Номер 779, страница 136 - гдз по химии 8 класс сборник задач Хвалюк, Резяпкин

Химия, 8 класс Сборник задач, авторы: Хвалюк Виктор Николаевич, Резяпкин Виктор Ильич, издательство Адукацыя i выхаванне, Минск, 2019, голубого цвета

Авторы: Хвалюк В. Н., Резяпкин В. И.

Тип: Сборник задач

Издательство: Адукацыя i выхаванне

Год издания: 2019 - 2026

Цвет обложки: голубой, зелёный с кристаллами

ISBN: 978-985-599-064-3

Допущено Министерством образования Республики Беларусь

Популярные ГДЗ в 8 классе

Готовимся к олимпиадам - номер 779, страница 136.

№779 (с. 136)
Условие. №779 (с. 136)
скриншот условия
Химия, 8 класс Сборник задач, авторы: Хвалюк Виктор Николаевич, Резяпкин Виктор Ильич, издательство Адукацыя i выхаванне, Минск, 2019, голубого цвета, страница 136, номер 779, Условие Химия, 8 класс Сборник задач, авторы: Хвалюк Виктор Николаевич, Резяпкин Виктор Ильич, издательство Адукацыя i выхаванне, Минск, 2019, голубого цвета, страница 136, номер 779, Условие (продолжение 2)

779. Воздух представляет собой смесь азота, кислорода, аргона, углекислого газа и некоторых других газов. Для простоты будем считать, что при н. у. в воздухе объемом 100 дм3 содержится азот объемом 78 дм3, кислород объемом 21 дм3 и аргон объемом 1 дм3.

а) Рассчитайте относительную молекулярную массу воздуха в комнате.

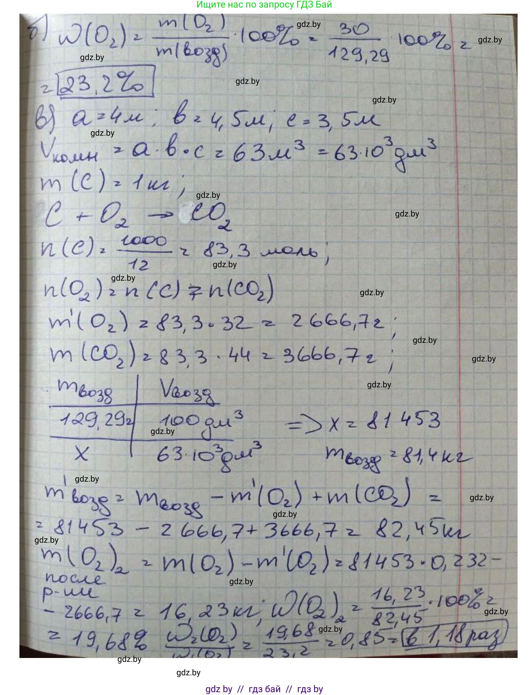
б) Чему равна массовая доля кислорода в воздухе? Приведите ваши расчёты.

в) В закрытой комнате размером 4,0 м × 4,5 м × 3,5 м, заполненной воздухом, при н. у. сожгли углерод массой 1,0 кг. Во сколько раз уменьшилась массовая доля кислорода в воздухе в комнате после окончания реакции? Приведите ваши расчёты.

Решение. №779 (с. 136)
Химия, 8 класс Сборник задач, авторы: Хвалюк Виктор Николаевич, Резяпкин Виктор Ильич, издательство Адукацыя i выхаванне, Минск, 2019, голубого цвета, страница 136, номер 779, Решение Химия, 8 класс Сборник задач, авторы: Хвалюк Виктор Николаевич, Резяпкин Виктор Ильич, издательство Адукацыя i выхаванне, Минск, 2019, голубого цвета, страница 136, номер 779, Решение (продолжение 2)
Решение 2. №779 (с. 136)

а) Рассчитайте относительную молекулярную массу воздуха в комнате.

Для расчёта средней относительной молекулярной массы воздуха ($M_r(возд.)$) воспользуемся формулой, учитывающей объёмные доли ($\phi$) и относительные молекулярные массы ($M_r$) газов, входящих в его состав. Согласно закону Авогадро, объёмные доли газов в смеси равны их мольным долям.

Средняя относительная молекулярная масса рассчитывается как взвешенное среднее: $M_r(возд.) = \phi(N_2) \cdot M_r(N_2) + \phi(O_2) \cdot M_r(O_2) + \phi(Ar) \cdot M_r(Ar)$

Дано:

  • Объёмная доля азота $\phi(N_2) = \frac{78 \text{ дм}^3}{100 \text{ дм}^3} = 0,78$
  • Объёмная доля кислорода $\phi(O_2) = \frac{21 \text{ дм}^3}{100 \text{ дм}^3} = 0,21$
  • Объёмная доля аргона $\phi(Ar) = \frac{1 \text{ дм}^3}{100 \text{ дм}^3} = 0,01$

Относительные молекулярные массы компонентов (используем округленные атомные массы: N=14, O=16, Ar=40):

  • $M_r(N_2) = 2 \cdot 14 = 28$
  • $M_r(O_2) = 2 \cdot 16 = 32$
  • $M_r(Ar) = 40$

Подставляем значения в формулу: $M_r(возд.) = 0,78 \cdot 28 + 0,21 \cdot 32 + 0,01 \cdot 40 = 21,84 + 6,72 + 0,40 = 28,96$

Ответ: Относительная молекулярная масса воздуха составляет 28,96.

б) Чему равна массовая доля кислорода в воздухе? Приведите ваши расчёты.

Массовая доля компонента в смеси ($\omega$) — это отношение массы этого компонента к общей массе смеси. Массовую долю кислорода ($\omega(O_2)$) можно рассчитать, зная его мольную (объёмную) долю и молярные массы компонентов.

Формула для расчёта массовой доли: $\omega(O_2) = \frac{\phi(O_2) \cdot M(O_2)}{M(возд.)}$

Из предыдущего пункта нам известны:

  • $\phi(O_2) = 0,21$
  • $M(O_2) = 32 \text{ г/моль}$
  • $M(возд.) = 28,96 \text{ г/моль}$

Выполняем расчёт: $\omega(O_2) = \frac{0,21 \cdot 32}{28,96} = \frac{6,72}{28,96} \approx 0,232$

Чтобы выразить в процентах, умножаем на 100%: $0,232 \cdot 100\% = 23,2\%$.

Ответ: Массовая доля кислорода в воздухе равна 0,232 или 23,2%.

в) В закрытой комнате размером 4,0 м × 4,5 м × 3,5 м, заполненной воздухом, при н. у. сожгли углерод массой 1,0 кг. Во сколько раз уменьшилась массовая доля кислорода в воздухе в комнате после окончания реакции? Приведите ваши расчёты.

Дано:

Размеры комнаты: $4,0 \text{ м} \times 4,5 \text{ м} \times 3,5 \text{ м}$
Масса углерода: $m(C) = 1,0 \text{ кг}$
Условия: нормальные (н. у.), молярный объём $V_m = 22,4 \text{ дм}^3/\text{моль}$
Состав воздуха (объёмные доли): $\phi(N_2) = 0,78$; $\phi(O_2) = 0,21$; $\phi(Ar) = 0,01$

Перевод в единицы для расчётов:
Объём комнаты: $V_{комнаты} = 4,0 \cdot 4,5 \cdot 3,5 = 63 \text{ м}^3 = 63000 \text{ дм}^3$
Масса углерода: $m(C) = 1,0 \text{ кг} = 1000 \text{ г}$

Найти:

Отношение начальной массовой доли кислорода к конечной: $\frac{\omega_{нач}(O_2)}{\omega_{кон}(O_2)}$

Решение:

1. Рассчитаем начальное количество вещества и массу воздуха и его компонентов в комнате. Объём воздуха $V_{возд.} = V_{комнаты} = 63000 \text{ дм}^3$. Общее количество вещества воздуха: $n_{возд., нач} = \frac{V_{возд.}}{V_m} = \frac{63000 \text{ дм}^3}{22,4 \text{ дм}^3/\text{моль}} = 2812,5 \text{ моль}$ Начальная масса воздуха в комнате: $m_{возд., нач} = n_{возд., нач} \cdot M(возд.) = 2812,5 \text{ моль} \cdot 28,96 \text{ г/моль} = 81450 \text{ г}$ Начальное количество вещества кислорода: $n(O_2)_{нач} = n_{возд., нач} \cdot \phi(O_2) = 2812,5 \text{ моль} \cdot 0,21 = 590,625 \text{ моль}$ Начальная масса кислорода: $m(O_2)_{нач} = n(O_2)_{нач} \cdot M(O_2) = 590,625 \text{ моль} \cdot 32 \text{ г/моль} = 18900 \text{ г}$ Начальная массовая доля кислорода (как в пункте б): $\omega_{нач}(O_2) = \frac{m(O_2)_{нач}}{m_{возд., нач}} = \frac{18900 \text{ г}}{81450 \text{ г}} \approx 0,23204$

2. Определим изменения в системе в результате реакции горения углерода. Уравнение реакции: $C + O_2 \rightarrow CO_2$ Количество вещества углерода, вступившего в реакцию: $n(C) = \frac{m(C)}{M(C)} = \frac{1000 \text{ г}}{12 \text{ г/моль}} \approx 83,33 \text{ моль}$ Согласно уравнению реакции, $n(C) : n(O_2) : n(CO_2) = 1:1:1$. Количество прореагировавшего кислорода: $n(O_2)_{прореаг.} = n(C) \approx 83,33 \text{ моль}$. Это меньше, чем начальное количество кислорода ($590,625 \text{ моль}$), значит, кислород в избытке.

3. Рассчитаем конечные массы компонентов и общую массу газовой смеси. Масса прореагировавшего кислорода: $m(O_2)_{прореаг.} = n(O_2)_{прореаг.} \cdot M(O_2) = 83,33 \text{ моль} \cdot 32 \text{ г/моль} \approx 2666,67 \text{ г}$ Конечная масса кислорода в комнате: $m(O_2)_{кон} = m(O_2)_{нач} - m(O_2)_{прореаг.} = 18900 \text{ г} - 2666,67 \text{ г} = 16233,33 \text{ г}$ Конечная масса газовой смеси в комнате. В закрытой системе масса сохраняется. Твердый углерод ($1000 \text{ г}$) превратился в газообразный $CO_2$, добавившись к массе воздуха. $m_{смеси, кон} = m_{возд., нач} + m(C) = 81450 \text{ г} + 1000 \text{ г} = 82450 \text{ г}$

4. Рассчитаем конечную массовую долю кислорода. $\omega_{кон}(O_2) = \frac{m(O_2)_{кон}}{m_{смеси, кон}} = \frac{16233,33 \text{ г}}{82450 \text{ г}} \approx 0,19689$

5. Найдём, во сколько раз уменьшилась массовая доля кислорода. $\frac{\omega_{нач}(O_2)}{\omega_{кон}(O_2)} = \frac{0,23204}{0,19689} \approx 1,1785$

Ответ: Массовая доля кислорода в воздухе уменьшилась примерно в 1,18 раза.

Помогло решение? Оставьте отзыв в комментариях ниже.

Присоединяйтесь к Телеграм-группе @gdz_by_belarus

Присоединиться

Мы подготовили для вас ответ c подробным объяснением домашего задания по химии за 8 класс, для упражнения номер 779 расположенного на странице 136 к сборнику задач 2019 года издания для учащихся школ и гимназий.

Теперь на нашем сайте ГДЗ.ТОП вы всегда легко и бесплатно найдёте условие с правильным ответом на вопрос «Как решить ДЗ» и «Как сделать» задание по химии к упражнению №779 (с. 136), авторов: Хвалюк (Виктор Николаевич), Резяпкин (Виктор Ильич), учебного пособия издательства Адукацыя i выхаванне.