Номер 5, страница 52 - гдз по химии 8 класс сборник контрольных и самостоятельных работ Сеген, Власовец

Химия, 8 класс Сборник контрольных и самостоятельных работ, авторы: Сеген Елена Адамовна, Власовец Евгения Николаевна, Гарбар Елена Евгеньевна, Синявская Тамара Степановна, издательство Аверсэв, Минск, 2019, оранжевого цвета

Авторы: Сеген Е. А., Власовец Е. Н., Гарбар Е. Е., Синявская Т. С.

Тип: Сборник контрольных и самостоятельных работ

Издательство: Аверсэв

Год издания: 2019 - 2026

Цвет обложки: оранжевый с колбой

ISBN: 978-985-19-4532-6

Рекомендовано Научно-методическим учреждением "Национальный институт образования" Министерства образования Республики Беларусь

Популярные ГДЗ в 8 классе

Самостоятельная работа 9. По теме «Систематизация элементов и периодический закон». Вариант 1. Вариант 1 - номер 5, страница 52.

№5 (с. 52)
Решение. №5 (с. 52)
Химия, 8 класс Сборник контрольных и самостоятельных работ, авторы: Сеген Елена Адамовна, Власовец Евгения Николаевна, Гарбар Елена Евгеньевна, Синявская Тамара Степановна, издательство Аверсэв, Минск, 2019, оранжевого цвета, страница 52, номер 5, Решение
Решение 2. №5 (с. 52)

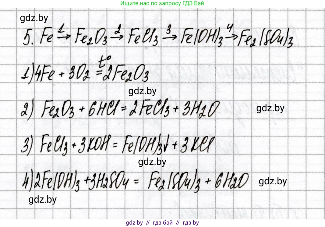
Превращение 1: Fe → Fe₂O₃
Решение
Железо реагирует с кислородом при нагревании, образуя оксид железа(III).
$4Fe + 3O_2 \xrightarrow{t} 2Fe_2O_3$
Ответ:

Превращение 2: Fe₂O₃ → FeCl₃
Решение
Оксид железа(III) реагирует с соляной кислотой, образуя хлорид железа(III) и воду.
$Fe_2O_3 + 6HCl \rightarrow 2FeCl_3 + 3H_2O$
Ответ:

Превращение 3: FeCl₃ → Fe(OH)₃
Решение
Хлорид железа(III) реагирует со щелочью (например, гидроксидом натрия), образуя нерастворимый гидроксид железа(III) и хлорид натрия.
$FeCl_3 + 3NaOH \rightarrow Fe(OH)_3 \downarrow + 3NaCl$
Ответ:

Превращение 4: Fe(OH)₃ → Fe₂(SO₄)₃
Решение
Гидроксид железа(III) реагирует с серной кислотой, образуя сульфат железа(III) и воду.
$2Fe(OH)_3 + 3H_2SO_4 \rightarrow Fe_2(SO_4)_3 + 6H_2O$
Ответ:

Помогло решение? Оставьте отзыв в комментариях ниже.

Присоединяйтесь к Телеграм-группе @gdz_by_belarus

Присоединиться

Мы подготовили для вас ответ c подробным объяснением домашего задания по химии за 8 класс, для упражнения номер 5 расположенного на странице 52 к сборнику контрольных и самостоятельных работ 2019 года издания для учащихся школ и гимназий.

Теперь на нашем сайте ГДЗ.ТОП вы всегда легко и бесплатно найдёте условие с правильным ответом на вопрос «Как решить ДЗ» и «Как сделать» задание по химии к упражнению №5 (с. 52), авторов: Сеген (Елена Адамовна), Власовец (Евгения Николаевна), Гарбар (Елена Евгеньевна), Синявская (Тамара Степановна), учебного пособия издательства Аверсэв.