Номер 1.145, страница 45 - гдз по алгебре 9 класс учебник Арефьева, Пирютко

Алгебра, 9 класс Учебник, авторы: Арефьева Ирина Глебовна, Пирютко Ольга Николаевна, издательство Народная асвета, Минск, 2019, голубого цвета

Авторы: Арефьева И. Г., Пирютко О. Н.

Тип: Учебник

Издательство: Народная асвета

Год издания: 2019 - 2026

Цвет обложки: голубой, синий с графиком

ISBN: 978-985-03-3077-2

Допущено Министерством образования Республики Беларусь

Популярные ГДЗ в 9 классе

Глава 1. Рациональные выражения. Параграф 3. Сложение и вычитание рациональных дробей - номер 1.145, страница 45.

№1.145 (с. 45)
Условие. №1.145 (с. 45)
скриншот условия
Алгебра, 9 класс Учебник, авторы: Арефьева Ирина Глебовна, Пирютко Ольга Николаевна, издательство Народная асвета, Минск, 2019, голубого цвета, страница 45, номер 1.145, Условие

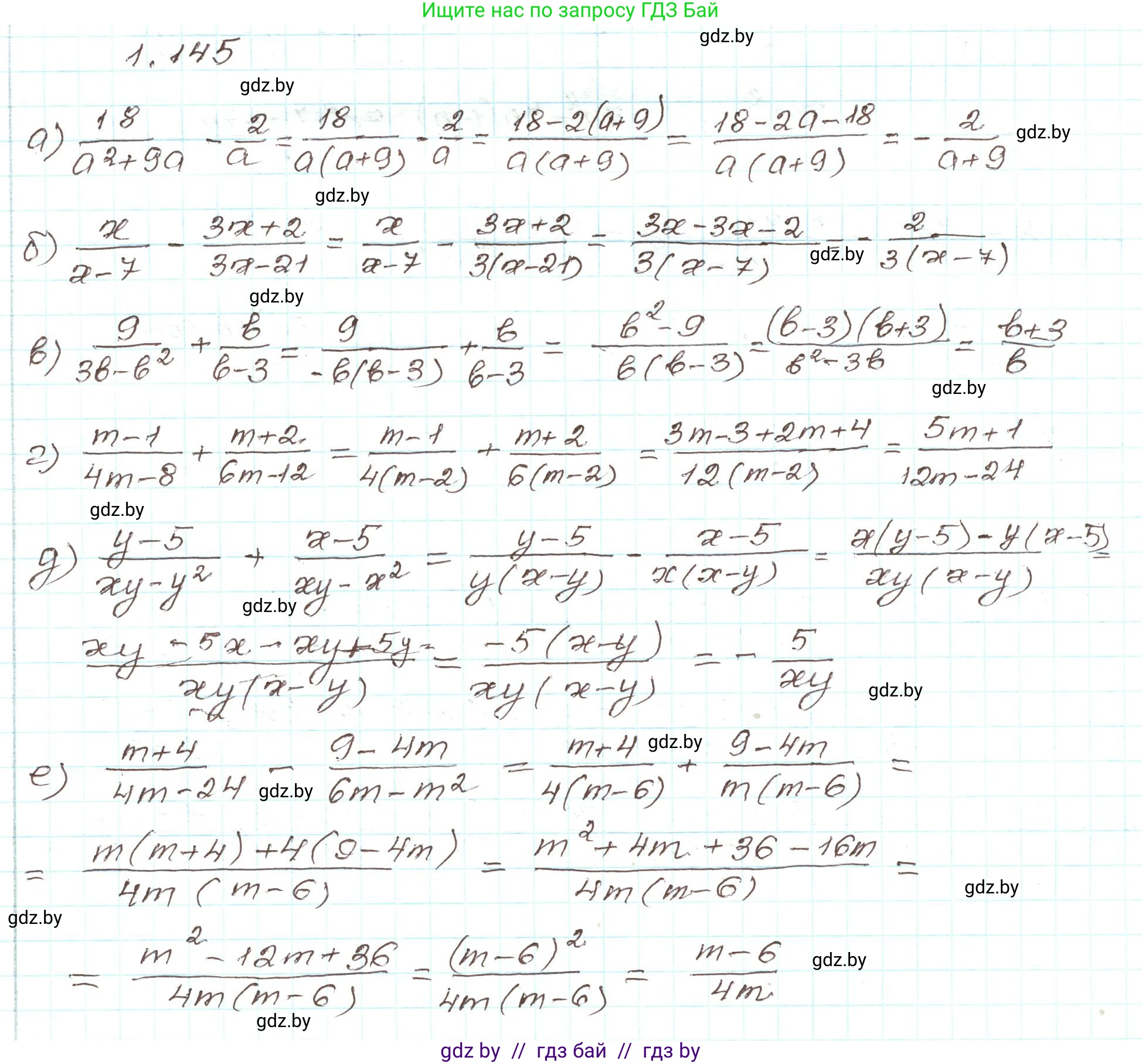
1.145. Упростите выражение:

a) $\frac{18}{a^2 + 9a} - \frac{2}{a}$;

б) $\frac{x}{x-7} - \frac{3x+2}{3x-21}$;

в) $\frac{9}{3b-b^2} + \frac{b}{b-3}$;

г) $\frac{m-1}{4m-8} + \frac{m+2}{6m-12}$;

д) $\frac{y-5}{xy-y^2} + \frac{x-5}{xy-x^2}$;

е) $\frac{m+4}{4m-24} - \frac{9-4m}{6m-m^2}$;

Решение. №1.145 (с. 45)
Алгебра, 9 класс Учебник, авторы: Арефьева Ирина Глебовна, Пирютко Ольга Николаевна, издательство Народная асвета, Минск, 2019, голубого цвета, страница 45, номер 1.145, Решение
Решение 2. №1.145 (с. 45)

а) Для того чтобы упростить выражение $\frac{18}{a^2+9a} - \frac{2}{a}$, сначала разложим знаменатели на множители и найдем общий знаменатель.

Знаменатель первой дроби: $a^2+9a = a(a+9)$.
Знаменатель второй дроби: $a$.

Общий знаменатель: $a(a+9)$.

Приведем дроби к общему знаменателю. Вторую дробь домножим на $(a+9)$: $$ \frac{18}{a(a+9)} - \frac{2(a+9)}{a(a+9)} $$

Выполним вычитание дробей: $$ \frac{18 - 2(a+9)}{a(a+9)} = \frac{18 - 2a - 18}{a(a+9)} = \frac{-2a}{a(a+9)} $$

Сократим дробь на $a$ (при условии, что $a \neq 0$): $$ \frac{-2\cancel{a}}{\cancel{a}(a+9)} = \frac{-2}{a+9} $$ Ответ: $\frac{-2}{a+9}$

б) Упростим выражение $\frac{x}{x-7} - \frac{3x+2}{3x-21}$.
Разложим знаменатель второй дроби на множители: $3x-21 = 3(x-7)$.

Общий знаменатель: $3(x-7)$.

Приведем первую дробь к общему знаменателю, домножив числитель и знаменатель на 3: $$ \frac{3x}{3(x-7)} - \frac{3x+2}{3(x-7)} $$

Выполним вычитание: $$ \frac{3x - (3x+2)}{3(x-7)} = \frac{3x - 3x - 2}{3(x-7)} = \frac{-2}{3(x-7)} $$ Ответ: $\frac{-2}{3(x-7)}$

в) Упростим выражение $\frac{9}{3b-b^2} + \frac{b}{b-3}$.
Разложим знаменатель первой дроби: $3b-b^2 = b(3-b) = -b(b-3)$.

Перепишем выражение: $$ \frac{9}{-b(b-3)} + \frac{b}{b-3} = -\frac{9}{b(b-3)} + \frac{b}{b-3} $$

Общий знаменатель: $b(b-3)$.
Приведем вторую дробь к общему знаменателю, домножив ее на $b$: $$ -\frac{9}{b(b-3)} + \frac{b \cdot b}{b(b-3)} = \frac{-9+b^2}{b(b-3)} = \frac{b^2-9}{b(b-3)} $$

Разложим числитель по формуле разности квадратов $b^2-9 = (b-3)(b+3)$: $$ \frac{(b-3)(b+3)}{b(b-3)} $$

Сократим дробь на $(b-3)$: $$ \frac{b+3}{b} $$

Так как степень числителя равна степени знаменателя, это неправильная рациональная дробь. Выделим целую часть: $$ \frac{b+3}{b} = \frac{b}{b} + \frac{3}{b} = 1 + \frac{3}{b} $$ Ответ: 1$+\frac{3}{b}$

г) Упростим выражение $\frac{m-1}{4m-8} + \frac{m+2}{6m-12}$.
Разложим знаменатели на множители: $4m-8 = 4(m-2)$
$6m-12 = 6(m-2)$

Наименьший общий знаменатель: НОК(4, 6) = 12, значит общий знаменатель равен $12(m-2)$.

Приведем дроби к общему знаменателю. Дополнительный множитель для первой дроби - 3, для второй - 2: $$ \frac{3(m-1)}{12(m-2)} + \frac{2(m+2)}{12(m-2)} $$

Выполним сложение: $$ \frac{3(m-1) + 2(m+2)}{12(m-2)} = \frac{3m-3 + 2m+4}{12(m-2)} = \frac{5m+1}{12(m-2)} $$ Ответ: $\frac{5m+1}{12(m-2)}$

д) Упростим выражение $\frac{y-5}{xy-y^2} + \frac{x-5}{xy-x^2}$.
Разложим знаменатели на множители: $xy-y^2 = y(x-y)$
$xy-x^2 = x(y-x) = -x(x-y)$

Перепишем выражение: $$ \frac{y-5}{y(x-y)} - \frac{x-5}{x(x-y)} $$

Общий знаменатель: $xy(x-y)$.
Приведем дроби к общему знаменателю: $$ \frac{x(y-5)}{xy(x-y)} - \frac{y(x-5)}{xy(x-y)} $$

Выполним вычитание: $$ \frac{x(y-5) - y(x-5)}{xy(x-y)} = \frac{xy-5x - (xy-5y)}{xy(x-y)} = \frac{xy-5x-xy+5y}{xy(x-y)} = \frac{5y-5x}{xy(x-y)} $$

Вынесем общий множитель в числителе: $$ \frac{5(y-x)}{xy(x-y)} = \frac{-5(x-y)}{xy(x-y)} $$

Сократим дробь на $(x-y)$: $$ \frac{-5}{xy} $$ Ответ: $-\frac{5}{xy}$

е) Упростим выражение $\frac{m+4}{4m-24} - \frac{9-4m}{6m-m^2}$.
Разложим знаменатели на множители: $4m-24 = 4(m-6)$
$6m-m^2 = m(6-m) = -m(m-6)$

Перепишем выражение: $$ \frac{m+4}{4(m-6)} - \frac{9-4m}{-m(m-6)} = \frac{m+4}{4(m-6)} + \frac{9-4m}{m(m-6)} $$

Общий знаменатель: $4m(m-6)$.
Приведем дроби к общему знаменателю: $$ \frac{m(m+4)}{4m(m-6)} + \frac{4(9-4m)}{4m(m-6)} $$

Выполним сложение: $$ \frac{m(m+4)+4(9-4m)}{4m(m-6)} = \frac{m^2+4m+36-16m}{4m(m-6)} = \frac{m^2-12m+36}{4m(m-6)} $$

Числитель является полным квадратом: $m^2-12m+36 = (m-6)^2$. $$ \frac{(m-6)^2}{4m(m-6)} $$

Сократим дробь на $(m-6)$: $$ \frac{m-6}{4m} $$ Ответ: $\frac{m-6}{4m}$

Помогло решение? Оставьте отзыв в комментариях ниже.

Присоединяйтесь к Телеграм-группе @gdz_by_belarus

Присоединиться

Мы подготовили для вас ответ c подробным объяснением домашего задания по алгебре за 9 класс, для упражнения номер 1.145 расположенного на странице 45 к учебнику 2019 года издания для учащихся школ и гимназий.

Теперь на нашем сайте ГДЗ.ТОП вы всегда легко и бесплатно найдёте условие с правильным ответом на вопрос «Как решить ДЗ» и «Как сделать» задание по алгебре к упражнению №1.145 (с. 45), авторов: Арефьева (Ирина Глебовна), Пирютко (Ольга Николаевна), учебного пособия издательства Народная асвета.