Номер 783, страница 138 - гдз по химии 8 класс сборник задач Хвалюк, Резяпкин

Химия, 8 класс Сборник задач, авторы: Хвалюк Виктор Николаевич, Резяпкин Виктор Ильич, издательство Адукацыя i выхаванне, Минск, 2019, голубого цвета

Авторы: Хвалюк В. Н., Резяпкин В. И.

Тип: Сборник задач

Издательство: Адукацыя i выхаванне

Год издания: 2019 - 2026

Цвет обложки: голубой, зелёный с кристаллами

ISBN: 978-985-599-064-3

Допущено Министерством образования Республики Беларусь

Популярные ГДЗ в 8 классе

Готовимся к олимпиадам - номер 783, страница 138.

№783 (с. 138)
Условие. №783 (с. 138)
скриншот условия
Химия, 8 класс Сборник задач, авторы: Хвалюк Виктор Николаевич, Резяпкин Виктор Ильич, издательство Адукацыя i выхаванне, Минск, 2019, голубого цвета, страница 138, номер 783, Условие

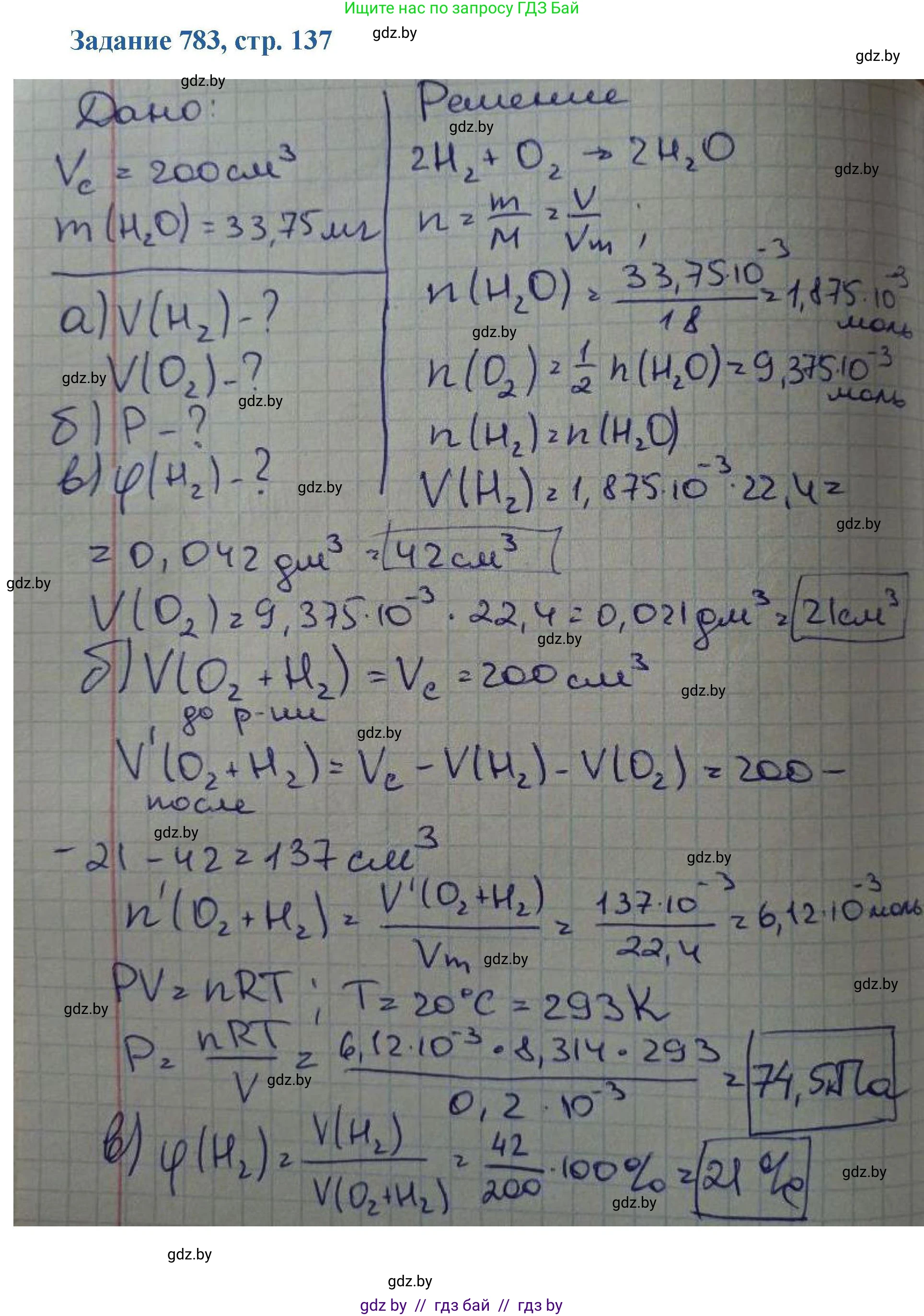
783. В герметический сосуд объёмом $200 \text{ см}^3$ поместили при н. у. смесь воздуха с водородом. В сосуд внесли катализатор, в результате чего произошёл взрыв. После охлаждения сосуда до $20 \text{ °C}$ в нём содержалось $33,75 \text{ мг}$ прозрачной жидкости, не имеющей запаха.

а) Водород и кислород какого объёма (н. у.) вступили в реакцию?

б) Какое давление установилось в сосуде после его охлаждения до $20 \text{ °C}$ (при расчётах пренебрегите объёмом жидкости )?

в) Рассчитайте объёмную долю водорода в исходной газовой смеси.

Решение. №783 (с. 138)
Химия, 8 класс Сборник задач, авторы: Хвалюк Виктор Николаевич, Резяпкин Виктор Ильич, издательство Адукацыя i выхаванне, Минск, 2019, голубого цвета, страница 138, номер 783, Решение
Решение 2. №783 (с. 138)

Дано:

$V_{сосуда} = 200 \text{ см}^3 = 2 \cdot 10^{-4} \text{ м}^3$
$m(H_2O) = 33,75 \text{ мг} = 3,375 \cdot 10^{-5} \text{ кг}$
Исходные условия: нормальные условия (н. у.)
$T_1 = 0 \text{ °C} = 273,15 \text{ K}$
$p_1 = 101325 \text{ Па}$
Конечная температура: $T_2 = 20 \text{ °C} = 293,15 \text{ K}$
Объёмная доля кислорода в воздухе: $\phi(O_2) = 21\% = 0,21$
Объёмная доля азота в воздухе: $\phi(N_2) = 79\% = 0,79$
Молярная масса воды: $M(H_2O) \approx 18 \text{ г/моль} = 0,018 \text{ кг/моль}$
Молярный объём газа при н. у.: $V_m = 22,4 \text{ л/моль} = 0,0224 \text{ м}^3/\text{моль}$

Найти:

а) $V_{реаг}(H_2)$, $V_{реаг}(O_2)$ - ?
б) $p_2$ - ?
в) $\phi_{исх}(H_2)$ - ?

Решение:

Прозрачная жидкость без запаха, образовавшаяся в результате взрыва смеси водорода с воздухом, — это вода ($H_2O$). Реакция протекает по уравнению:
$2H_2 + O_2 \xrightarrow{катализатор, t} 2H_2O$

а) Водород и кислород какого объёма (н. у.) вступили в реакцию?

1. Найдём количество вещества (моль) образовавшейся воды:
$n(H_2O) = \frac{m(H_2O)}{M(H_2O)} = \frac{33,75 \cdot 10^{-3} \text{ г}}{18 \text{ г/моль}} = 0,001875 \text{ моль}$

2. По уравнению реакции определим количество вещества водорода и кислорода, вступивших в реакцию. Соотношение количеств веществ равно соотношению стехиометрических коэффициентов:
$n(H_2) : n(O_2) : n(H_2O) = 2 : 1 : 2$
Следовательно, количество вещества прореагировавшего водорода:
$n_{реаг}(H_2) = n(H_2O) = 0,001875 \text{ моль}$
Количество вещества прореагировавшего кислорода:
$n_{реаг}(O_2) = \frac{1}{2} n(H_2O) = \frac{1}{2} \cdot 0,001875 \text{ моль} = 0,0009375 \text{ моль}$

3. Рассчитаем объёмы прореагировавших газов при нормальных условиях (н. у.):
$V_{реаг}(H_2) = n_{реаг}(H_2) \cdot V_m = 0,001875 \text{ моль} \cdot 22,4 \text{ л/моль} = 0,042 \text{ л} = 42 \text{ см}^3$
$V_{реаг}(O_2) = n_{реаг}(O_2) \cdot V_m = 0,0009375 \text{ моль} \cdot 22,4 \text{ л/моль} = 0,021 \text{ л} = 21 \text{ см}^3$

Ответ: В реакцию вступили 42 см³ водорода и 21 см³ кислорода (при н. у.).

б) Какое давление установилось в сосуде после его охлаждения до 20 °С (при расчётах пренебрегите объёмом жидкости )?

1. Изначально сосуд объёмом 200 см³ был заполнен газовой смесью при н. у. ($p_1, T_1$). После реакции и охлаждения в сосуде остался газ при давлении $p_2$ и температуре $T_2$. Объём газа равен объёму сосуда $V_{сосуда}$.

2. Общий объём прореагировавших газов при н. у. составляет:
$V_{реаг.газов} = V_{реаг}(H_2) + V_{реаг}(O_2) = 42 \text{ см}^3 + 21 \text{ см}^3 = 63 \text{ см}^3$

3. Начальный объём газовой смеси при н. у. был $V_{исх} = 200 \text{ см}^3$. Объём оставшихся в сосуде газов (непрореагировавший избыток одного из реагентов и азот), приведённый к н. у., равен:
$V_{ост.газа.ну} = V_{исх} - V_{реаг.газов} = 200 \text{ см}^3 - 63 \text{ см}^3 = 137 \text{ см}^3$

4. Давление в сосуде можно найти, используя объединённый газовый закон, учитывая изменение количества вещества газа. Отношение конечного и начального давлений связано с отношением количеств вещества и температур:
$\frac{p_2 V_{сосуда}}{p_1 V_{сосуда}} = \frac{n_{ост} R T_2}{n_{исх} R T_1}$
По закону Авогадро, отношение количеств вещества газов при одинаковых условиях равно отношению их объёмов. Поэтому:
$\frac{n_{ост}}{n_{исх}} = \frac{V_{ост.газа.ну}}{V_{исх}} = \frac{137 \text{ см}^3}{200 \text{ см}^3} = 0,685$
Отсюда выразим конечное давление $p_2$:
$p_2 = p_1 \cdot \frac{n_{ост}}{n_{исх}} \cdot \frac{T_2}{T_1} = 101325 \text{ Па} \cdot \frac{137}{200} \cdot \frac{293,15 \text{ K}}{273,15 \text{ K}} \approx 74501 \text{ Па}$

Ответ: В сосуде установилось давление приблизительно 74,5 кПа.

в) Рассчитайте объёмную долю водорода в исходной газовой смеси.

В условии задачи не указано, какой из реагентов ($H_2$ или $O_2$) находился в избытке. Это приводит к двум возможным решениям.

Случай 1: Кислород был в недостатке (полностью прореагировал).
Если весь исходный кислород прореагировал, то его начальный объём был равен объёму прореагировавшего кислорода:
$V_{исх}(O_2) = V_{реаг}(O_2) = 21 \text{ см}^3$.
Этот кислород входил в состав воздуха. Найдём исходный объём воздуха:
$V_{исх}(\text{воздуха}) = \frac{V_{исх}(O_2)}{\phi(O_2)} = \frac{21 \text{ см}^3}{0,21} = 100 \text{ см}^3$.
Тогда исходный объём водорода равен:
$V_{исх}(H_2) = V_{общ} - V_{исх}(\text{воздуха}) = 200 \text{ см}^3 - 100 \text{ см}^3 = 100 \text{ см}^3$.
Объёмная доля водорода в исходной смеси:
$\phi_{исх}(H_2) = \frac{V_{исх}(H_2)}{V_{общ}} = \frac{100 \text{ см}^3}{200 \text{ см}^3} = 0,5$ или $50\%$.

Случай 2: Водород был в недостатке (полностью прореагировал).
Если весь исходный водород прореагировал, то его начальный объём был равен объёму прореагировавшего водорода:
$V_{исх}(H_2) = V_{реаг}(H_2) = 42 \text{ см}^3$.
Объёмная доля водорода в исходной смеси:
$\phi_{исх}(H_2) = \frac{V_{исх}(H_2)}{V_{общ}} = \frac{42 \text{ см}^3}{200 \text{ см}^3} = 0,21$ или $21\%$.

Так как условие задачи не позволяет однозначно определить, какой из реагентов был в недостатке, существуют два возможных ответа.

Ответ: Объёмная доля водорода в исходной газовой смеси могла составлять 50% (если в недостатке был кислород) или 21% (если в недостатке был водород).

Помогло решение? Оставьте отзыв в комментариях ниже.

Присоединяйтесь к Телеграм-группе @gdz_by_belarus

Присоединиться

Мы подготовили для вас ответ c подробным объяснением домашего задания по химии за 8 класс, для упражнения номер 783 расположенного на странице 138 к сборнику задач 2019 года издания для учащихся школ и гимназий.

Теперь на нашем сайте ГДЗ.ТОП вы всегда легко и бесплатно найдёте условие с правильным ответом на вопрос «Как решить ДЗ» и «Как сделать» задание по химии к упражнению №783 (с. 138), авторов: Хвалюк (Виктор Николаевич), Резяпкин (Виктор Ильич), учебного пособия издательства Адукацыя i выхаванне.