$, которое будет добавлено:

$n(LiOH) = \frac{m(LiOH)}{M(LiOH)} = \frac{0,08x}{24} \text{ моль}$

6. Согласно уравнению реакции, 2 моль $LiOH$ реагируют с 1 моль $H_2SO_4$. Найдем количество вещества серной кислоты, которое вступит в реакцию:

$n_{реаг}(H_2SO_4) = \frac{1}{2} n(LiOH) = \frac{1}{2} \cdot \frac{0,08x}{24} = \frac{0,08x}{48} \text{ моль}$

7. Теперь найдем массу прореагировавшей серной кислоты:

$m_{реаг}(H_2SO_4) = n_{реаг}(H_2SO_4) \cdot M(H_2SO_4) = \frac{0,08x}{48} \cdot 98 = \frac{7,84x}{48} \approx 0,1633x \text{ г}$
Для точности расчетов оставим в виде дроби: $m_{реаг}(H_2SO_4) = \frac{49x}{300} \text{ г}$

8. Масса серной кислоты, оставшейся в растворе после реакции, равна разности начальной и прореагировавшей масс:

$m_{ост}(H_2SO_4) = m_1(H_2SO_4) - m_{реаг}(H_2SO_4) = 28 - \frac{49x}{300} \text{ г}$

9. Масса конечного раствора складывается из масс исходных растворов:

$m_{кон. р-ра} = m_{р-ра}(H_2SO_4) + m_{р-ра}(LiOH) = 350 + x \text{ г}$

10. Массовая доля вещества в растворе определяется по формуле $w = \frac{m_{вещества}}{m_{раствора}}$. Подставим известные и выведенные значения в формулу для конечной массовой доли серной кислоты ($w_2(H_2SO_4) = 5,00 \% = 0,05$):

$0,05 = \frac{m_{ост}(H_2SO_4)}{m_{кон. р-ра}} = \frac{28 - \frac{49x}{300}}{350 + x}$

11. Решим полученное уравнение относительно $x$:

$0,05 \cdot (350 + x) = 28 - \frac{49x}{300}$

$17,5 + 0,05x = 28 - \frac{49x}{300}$

Перенесем слагаемые с $x$ в одну сторону, а числовые значения — в другую:

$0,05x + \frac{49x}{300} = 28 - 17,5$

Приведем дроби к общему знаменателю (300):

$(\frac{0,05 \cdot 300}{300} + \frac{49}{300})x = 10,5$

$(\frac{15}{300} + \frac{49}{300})x = 10,5$

$\frac{64}{300}x = 10,5$

$x = \frac{10,5 \cdot 300}{64} = \frac{3150}{64} = 49,21875 \text{ г}$

12. Исходные данные в задаче представлены с тремя значащими цифрами (8,00 %, 350 г, 5,00 %), поэтому результат следует округлить до трех значащих цифр.

$x \approx 49,2 \text{ г}$

Ответ: следует добавить 49,2 г раствора гидроксида лития.

Помогло решение? Оставьте отзыв в комментариях ниже.

Присоединяйтесь к Телеграм-группе @gdz_by_belarus

Присоединиться

Мы подготовили для вас ответ c подробным объяснением домашего задания по химии за 8 класс, для упражнения номер 751 расположенного на странице 132 к сборнику задач 2019 года издания для учащихся школ и гимназий.

Теперь на нашем сайте ГДЗ.ТОП вы всегда легко и бесплатно найдёте условие с правильным ответом на вопрос «Как решить ДЗ» и «Как сделать» задание по химии к упражнению №751 (с. 132), авторов: Хвалюк (Виктор Николаевич), Резяпкин (Виктор Ильич), учебного пособия издательства Адукацыя i выхаванне.