Номер 4, страница 31 - гдз по химии 8 класс сборник контрольных и самостоятельных работ Сеген, Власовец

Химия, 8 класс Сборник контрольных и самостоятельных работ, авторы: Сеген Елена Адамовна, Власовец Евгения Николаевна, Гарбар Елена Евгеньевна, Синявская Тамара Степановна, издательство Аверсэв, Минск, 2019, оранжевого цвета

Авторы: Сеген Е. А., Власовец Е. Н., Гарбар Е. Е., Синявская Т. С.

Тип: Сборник контрольных и самостоятельных работ

Издательство: Аверсэв

Год издания: 2019 - 2026

Цвет обложки: оранжевый с колбой

ISBN: 978-985-19-4532-6

Рекомендовано Научно-методическим учреждением "Национальный институт образования" Министерства образования Республики Беларусь

Популярные ГДЗ в 8 классе

Самостоятельная работа 3. По теме «Оксиды». Вариант 4. Вариант 4 - номер 4, страница 31.

№4 (с. 31)
Решение. №4 (с. 31)
Химия, 8 класс Сборник контрольных и самостоятельных работ, авторы: Сеген Елена Адамовна, Власовец Евгения Николаевна, Гарбар Елена Евгеньевна, Синявская Тамара Степановна, издательство Аверсэв, Минск, 2019, оранжевого цвета, страница 31, номер 4, Решение
Решение 2. №4 (с. 31)

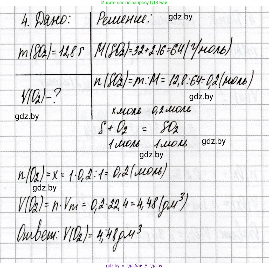
Дано

Масса оксида серы(IV): $m(\text{SO}_2) = 12.8 \, \text{г}$

Нормальные условия (н. у.): молярный объем газа $V_m = 22.4 \, \text{дм}^3/\text{моль}$

Молярная масса серы: $M(\text{S}) = 32.0 \, \text{г}/\text{моль}$

Молярная масса кислорода: $M(\text{O}) = 16.0 \, \text{г}/\text{моль}$

Перевод в СИ:

$m(\text{SO}_2) = 12.8 \, \text{г} = 0.0128 \, \text{кг}$

$V_m = 22.4 \, \text{дм}^3/\text{моль} = 0.0224 \, \text{м}^3/\text{моль}$

$M(\text{S}) = 32.0 \, \text{г}/\text{моль} = 0.032 \, \text{кг}/\text{моль}$

$M(\text{O}) = 16.0 \, \text{г}/\text{моль} = 0.016 \, \text{кг}/\text{моль}$

Найти:

$V(\text{O}_2)$

Решение

1. Запишем уравнение реакции получения оксида серы(IV) из простых веществ:

$ \text{S} + \text{O}_2 \to \text{SO}_2 $

Уравнение реакции уже сбалансировано.

2. Вычислим молярную массу оксида серы(IV) ($ \text{SO}_2 $), используя значения из "Дано" для удобства расчетов в принятых в химии единицах:

$ M(\text{SO}_2) = M(\text{S}) + 2 \cdot M(\text{O}) $

$ M(\text{SO}_2) = 32.0 \, \text{г}/\text{моль} + 2 \cdot 16.0 \, \text{г}/\text{моль} = 32.0 \, \text{г}/\text{моль} + 32.0 \, \text{г}/\text{моль} = 64.0 \, \text{г}/\text{моль} $

3. Вычислим количество вещества $ \text{SO}_2 $ по его массе:

$ n(\text{SO}_2) = \frac{m(\text{SO}_2)}{M(\text{SO}_2)} $

$ n(\text{SO}_2) = \frac{12.8 \, \text{г}}{64.0 \, \text{г}/\text{моль}} = 0.20 \, \text{моль} $

4. По стехиометрии уравнения реакции $ \text{S} + \text{O}_2 \to \text{SO}_2 $ видно, что 1 моль кислорода $ (\text{O}_2) $ расходуется на образование 1 моля оксида серы(IV) $ (\text{SO}_2) $. Следовательно, количество вещества затраченного кислорода равно количеству вещества образовавшегося оксида серы(IV):

$ n(\text{O}_2) = n(\text{SO}_2) = 0.20 \, \text{моль} $

5. Вычислим объем кислорода при нормальных условиях, используя молярный объем $V_m$:

$ V(\text{O}_2) = n(\text{O}_2) \cdot V_m $

$ V(\text{O}_2) = 0.20 \, \text{моль} \cdot 22.4 \, \text{дм}^3/\text{моль} = 4.48 \, \text{дм}^3 $

Ответ: $4.48 \, \text{дм}^3$

Помогло решение? Оставьте отзыв в комментариях ниже.

Присоединяйтесь к Телеграм-группе @gdz_by_belarus

Присоединиться

Мы подготовили для вас ответ c подробным объяснением домашего задания по химии за 8 класс, для упражнения номер 4 расположенного на странице 31 к сборнику контрольных и самостоятельных работ 2019 года издания для учащихся школ и гимназий.

Теперь на нашем сайте ГДЗ.ТОП вы всегда легко и бесплатно найдёте условие с правильным ответом на вопрос «Как решить ДЗ» и «Как сделать» задание по химии к упражнению №4 (с. 31), авторов: Сеген (Елена Адамовна), Власовец (Евгения Николаевна), Гарбар (Елена Евгеньевна), Синявская (Тамара Степановна), учебного пособия издательства Аверсэв.