Номер 25, страница 8 - гдз по алгебре 9 класс учебник Арефьева, Пирютко

Алгебра, 9 класс Учебник, авторы: Арефьева Ирина Глебовна, Пирютко Ольга Николаевна, издательство Народная асвета, Минск, 2019, голубого цвета

Авторы: Арефьева И. Г., Пирютко О. Н.

Тип: Учебник

Издательство: Народная асвета

Год издания: 2019 - 2026

Цвет обложки: голубой, синий с графиком

ISBN: 978-985-03-3077-2

Допущено Министерством образования Республики Беларусь

Популярные ГДЗ в 9 классе

Повторение курса алгебры 7—8-х классов - номер 25, страница 8.

№25 (с. 8)
Условие. №25 (с. 8)
скриншот условия
Алгебра, 9 класс Учебник, авторы: Арефьева Ирина Глебовна, Пирютко Ольга Николаевна, издательство Народная асвета, Минск, 2019, голубого цвета, страница 8, номер 25, Условие

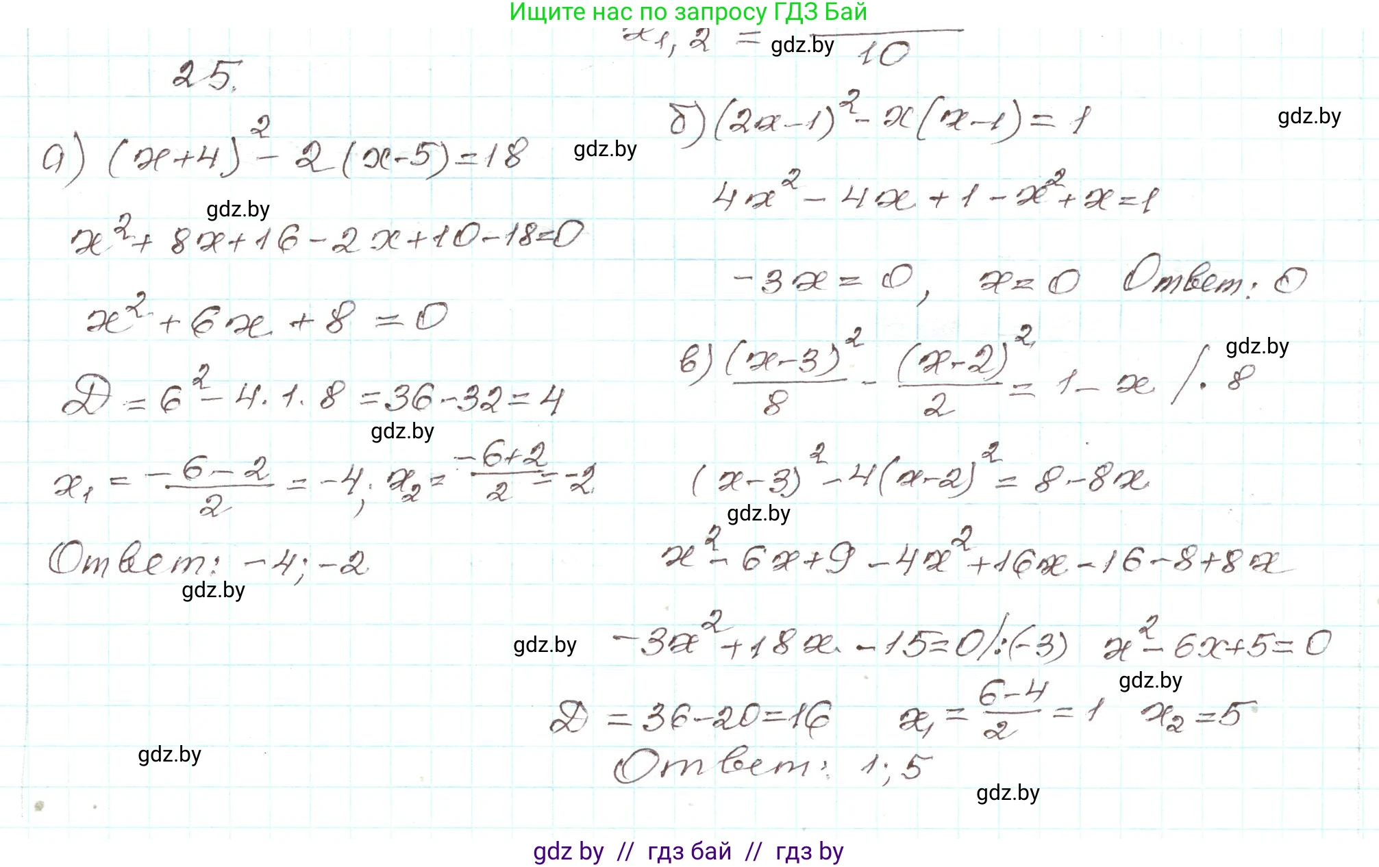
25. Решите уравнение:

a) $(x + 4)^2 - 2(x - 5) = 18;$

б) $(2x - 1)^2 - x(x - 1) = 1;$

в) $\frac{(x - 3)^2}{8} - \frac{(x - 2)^2}{2} = 1 - x.$

Решение. №25 (с. 8)
Алгебра, 9 класс Учебник, авторы: Арефьева Ирина Глебовна, Пирютко Ольга Николаевна, издательство Народная асвета, Минск, 2019, голубого цвета, страница 8, номер 25, Решение
Решение 2. №25 (с. 8)

а) $(x + 4)^2 - 2(x - 5) = 18$

Раскроем скобки в левой части уравнения. Используем формулу квадрата суммы $(a+b)^2 = a^2+2ab+b^2$ и распределительный закон умножения.

$(x^2 + 2 \cdot x \cdot 4 + 4^2) - (2x - 10) = 18$

$x^2 + 8x + 16 - 2x + 10 = 18$

Приведем подобные слагаемые:

$x^2 + (8x - 2x) + (16 + 10) = 18$

$x^2 + 6x + 26 = 18$

Перенесем все члены в левую часть, чтобы получить стандартное квадратное уравнение $ax^2 + bx + c = 0$:

$x^2 + 6x + 26 - 18 = 0$

$x^2 + 6x + 8 = 0$

Решим полученное квадратное уравнение с помощью дискриминанта $D = b^2 - 4ac$:

$D = 6^2 - 4 \cdot 1 \cdot 8 = 36 - 32 = 4$

Найдем корни по формуле $x = \frac{-b \pm \sqrt{D}}{2a}$:

$x_1 = \frac{-6 - \sqrt{4}}{2 \cdot 1} = \frac{-6 - 2}{2} = \frac{-8}{2} = -4$

$x_2 = \frac{-6 + \sqrt{4}}{2 \cdot 1} = \frac{-6 + 2}{2} = \frac{-4}{2} = -2$

Ответ: -4; -2.

б) $(2x - 1)^2 - x(x - 1) = 1$

Раскроем скобки, используя формулу квадрата разности $(a-b)^2 = a^2-2ab+b^2$ и распределительный закон.

$((2x)^2 - 2 \cdot 2x \cdot 1 + 1^2) - (x^2 - x) = 1$

$4x^2 - 4x + 1 - x^2 + x = 1$

Приведем подобные слагаемые:

$(4x^2 - x^2) + (-4x + x) + 1 = 1$

$3x^2 - 3x + 1 = 1$

Перенесем 1 в левую часть:

$3x^2 - 3x + 1 - 1 = 0$

$3x^2 - 3x = 0$

Вынесем общий множитель $3x$ за скобки:

$3x(x - 1) = 0$

Произведение равно нулю, если один из множителей равен нулю:

$3x = 0$ или $x - 1 = 0$

$x_1 = 0$

$x_2 = 1$

Ответ: 0; 1.

в) $\frac{(x - 3)^2}{8} - \frac{(x - 2)^2}{2} = 1 - x$

Умножим обе части уравнения на наименьший общий знаменатель, равный 8, чтобы избавиться от дробей:

$8 \cdot \frac{(x - 3)^2}{8} - 8 \cdot \frac{(x - 2)^2}{2} = 8 \cdot (1 - x)$

$(x - 3)^2 - 4(x - 2)^2 = 8 - 8x$

Раскроем скобки, используя формулы квадрата разности:

$(x^2 - 6x + 9) - 4(x^2 - 4x + 4) = 8 - 8x$

$x^2 - 6x + 9 - 4x^2 + 16x - 16 = 8 - 8x$

Приведем подобные слагаемые в левой части:

$-3x^2 + 10x - 7 = 8 - 8x$

Перенесем все слагаемые в левую часть:

$-3x^2 + 10x - 7 - 8 + 8x = 0$

$-3x^2 + 18x - 15 = 0$

Разделим все члены уравнения на -3 для упрощения:

$x^2 - 6x + 5 = 0$

Решим полученное квадратное уравнение. По теореме Виета, сумма корней равна 6, а их произведение равно 5. Корни уравнения:

$x_1 = 1$

$x_2 = 5$

Ответ: 1; 5.

Помогло решение? Оставьте отзыв в комментариях ниже.

Присоединяйтесь к Телеграм-группе @gdz_by_belarus

Присоединиться

Мы подготовили для вас ответ c подробным объяснением домашего задания по алгебре за 9 класс, для упражнения номер 25 расположенного на странице 8 к учебнику 2019 года издания для учащихся школ и гимназий.

Теперь на нашем сайте ГДЗ.ТОП вы всегда легко и бесплатно найдёте условие с правильным ответом на вопрос «Как решить ДЗ» и «Как сделать» задание по алгебре к упражнению №25 (с. 8), авторов: Арефьева (Ирина Глебовна), Пирютко (Ольга Николаевна), учебного пособия издательства Народная асвета.