Номер 5, страница 49 - гдз по химии 8 класс сборник контрольных и самостоятельных работ Сеген, Власовец

Химия, 8 класс Сборник контрольных и самостоятельных работ, авторы: Сеген Елена Адамовна, Власовец Евгения Николаевна, Гарбар Елена Евгеньевна, Синявская Тамара Степановна, издательство Аверсэв, Минск, 2019, оранжевого цвета

Авторы: Сеген Е. А., Власовец Е. Н., Гарбар Е. Е., Синявская Т. С.

Тип: Сборник контрольных и самостоятельных работ

Издательство: Аверсэв

Год издания: 2019 - 2026

Цвет обложки: оранжевый с колбой

ISBN: 978-985-19-4532-6

Рекомендовано Научно-методическим учреждением "Национальный институт образования" Министерства образования Республики Беларусь

Популярные ГДЗ в 8 классе

Самостоятельная работа 8. По теме «Взаимосвязь между основными классами неорганических веществ». Вариант 2. Вариант 2 - номер 5, страница 49.

№5 (с. 49)
Решение. №5 (с. 49)
Химия, 8 класс Сборник контрольных и самостоятельных работ, авторы: Сеген Елена Адамовна, Власовец Евгения Николаевна, Гарбар Елена Евгеньевна, Синявская Тамара Степановна, издательство Аверсэв, Минск, 2019, оранжевого цвета, страница 49, номер 5, Решение
Решение 2. №5 (с. 49)

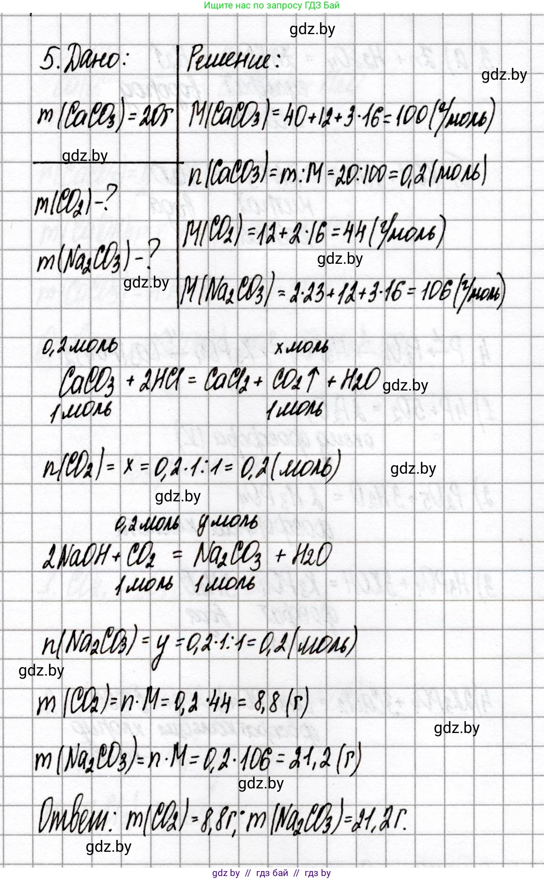
Дано:

масса карбоната кальция $\text{m}(\text{CaCO}_3) = 20 \text{ г}$

Перевод в СИ:

$\text{m}(\text{CaCO}_3) = 20 \text{ г} = 0.02 \text{ кг}$

Найти:

масса оксида углерода(IV) $\text{m}(\text{CO}_2)$

масса карбоната натрия $\text{m}(\text{Na}_2\text{CO}_3)$

Решение:

Для решения задачи составим цепочку превращений и напишем уравнения реакций.

Цепочка превращений: карбонат кальция $\rightarrow$ оксид углерода(IV) $\rightarrow$ карбонат натрия

Молярные массы необходимых веществ (приближенные значения):

$M(\text{Ca}) = 40.08 \text{ г/моль}$

$M(\text{C}) = 12.01 \text{ г/моль}$

$M(\text{O}) = 16.00 \text{ г/моль}$

$M(\text{Na}) = 22.99 \text{ г/моль}$

$M(\text{CaCO}_3) = 40.08 + 12.01 + 3 \cdot 16.00 = 100.09 \text{ г/моль}$

$M(\text{CO}_2) = 12.01 + 2 \cdot 16.00 = 44.01 \text{ г/моль}$

$M(\text{Na}_2\text{CO}_3) = 2 \cdot 22.99 + 12.01 + 3 \cdot 16.00 = 45.98 + 12.01 + 48.00 = 105.99 \text{ г/моль}$

оксид углерода(IV)

Первая стадия превращения: разложение карбоната кальция.

Уравнение реакции:

$\text{CaCO}_3 \xrightarrow{t^\circ} \text{CaO} + \text{CO}_2\uparrow$

Рассчитаем количество вещества карбоната кальция:

$n(\text{CaCO}_3) = \frac{m(\text{CaCO}_3)}{M(\text{CaCO}_3)}$

$n(\text{CaCO}_3) = \frac{20 \text{ г}}{100.09 \text{ г/моль}} \approx 0.19982 \text{ моль}$

Согласно уравнению реакции, 1 моль $\text{CaCO}_3$ при разложении образует 1 моль $\text{CO}_2$.

Следовательно, количество вещества оксида углерода(IV) равно количеству вещества карбоната кальция:

$n(\text{CO}_2) = n(\text{CaCO}_3) \approx 0.19982 \text{ моль}$

Найдем массу оксида углерода(IV):

$m(\text{CO}_2) = n(\text{CO}_2) \cdot M(\text{CO}_2)$

$m(\text{CO}_2) \approx 0.19982 \text{ моль} \cdot 44.01 \text{ г/моль} \approx 8.794 \text{ г}$

Ответ: $\text{m}(\text{CO}_2) \approx 8.79 \text{ г}$

карбонат натрия

Вторая стадия превращения: получение карбоната натрия из оксида углерода(IV).

Обычно оксид углерода(IV) реагирует с гидроксидом натрия для образования карбоната натрия.

Уравнение реакции:

$\text{CO}_2 + 2\text{NaOH} \rightarrow \text{Na}_2\text{CO}_3 + \text{H}_2\text{O}$

Количество вещества $\text{CO}_2$ мы рассчитали в предыдущем пункте: $n(\text{CO}_2) \approx 0.19982 \text{ моль}$.

Согласно уравнению реакции, из 1 моль $\text{CO}_2$ образуется 1 моль $\text{Na}_2\text{CO}_3$.

Следовательно, количество вещества карбоната натрия равно количеству вещества оксида углерода(IV):

$n(\text{Na}_2\text{CO}_3) = n(\text{CO}_2) \approx 0.19982 \text{ моль}$

Найдем массу карбоната натрия:

$m(\text{Na}_2\text{CO}_3) = n(\text{Na}_2\text{CO}_3) \cdot M(\text{Na}_2\text{CO}_3)$

$m(\text{Na}_2\text{CO}_3) \approx 0.19982 \text{ моль} \cdot 105.99 \text{ г/моль} \approx 21.179 \text{ г}$

Ответ: $\text{m}(\text{Na}_2\text{CO}_3) \approx 21.18 \text{ г}$

Помогло решение? Оставьте отзыв в комментариях ниже.

Присоединяйтесь к Телеграм-группе @gdz_by_belarus

Присоединиться

Мы подготовили для вас ответ c подробным объяснением домашего задания по химии за 8 класс, для упражнения номер 5 расположенного на странице 49 к сборнику контрольных и самостоятельных работ 2019 года издания для учащихся школ и гимназий.

Теперь на нашем сайте ГДЗ.ТОП вы всегда легко и бесплатно найдёте условие с правильным ответом на вопрос «Как решить ДЗ» и «Как сделать» задание по химии к упражнению №5 (с. 49), авторов: Сеген (Елена Адамовна), Власовец (Евгения Николаевна), Гарбар (Елена Евгеньевна), Синявская (Тамара Степановна), учебного пособия издательства Аверсэв.