Номер 5, страница 27 - гдз по химии 8 класс сборник контрольных и самостоятельных работ Сеген, Власовец

Химия, 8 класс Сборник контрольных и самостоятельных работ, авторы: Сеген Елена Адамовна, Власовец Евгения Николаевна, Гарбар Елена Евгеньевна, Синявская Тамара Степановна, издательство Аверсэв, Минск, 2019, оранжевого цвета

Авторы: Сеген Е. А., Власовец Е. Н., Гарбар Е. Е., Синявская Т. С.

Тип: Сборник контрольных и самостоятельных работ

Издательство: Аверсэв

Год издания: 2019 - 2026

Цвет обложки: оранжевый с колбой

ISBN: 978-985-19-4532-6

Рекомендовано Научно-методическим учреждением "Национальный институт образования" Министерства образования Республики Беларусь

Популярные ГДЗ в 8 классе

Самостоятельная работа 2. По теме «Количественные понятия в химии». Вариант 4. Вариант 4 - номер 5, страница 27.

№5 (с. 27)
Решение. №5 (с. 27)
Химия, 8 класс Сборник контрольных и самостоятельных работ, авторы: Сеген Елена Адамовна, Власовец Евгения Николаевна, Гарбар Елена Евгеньевна, Синявская Тамара Степановна, издательство Аверсэв, Минск, 2019, оранжевого цвета, страница 27, номер 5, Решение
Решение 2. №5 (с. 27)

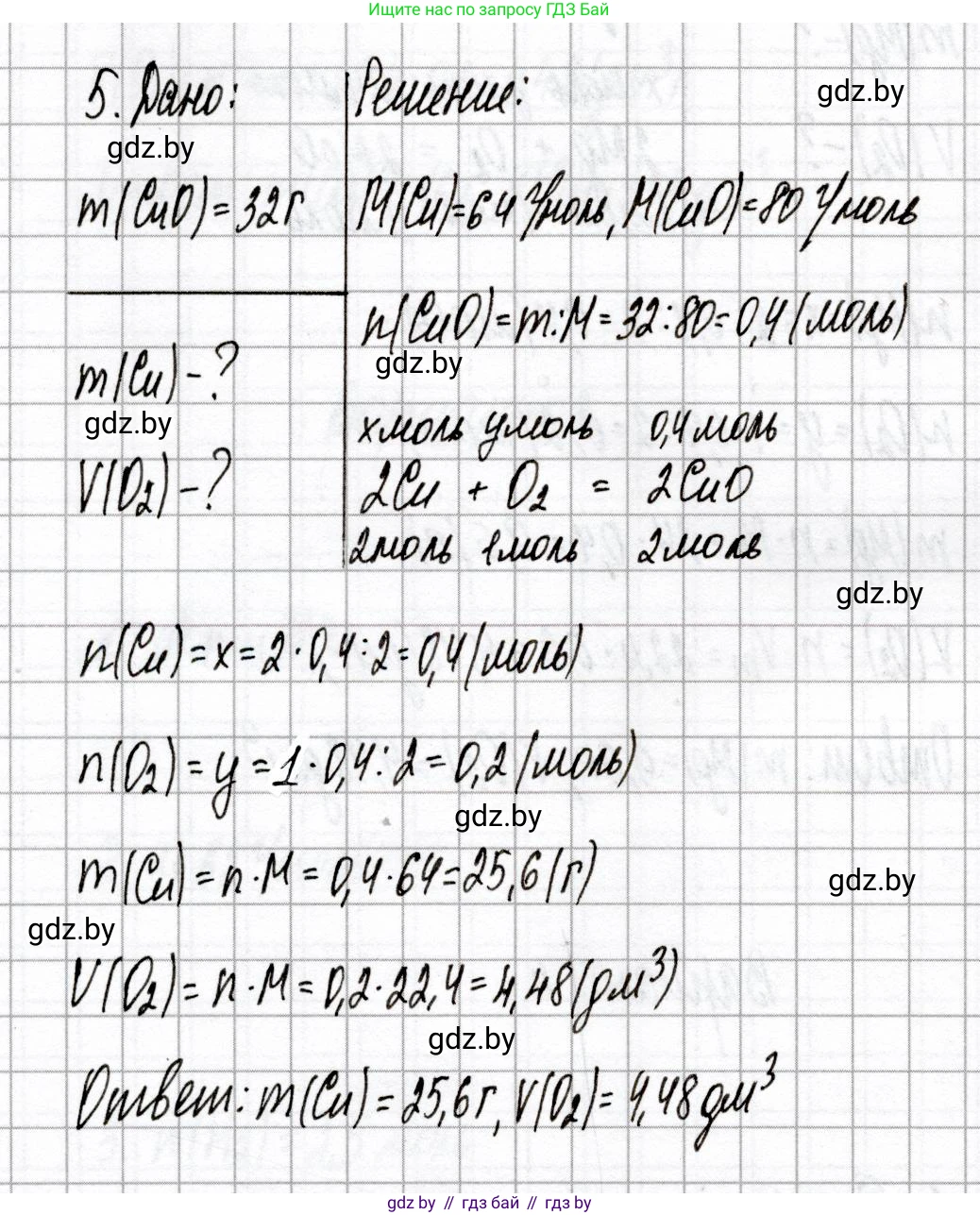
Дано:

$m(CuO) = 32 \text{ г}$

Перевод в СИ:

$m(CuO) = 32 \text{ г} = 0.032 \text{ кг}$

Найти:

$m(Cu) - ?$

$V(O₂) - ?$

Решение:

1. Составим уравнение химической реакции образования оксида меди (II) из меди и кислорода:

$2Cu + O₂ \to 2CuO$

2. Рассчитаем молярные массы веществ, участвующих в реакции:

$M(Cu) = 63.55 \text{ г/моль}$

$M(O) = 16.00 \text{ г/моль}$

$M(O₂) = 2 \cdot M(O) = 2 \cdot 16.00 = 32.00 \text{ г/моль}$

$M(CuO) = M(Cu) + M(O) = 63.55 + 16.00 = 79.55 \text{ г/моль}$

3. Вычислим количество вещества оксида меди (II) ($n(CuO)$), которое образовалось в реакции, используя его массу и молярную массу:

$n(CuO) = \frac{m(CuO)}{M(CuO)} = \frac{32 \text{ г}}{79.55 \text{ г/моль}} \approx 0.40226 \text{ моль}$

4. Согласно стехиометрическим коэффициентам в уравнении реакции ($2Cu + O₂ \to 2CuO$), количество вещества меди ($n(Cu)$) равно количеству вещества оксида меди (II), а количество вещества кислорода ($n(O₂)$) в два раза меньше количества вещества оксида меди (II):

$n(Cu) = n(CuO) \approx 0.40226 \text{ моль}$

$n(O₂) = \frac{1}{2} n(CuO) = \frac{1}{2} \cdot 0.40226 \text{ моль} \approx 0.20113 \text{ моль}$

5. Рассчитаем массу меди ($m(Cu)$), вступившей в реакцию, используя ее количество вещества и молярную массу:

$m(Cu) = n(Cu) \cdot M(Cu) = 0.40226 \text{ моль} \cdot 63.55 \text{ г/моль} \approx 25.56 \text{ г}$

6. Рассчитаем объем кислорода ($V(O₂)$), вступившего в реакцию при нормальных условиях (н. у.). Молярный объем любого газа при нормальных условиях ($V_m$) равен $22.4 \text{ дм³/моль}$:

$V(O₂) = n(O₂) \cdot V_m = 0.20113 \text{ моль} \cdot 22.4 \text{ дм³/моль} \approx 4.51 \text{ дм³}$

Ответ:

Масса (г) меди

Ответ: $25.56 \text{ г}$

Объем (дм³) кислорода (н. у.)

Ответ: $4.51 \text{ дм³}$

Помогло решение? Оставьте отзыв в комментариях ниже.

Присоединяйтесь к Телеграм-группе @gdz_by_belarus

Присоединиться

Мы подготовили для вас ответ c подробным объяснением домашего задания по химии за 8 класс, для упражнения номер 5 расположенного на странице 27 к сборнику контрольных и самостоятельных работ 2019 года издания для учащихся школ и гимназий.

Теперь на нашем сайте ГДЗ.ТОП вы всегда легко и бесплатно найдёте условие с правильным ответом на вопрос «Как решить ДЗ» и «Как сделать» задание по химии к упражнению №5 (с. 27), авторов: Сеген (Елена Адамовна), Власовец (Евгения Николаевна), Гарбар (Елена Евгеньевна), Синявская (Тамара Степановна), учебного пособия издательства Аверсэв.