Номер 5, страница 44 - гдз по химии 8 класс сборник контрольных и самостоятельных работ Сеген, Власовец

Химия, 8 класс Сборник контрольных и самостоятельных работ, авторы: Сеген Елена Адамовна, Власовец Евгения Николаевна, Гарбар Елена Евгеньевна, Синявская Тамара Степановна, издательство Аверсэв, Минск, 2019, оранжевого цвета

Авторы: Сеген Е. А., Власовец Е. Н., Гарбар Е. Е., Синявская Т. С.

Тип: Сборник контрольных и самостоятельных работ

Издательство: Аверсэв

Год издания: 2019 - 2026

Цвет обложки: оранжевый с колбой

ISBN: 978-985-19-4532-6

Рекомендовано Научно-методическим учреждением "Национальный институт образования" Министерства образования Республики Беларусь

Популярные ГДЗ в 8 классе

Самостоятельная работа 7. По теме «Основные классы неорганических соединений». Вариант 1. Вариант 1 - номер 5, страница 44.

№5 (с. 44)
Решение. №5 (с. 44)
Химия, 8 класс Сборник контрольных и самостоятельных работ, авторы: Сеген Елена Адамовна, Власовец Евгения Николаевна, Гарбар Елена Евгеньевна, Синявская Тамара Степановна, издательство Аверсэв, Минск, 2019, оранжевого цвета, страница 44, номер 5, Решение
Решение 2. №5 (с. 44)

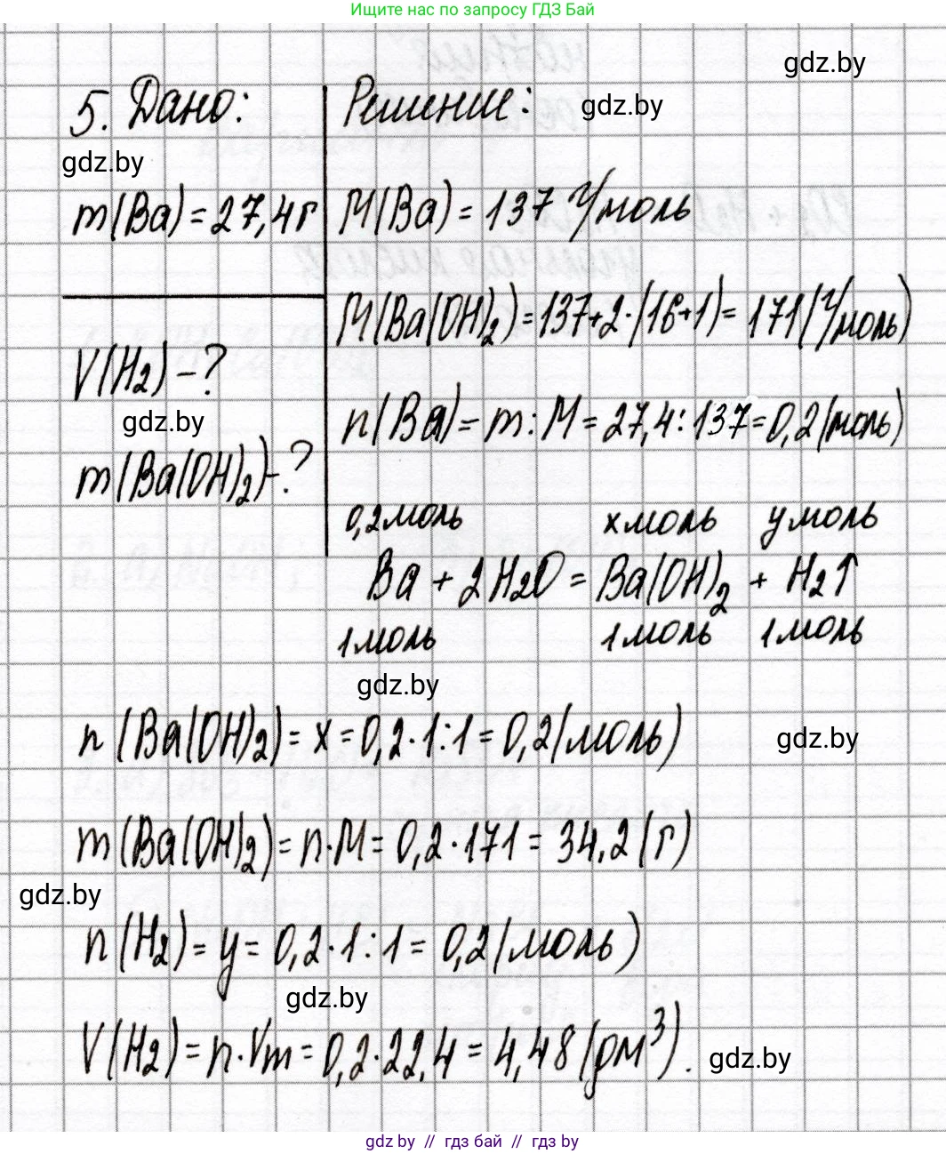
Дано:

Масса бария ($m_{Ba}$) = 27,4 г

Перевод в систему СИ:

Масса бария ($m_{Ba}$) = 27,4 г = 0,0274 кг

Молярная масса бария ($M_{Ba}$) = 137,33 г/моль = 0,13733 кг/моль

Молярная масса водорода ($M_{H_2}$) = 2,016 г/моль = 0,002016 кг/моль

Молярная масса гидроксида бария ($M_{Ba(OH)_2}$) = 171,346 г/моль = 0,171346 кг/моль

Молярный объем газа при н.у. ($V_m$) = 22,4 дм3/моль = 0,0224 м3/моль

Найти:

Объем выделившегося газа ($V_{H_2}$) – ? дм3

Масса второго продукта реакции ($m_{Ba(OH)_2}$) – ? г

Решение:

1. Напишем уравнение реакции взаимодействия бария с водой:

$Ba + 2H_2O \rightarrow Ba(OH)_2 + H_2$

2. Рассчитаем количество вещества бария ($n_{Ba}$), используя его массу ($m_{Ba}$) и молярную массу ($M_{Ba}$):

$n_{Ba} = \frac{m_{Ba}}{M_{Ba}}$

$n_{Ba} = \frac{27,4 \, \text{г}}{137,33 \, \text{г/моль}} \approx 0,199519 \, \text{моль}$

Объем выделившегося газа

Согласно уравнению реакции, 1 моль бария ($Ba$) при взаимодействии с водой образует 1 моль водорода ($H_2$).

Следовательно, количество вещества выделившегося водорода равно количеству вещества бария:

$n_{H_2} = n_{Ba} \approx 0,199519 \, \text{моль}$

Рассчитаем объем водорода ($V_{H_2}$) при нормальных условиях (н. у.), используя молярный объем газа ($V_m = 22,4 \, \text{дм}^3/\text{моль}$):

$V_{H_2} = n_{H_2} \times V_m$

$V_{H_2} = 0,199519 \, \text{моль} \times 22,4 \, \text{дм}^3/\text{моль} \approx 4,4692 \, \text{дм}^3$

Округляем до трех значащих цифр, так как исходная масса бария дана с тремя значащими цифрами:

$V_{H_2} \approx 4,47 \, \text{дм}^3$

Ответ: 4,47 дм3

Масса второго продукта реакции

Вторым продуктом реакции является гидроксид бария ($Ba(OH)_2$).

Согласно уравнению реакции, 1 моль бария ($Ba$) образует 1 моль гидроксида бария ($Ba(OH)_2$).

Следовательно, количество вещества образовавшегося гидроксида бария равно количеству вещества бария:

$n_{Ba(OH)_2} = n_{Ba} \approx 0,199519 \, \text{моль}$

Рассчитаем молярную массу гидроксида бария ($M_{Ba(OH)_2}$):

$M_{Ba(OH)_2} = M_{Ba} + 2 \times M_O + 2 \times M_H$

$M_{Ba(OH)_2} = 137,33 \, \text{г/моль} + 2 \times 16,00 \, \text{г/моль} + 2 \times 1,008 \, \text{г/моль}$

$M_{Ba(OH)_2} = 137,33 + 32,00 + 2,016 = 171,346 \, \text{г/моль}$

Рассчитаем массу гидроксида бария ($m_{Ba(OH)_2}$):

$m_{Ba(OH)_2} = n_{Ba(OH)_2} \times M_{Ba(OH)_2}$

$m_{Ba(OH)_2} = 0,199519 \, \text{моль} \times 171,346 \, \text{г/моль} \approx 34,1887 \, \text{г}$

Округляем до трех значащих цифр:

$m_{Ba(OH)_2} \approx 34,2 \, \text{г}$

Ответ: 34,2 г

Помогло решение? Оставьте отзыв в комментариях ниже.

Присоединяйтесь к Телеграм-группе @gdz_by_belarus

Присоединиться

Мы подготовили для вас ответ c подробным объяснением домашего задания по химии за 8 класс, для упражнения номер 5 расположенного на странице 44 к сборнику контрольных и самостоятельных работ 2019 года издания для учащихся школ и гимназий.

Теперь на нашем сайте ГДЗ.ТОП вы всегда легко и бесплатно найдёте условие с правильным ответом на вопрос «Как решить ДЗ» и «Как сделать» задание по химии к упражнению №5 (с. 44), авторов: Сеген (Елена Адамовна), Власовец (Евгения Николаевна), Гарбар (Елена Евгеньевна), Синявская (Тамара Степановна), учебного пособия издательства Аверсэв.