Номер 5, страница 24 - гдз по химии 8 класс сборник контрольных и самостоятельных работ Сеген, Власовец

Химия, 8 класс Сборник контрольных и самостоятельных работ, авторы: Сеген Елена Адамовна, Власовец Евгения Николаевна, Гарбар Елена Евгеньевна, Синявская Тамара Степановна, издательство Аверсэв, Минск, 2019, оранжевого цвета

Авторы: Сеген Е. А., Власовец Е. Н., Гарбар Е. Е., Синявская Т. С.

Тип: Сборник контрольных и самостоятельных работ

Издательство: Аверсэв

Год издания: 2019 - 2026

Цвет обложки: оранжевый с колбой

ISBN: 978-985-19-4532-6

Рекомендовано Научно-методическим учреждением "Национальный институт образования" Министерства образования Республики Беларусь

Популярные ГДЗ в 8 классе

Самостоятельная работа 2. По теме «Количественные понятия в химии». Вариант 1. Вариант 1 - номер 5, страница 24.

№5 (с. 24)
Решение. №5 (с. 24)
Химия, 8 класс Сборник контрольных и самостоятельных работ, авторы: Сеген Елена Адамовна, Власовец Евгения Николаевна, Гарбар Елена Евгеньевна, Синявская Тамара Степановна, издательство Аверсэв, Минск, 2019, оранжевого цвета, страница 24, номер 5, Решение Химия, 8 класс Сборник контрольных и самостоятельных работ, авторы: Сеген Елена Адамовна, Власовец Евгения Николаевна, Гарбар Елена Евгеньевна, Синявская Тамара Степановна, издательство Аверсэв, Минск, 2019, оранжевого цвета, страница 24, номер 5, Решение (продолжение 2)
Решение 2. №5 (с. 24)

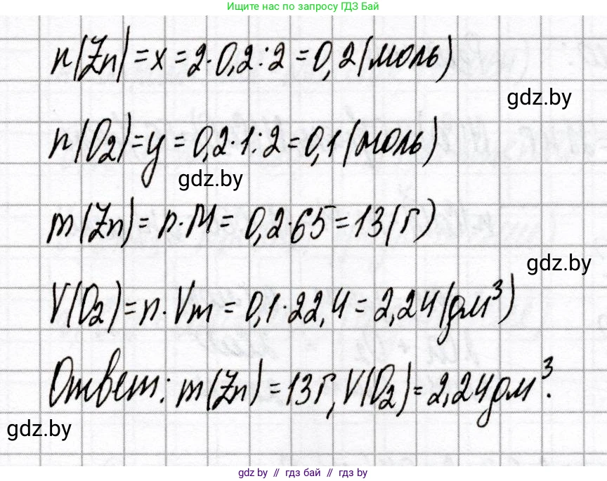
Дано

масса оксида цинка $m(\text{ZnO}) = 16.2 \text{ г}$

Стандартные справочные величины:

молярная масса цинка $M(\text{Zn}) = 65.38 \text{ г/моль}$

молярная масса кислорода $M(\text{O}) = 16.00 \text{ г/моль}$

молярный объем газа при нормальных условиях $V_m = 22.4 \text{ дм}^3/\text{моль}$

Перевод в систему СИ:

масса оксида цинка $m(\text{ZnO}) = 16.2 \text{ г} = 0.0162 \text{ кг}$

молярная масса цинка $M(\text{Zn}) = 65.38 \text{ г/моль} = 0.06538 \text{ кг/моль}$

молярная масса кислорода $M(\text{O}) = 16.00 \text{ г/моль} = 0.01600 \text{ кг/моль}$

молярный объем газа при нормальных условиях $V_m = 22.4 \text{ дм}^3/\text{моль} = 0.0224 \text{ м}^3/\text{моль}$

Найти:

масса цинка $m(\text{Zn}) (\text{г})$

объем кислорода $V(\text{O}_2) (\text{дм}^3)$

Решение

1. Запишем уравнение реакции взаимодействия цинка с кислородом:

$2\text{Zn} + \text{O}_2 \rightarrow 2\text{ZnO}$

2. Рассчитаем молярную массу оксида цинка $M(\text{ZnO})$:

$M(\text{ZnO}) = M(\text{Zn}) + M(\text{O}) = 65.38 \text{ г/моль} + 16.00 \text{ г/моль} = 81.38 \text{ г/моль}$

3. Вычислим количество вещества оксида цинка $n(\text{ZnO})$, образовавшегося в результате реакции:

$n(\text{ZnO}) = \frac{m(\text{ZnO})}{M(\text{ZnO})} = \frac{16.2 \text{ г}}{81.38 \text{ г/моль}} \approx 0.199066 \text{ моль}$

4. Из уравнения реакции видно, что 2 моля цинка взаимодействуют с 1 молем кислорода, образуя 2 моля оксида цинка. Таким образом, количество вещества цинка равно количеству вещества оксида цинка, а количество вещества кислорода в два раза меньше количества вещества оксида цинка:

$n(\text{Zn}) = n(\text{ZnO}) \approx 0.199066 \text{ моль}$

$n(\text{O}_2) = \frac{1}{2} n(\text{ZnO}) = \frac{0.199066 \text{ моль}}{2} \approx 0.099533 \text{ моль}$

5. Рассчитаем массу цинка $m(\text{Zn})$, вступившего в реакцию:

$m(\text{Zn}) = n(\text{Zn}) \times M(\text{Zn}) = 0.199066 \text{ моль} \times 65.38 \text{ г/моль} \approx 13.018 \text{ г}$

Округлим до трех значащих цифр: $m(\text{Zn}) \approx 13.0 \text{ г}$

6. Рассчитаем объем кислорода $V(\text{O}_2)$, вступившего в реакцию при нормальных условиях:

$V(\text{O}_2) = n(\text{O}_2) \times V_m = 0.099533 \text{ моль} \times 22.4 \text{ дм}^3/\text{моль} \approx 2.2295 \text{ дм}^3$

Округлим до трех значащих цифр: $V(\text{O}_2) \approx 2.23 \text{ дм}^3$

Ответ:

масса цинка $m(\text{Zn}) = 13.0 \text{ г}$

объем кислорода $V(\text{O}_2) = 2.23 \text{ дм}^3$

Помогло решение? Оставьте отзыв в комментариях ниже.

Присоединяйтесь к Телеграм-группе @gdz_by_belarus

Присоединиться

Мы подготовили для вас ответ c подробным объяснением домашего задания по химии за 8 класс, для упражнения номер 5 расположенного на странице 24 к сборнику контрольных и самостоятельных работ 2019 года издания для учащихся школ и гимназий.

Теперь на нашем сайте ГДЗ.ТОП вы всегда легко и бесплатно найдёте условие с правильным ответом на вопрос «Как решить ДЗ» и «Как сделать» задание по химии к упражнению №5 (с. 24), авторов: Сеген (Елена Адамовна), Власовец (Евгения Николаевна), Гарбар (Елена Евгеньевна), Синявская (Тамара Степановна), учебного пособия издательства Аверсэв.