Номер 774, страница 135 - гдз по химии 8 класс сборник задач Хвалюк, Резяпкин

Химия, 8 класс Сборник задач, авторы: Хвалюк Виктор Николаевич, Резяпкин Виктор Ильич, издательство Адукацыя i выхаванне, Минск, 2019, голубого цвета

Авторы: Хвалюк В. Н., Резяпкин В. И.

Тип: Сборник задач

Издательство: Адукацыя i выхаванне

Год издания: 2019 - 2026

Цвет обложки: голубой, зелёный с кристаллами

ISBN: 978-985-599-064-3

Допущено Министерством образования Республики Беларусь

Популярные ГДЗ в 8 классе

Готовимся к олимпиадам - номер 774, страница 135.

№774 (с. 135)
Условие. №774 (с. 135)
скриншот условия
Химия, 8 класс Сборник задач, авторы: Хвалюк Виктор Николаевич, Резяпкин Виктор Ильич, издательство Адукацыя i выхаванне, Минск, 2019, голубого цвета, страница 135, номер 774, Условие

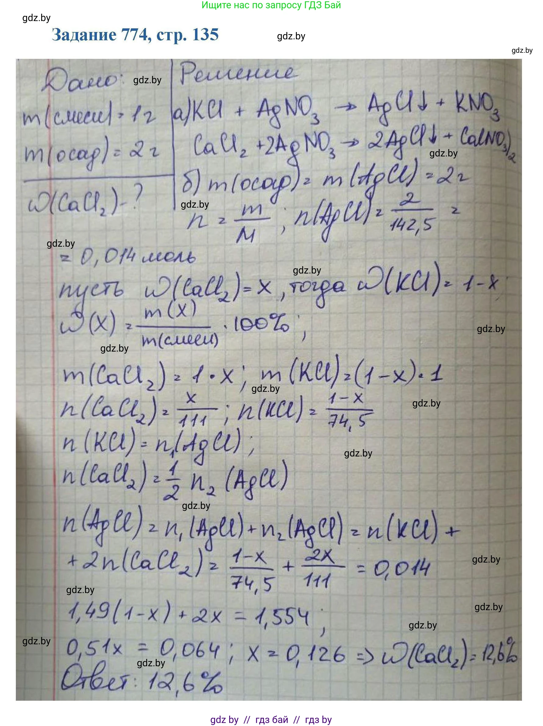
774. Для количественного анализа состава различных объектов часто используется гравиметрический (или весовой) метод, основанный на измерении точной массы подходящего соединения определяемого элемента. При работе в лаборатории юный химик случайно просыпал некоторое количество $CaCl_2$ в сосуд с реактивом $KCl$. Учитывая, что оба вещества содержат хлорид-ион, юный химик решил провести анализ смеси следующим образом. Навеску смеси массой 1,000 г он растворил в воде и к полученному раствору добавил избыток раствора $AgNO_3$, подкислённого $HNO_3$. Полученный осадок отфильтровал, высушил и взвесил. Масса осадка составила 2,000 г.

a) Приведите уравнения реакций, протекающих в ходе описанного анализа.

б) Рассчитайте массовую долю $CaCl_2$ в смеси.

Решение. №774 (с. 135)
Химия, 8 класс Сборник задач, авторы: Хвалюк Виктор Николаевич, Резяпкин Виктор Ильич, издательство Адукацыя i выхаванне, Минск, 2019, голубого цвета, страница 135, номер 774, Решение
Решение 2. №774 (с. 135)

а) Приведите уравнения реакций, протекающих в ходе описанного анализа.

В ходе анализа оба компонента смеси, хлорид кальция ($CaCl_2$) и хлорид калия ($KCl$), вступают в реакцию с нитратом серебра ($AgNO_3$) с образованием белого творожистого осадка хлорида серебра ($AgCl$), нерастворимого в азотной кислоте.

Реакция хлорида кальция с нитратом серебра:

$CaCl_2 + 2AgNO_3 \rightarrow 2AgCl \downarrow + Ca(NO_3)_2$

Реакция хлорида калия с нитратом серебра:

$KCl + AgNO_3 \rightarrow AgCl \downarrow + KNO_3$

Ответ: $CaCl_2 + 2AgNO_3 \rightarrow 2AgCl \downarrow + Ca(NO_3)_2$; $KCl + AgNO_3 \rightarrow AgCl \downarrow + KNO_3$.

б) Рассчитайте массовую долю CaCl₂ в смеси.

Дано:

$m(\text{смеси}) = 1,000 \text{ г}$

$m(\text{осадка AgCl}) = 2,000 \text{ г}$

Найти:

$\omega(CaCl_2) - ?$

Решение:

1. Рассчитаем молярные массы веществ, необходимые для решения задачи:

$M(CaCl_2) = 40,08 + 2 \cdot 35,45 = 110,98 \text{ г/моль}$

$M(KCl) = 39,10 + 35,45 = 74,55 \text{ г/моль}$

$M(AgCl) = 107,87 + 35,45 = 143,32 \text{ г/моль}$

2. Определим количество вещества (моль) образовавшегося осадка хлорида серебра ($AgCl$):

$n(AgCl) = \frac{m(AgCl)}{M(AgCl)} = \frac{2,000 \text{ г}}{143,32 \text{ г/моль}} \approx 0,013955 \text{ моль}$

3. Весь хлор из исходной смеси солей перешел в осадок. Следовательно, общее количество вещества хлорид-ионов в смеси равно количеству вещества $AgCl$:

$n(Cl^-)_{\text{общ.}} = n(AgCl) \approx 0,013955 \text{ моль}$

4. Пусть в исходной смеси содержалось $x$ моль $CaCl_2$ и $y$ моль $KCl$. Составим систему уравнений.

Первое уравнение основано на общей массе смеси:

$m(CaCl_2) + m(KCl) = 1,000 \text{ г}$

$n(CaCl_2) \cdot M(CaCl_2) + n(KCl) \cdot M(KCl) = 1,000 \text{ г}$

$110,98x + 74,55y = 1,000$ (1)

Второе уравнение основано на общем количестве хлорид-ионов. Учтем, что в 1 моль $CaCl_2$ содержится 2 моль хлорид-ионов, а в 1 моль $KCl$ - 1 моль:

$2 \cdot n(CaCl_2) + 1 \cdot n(KCl) = n(Cl^-)_{\text{общ.}}$

$2x + y = 0,013955$ (2)

5. Решим систему уравнений. Из уравнения (2) выразим $y$:

$y = 0,013955 - 2x$

Подставим полученное выражение для $y$ в уравнение (1):

$110,98x + 74,55(0,013955 - 2x) = 1,000$

$110,98x + 1,04013 - 149,1x = 1,000$

$1,04013 - 1,000 = 149,1x - 110,98x$

$0,04013 = 38,12x$

$x = \frac{0,04013}{38,12} \approx 0,001053 \text{ моль}$

Итак, количество вещества $CaCl_2$ в смеси равно $x \approx 0,001053 \text{ моль}$.

6. Теперь найдем массу хлорида кальция в исходной смеси:

$m(CaCl_2) = n(CaCl_2) \cdot M(CaCl_2) = 0,001053 \text{ моль} \cdot 110,98 \text{ г/моль} \approx 0,1168 \text{ г}$

7. Наконец, рассчитаем массовую долю $CaCl_2$ в смеси:

$\omega(CaCl_2) = \frac{m(CaCl_2)}{m(\text{смеси})} \cdot 100\% = \frac{0,1168 \text{ г}}{1,000 \text{ г}} \cdot 100\% = 11,68\%$

Ответ: массовая доля $CaCl_2$ в смеси составляет $11,68\%$.

Помогло решение? Оставьте отзыв в комментариях ниже.

Присоединяйтесь к Телеграм-группе @gdz_by_belarus

Присоединиться

Мы подготовили для вас ответ c подробным объяснением домашего задания по химии за 8 класс, для упражнения номер 774 расположенного на странице 135 к сборнику задач 2019 года издания для учащихся школ и гимназий.

Теперь на нашем сайте ГДЗ.ТОП вы всегда легко и бесплатно найдёте условие с правильным ответом на вопрос «Как решить ДЗ» и «Как сделать» задание по химии к упражнению №774 (с. 135), авторов: Хвалюк (Виктор Николаевич), Резяпкин (Виктор Ильич), учебного пособия издательства Адукацыя i выхаванне.