Номер 1.14, страница 16 - гдз по алгебре 9 класс учебник Арефьева, Пирютко

Алгебра, 9 класс Учебник, авторы: Арефьева Ирина Глебовна, Пирютко Ольга Николаевна, издательство Народная асвета, Минск, 2019, голубого цвета

Авторы: Арефьева И. Г., Пирютко О. Н.

Тип: Учебник

Издательство: Народная асвета

Год издания: 2019 - 2026

Цвет обложки: голубой, синий с графиком

ISBN: 978-985-03-3077-2

Допущено Министерством образования Республики Беларусь

Популярные ГДЗ в 9 классе

Глава 1. Рациональные выражения. Параграф 1. Рациональная дробь - номер 1.14, страница 16.

№1.14 (с. 16)
Условие. №1.14 (с. 16)
скриншот условия
Алгебра, 9 класс Учебник, авторы: Арефьева Ирина Глебовна, Пирютко Ольга Николаевна, издательство Народная асвета, Минск, 2019, голубого цвета, страница 16, номер 1.14, Условие

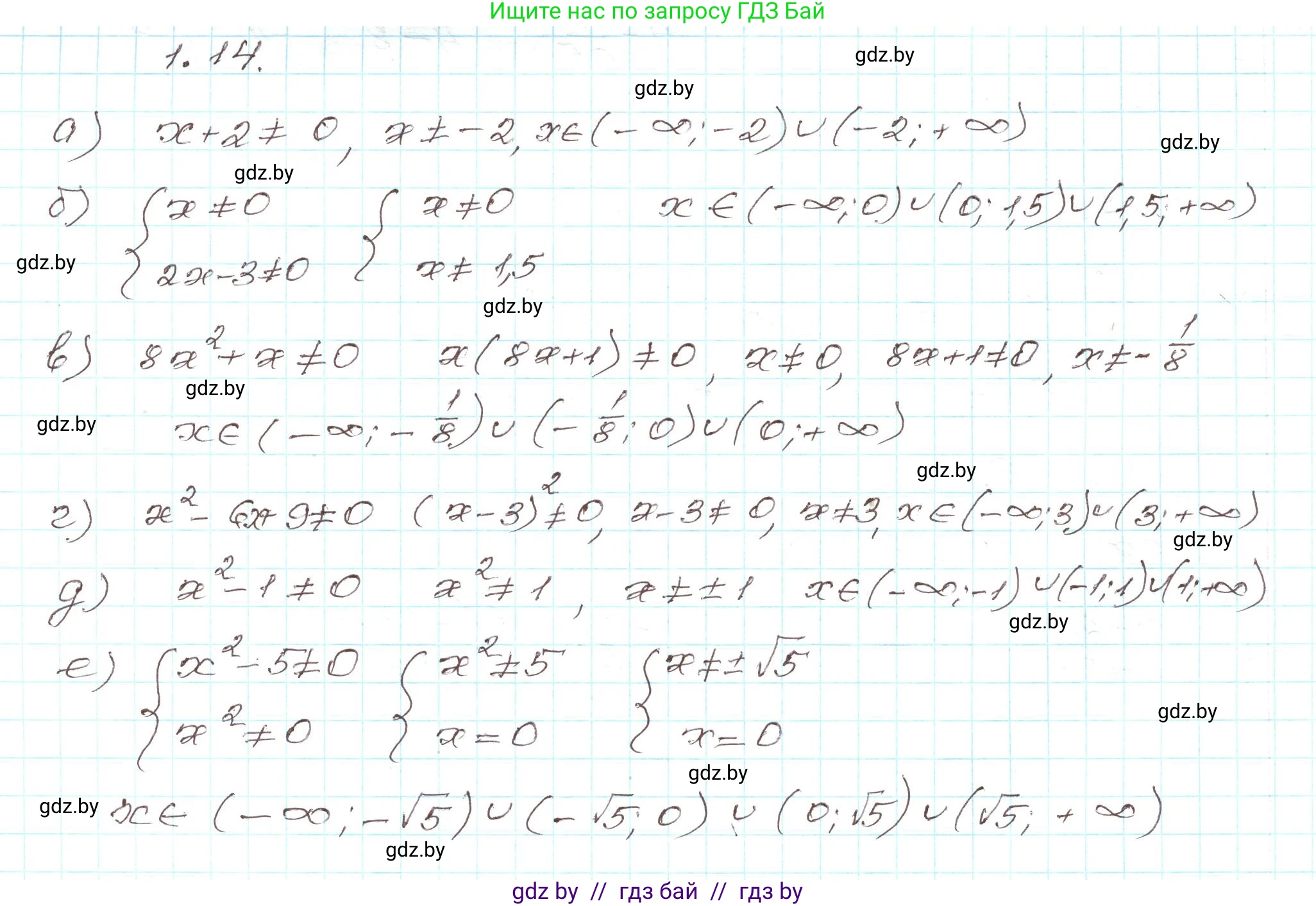
1.14. Найдите область определения выражения:

а) $\frac{3x-1}{x+2}$;

б) $\frac{x-4}{x} + \frac{9x+1}{2x-3}$;

в) $\frac{3}{8x^2+x}$;

г) $\frac{x+4}{x^2-6x+9}$;

д) $\frac{x}{x^2-1} + \frac{x}{9}$;

е) $\frac{7}{x^2-5} + \frac{3}{x^2}$.

Решение. №1.14 (с. 16)
Алгебра, 9 класс Учебник, авторы: Арефьева Ирина Глебовна, Пирютко Ольга Николаевна, издательство Народная асвета, Минск, 2019, голубого цвета, страница 16, номер 1.14, Решение
Решение 2. №1.14 (с. 16)

Область определения выражения - это множество всех значений переменной, при которых данное выражение имеет смысл. Для дробей это означает, что знаменатель не должен быть равен нулю.

а) Дано выражение $\frac{3x-1}{x+2}$.

Это дробное выражение. Оно определено, когда его знаменатель не равен нулю. Найдем значение $x$, при котором знаменатель обращается в ноль:

$x + 2 = 0$

$x = -2$

Следовательно, область определения выражения — это все действительные числа, кроме $-2$.

Ответ: все числа, кроме $-2$.

б) Дано выражение $\frac{x-4}{x} + \frac{9x+1}{2x-3}$.

Это сумма двух дробей. Выражение определено, когда знаменатели обеих дробей не равны нулю. Рассмотрим каждый знаменатель отдельно:

1. Знаменатель первой дроби: $x \neq 0$.

2. Знаменатель второй дроби: $2x - 3 \neq 0$.

$2x \neq 3$

$x \neq \frac{3}{2}$

Представим неправильную дробь $\frac{3}{2}$ в виде смешанного числа: $\frac{3}{2} = 1\frac{1}{2}$.

Таким образом, область определения — это все действительные числа, кроме $0$ и $1\frac{1}{2}$.

Ответ: все числа, кроме $0$ и $\mathbf{1}\frac{1}{2}$.

в) Дано выражение $\frac{3}{8x^2+x}$.

Знаменатель дроби не должен равняться нулю. Найдем значения $x$, при которых он равен нулю:

$8x^2 + x = 0$

Вынесем общий множитель $x$ за скобки:

$x(8x + 1) = 0$

Произведение равно нулю, если хотя бы один из множителей равен нулю:

$x = 0$ или $8x + 1 = 0$

$8x = -1$

$x = -\frac{1}{8}$

Следовательно, область определения — это все действительные числа, кроме $0$ и $-\frac{1}{8}$.

Ответ: все числа, кроме $0$ и $-\frac{1}{8}$.

г) Дано выражение $\frac{x+4}{x^2-6x+9}$.

Знаменатель дроби не должен быть равен нулю. Найдем значения $x$, при которых знаменатель обращается в ноль:

$x^2 - 6x + 9 = 0$

Выражение в знаменателе является полным квадратом разности $(a-b)^2 = a^2-2ab+b^2$:

$(x-3)^2 = 0$

$x - 3 = 0$

$x = 3$

Таким образом, область определения — это все действительные числа, кроме $3$.

Ответ: все числа, кроме $3$.

д) Дано выражение $\frac{x}{x^2-1} + \frac{x}{9}$.

Это сумма двух дробей. Знаменатель второй дроби $9$ является константой и не равен нулю, поэтому второе слагаемое определено для всех $x$. Ограничения накладывает только первая дробь.

Знаменатель первой дроби не должен быть равен нулю:

$x^2 - 1 \neq 0$

Используем формулу разности квадратов $a^2-b^2=(a-b)(a+b)$:

$(x - 1)(x + 1) \neq 0$

Это означает, что ни один из множителей не равен нулю:

$x - 1 \neq 0 \implies x \neq 1$

$x + 1 \neq 0 \implies x \neq -1$

Область определения — все действительные числа, кроме $-1$ и $1$.

Ответ: все числа, кроме $-1$ и $1$.

е) Дано выражение $\frac{7}{x^2-5} + \frac{3}{x^2}$.

Выражение является суммой двух дробей, поэтому необходимо, чтобы оба знаменателя были не равны нулю.

1. Знаменатель первой дроби: $x^2 - 5 \neq 0$.

$x^2 \neq 5$

$x \neq \sqrt{5}$ и $x \neq -\sqrt{5}$.

2. Знаменатель второй дроби: $x^2 \neq 0$.

$x \neq 0$.

Объединяя все условия, получаем, что область определения — это все действительные числа, кроме $-\sqrt{5}$, $0$ и $\sqrt{5}$.

Ответ: все числа, кроме $-\sqrt{5}$, $0$ и $\sqrt{5}$.

Помогло решение? Оставьте отзыв в комментариях ниже.

Присоединяйтесь к Телеграм-группе @gdz_by_belarus

Присоединиться

Мы подготовили для вас ответ c подробным объяснением домашего задания по алгебре за 9 класс, для упражнения номер 1.14 расположенного на странице 16 к учебнику 2019 года издания для учащихся школ и гимназий.

Теперь на нашем сайте ГДЗ.ТОП вы всегда легко и бесплатно найдёте условие с правильным ответом на вопрос «Как решить ДЗ» и «Как сделать» задание по алгебре к упражнению №1.14 (с. 16), авторов: Арефьева (Ирина Глебовна), Пирютко (Ольга Николаевна), учебного пособия издательства Народная асвета.