Номер 5, страница 6 - гдз по химии 8 класс сборник контрольных и самостоятельных работ Сеген, Власовец

Химия, 8 класс Сборник контрольных и самостоятельных работ, авторы: Сеген Елена Адамовна, Власовец Евгения Николаевна, Гарбар Елена Евгеньевна, Синявская Тамара Степановна, издательство Аверсэв, Минск, 2019, оранжевого цвета

Авторы: Сеген Е. А., Власовец Е. Н., Гарбар Е. Е., Синявская Т. С.

Тип: Сборник контрольных и самостоятельных работ

Издательство: Аверсэв

Год издания: 2019 - 2026

Цвет обложки: оранжевый с колбой

ISBN: 978-985-19-4532-6

Рекомендовано Научно-методическим учреждением "Национальный институт образования" Министерства образования Республики Беларусь

Популярные ГДЗ в 8 классе

Контрольная работа 1. По теме «Повторение основных вопросов курса химии 7 класса. Количественные понятия в химии». Вариант 3. Вариант 3 - номер 5, страница 6.

№5 (с. 6)
Решение. №5 (с. 6)
Химия, 8 класс Сборник контрольных и самостоятельных работ, авторы: Сеген Елена Адамовна, Власовец Евгения Николаевна, Гарбар Елена Евгеньевна, Синявская Тамара Степановна, издательство Аверсэв, Минск, 2019, оранжевого цвета, страница 6, номер 5, Решение
Решение 2. №5 (с. 6)

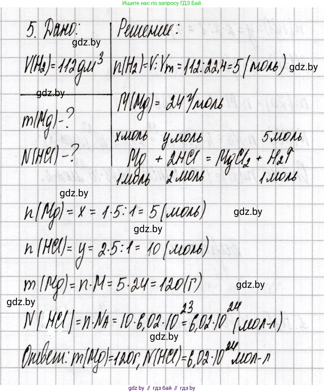
Дано

Объем водорода при нормальных условиях $V(\text{H}_2) = 112 \text{ дм}^3$.

Перевод в систему СИ

Объем водорода $V(\text{H}_2) = 112 \text{ дм}^3 = 0.112 \text{ м}^3$.

Молярный объем газа при нормальных условиях $V_m = 22.4 \text{ дм}^3/\text{моль} = 0.0224 \text{ м}^3/\text{моль}$.

Молярная масса магния $M(\text{Mg}) \approx 24.305 \text{ г/моль} = 0.024305 \text{ кг/моль}$.

Число Авогадро $N_A = 6.022 \times 10^{23} \text{ моль}^{-1}$.

Найти:

Масса прореагировавшего магния $m(\text{Mg})$, г.

Число молекул соляной кислоты $N(\text{HCl})$.

Решение

Напишем уравнение химической реакции взаимодействия магния с соляной кислотой:

$\text{Mg} + 2\text{HCl} \to \text{MgCl}_2 + \text{H}_2$

Из уравнения видно, что 1 моль магния реагирует с 2 молями соляной кислоты, образуя 1 моль водорода.

Сначала найдем количество вещества (число молей) выделившегося водорода. Поскольку объем дан при нормальных условиях (н. у.), используем молярный объем газа при н. у., который равен $22.4 \text{ дм}^3/\text{моль}$:

$n(\text{H}_2) = \frac{V(\text{H}_2)}{V_m}$

$n(\text{H}_2) = \frac{112 \text{ дм}^3}{22.4 \text{ дм}^3/\text{моль}} = 5 \text{ моль}$

массу (г) прореагировавшего магния

Согласно стехиометрии реакции, количество прореагировавшего магния равно количеству выделившегося водорода:

$n(\text{Mg}) = n(\text{H}_2) = 5 \text{ моль}$

Теперь вычислим массу магния, используя его молярную массу $M(\text{Mg}) \approx 24.305 \text{ г/моль}$:

$m(\text{Mg}) = n(\text{Mg}) \times M(\text{Mg})$

$m(\text{Mg}) = 5 \text{ моль} \times 24.305 \text{ г/моль} = 121.525 \text{ г}$

Ответ: $121.525 \text{ г}$

число молекул кислоты, вступивших в реакцию

Согласно стехиометрии реакции, количество прореагировавшей соляной кислоты в два раза больше количества выделившегося водорода:

$n(\text{HCl}) = 2 \times n(\text{H}_2)$

$n(\text{HCl}) = 2 \times 5 \text{ моль} = 10 \text{ моль}$

Теперь вычислим число молекул соляной кислоты, используя число Авогадро $N_A = 6.022 \times 10^{23} \text{ моль}^{-1}$:

$N(\text{HCl}) = n(\text{HCl}) \times N_A$

$N(\text{HCl}) = 10 \text{ моль} \times 6.022 \times 10^{23} \text{ моль}^{-1} = 6.022 \times 10^{24}$

Ответ: $6.022 \times 10^{24}$

Помогло решение? Оставьте отзыв в комментариях ниже.

Присоединяйтесь к Телеграм-группе @gdz_by_belarus

Присоединиться

Мы подготовили для вас ответ c подробным объяснением домашего задания по химии за 8 класс, для упражнения номер 5 расположенного на странице 6 к сборнику контрольных и самостоятельных работ 2019 года издания для учащихся школ и гимназий.

Теперь на нашем сайте ГДЗ.ТОП вы всегда легко и бесплатно найдёте условие с правильным ответом на вопрос «Как решить ДЗ» и «Как сделать» задание по химии к упражнению №5 (с. 6), авторов: Сеген (Елена Адамовна), Власовец (Евгения Николаевна), Гарбар (Елена Евгеньевна), Синявская (Тамара Степановна), учебного пособия издательства Аверсэв.