Номер 1.257, страница 70 - гдз по алгебре 9 класс учебник Арефьева, Пирютко

Алгебра, 9 класс Учебник, авторы: Арефьева Ирина Глебовна, Пирютко Ольга Николаевна, издательство Народная асвета, Минск, 2019, голубого цвета

Авторы: Арефьева И. Г., Пирютко О. Н.

Тип: Учебник

Издательство: Народная асвета

Год издания: 2019 - 2026

Цвет обложки: голубой, синий с графиком

ISBN: 978-985-03-3077-2

Допущено Министерством образования Республики Беларусь

Популярные ГДЗ в 9 классе

Глава 1. Рациональные выражения. Параграф 5. Преобразования рациональных выражений - номер 1.257, страница 70.

№1.257 (с. 70)
Условие. №1.257 (с. 70)
скриншот условия
Алгебра, 9 класс Учебник, авторы: Арефьева Ирина Глебовна, Пирютко Ольга Николаевна, издательство Народная асвета, Минск, 2019, голубого цвета, страница 70, номер 1.257, Условие

1.257*. Представьте выражение в виде рациональной дроби:

a) $\frac{1 - \frac{4}{m}}{\frac{8m - 16}{m} - m}$;

б) $\frac{t - 2 + \frac{1}{t}}{t + \frac{3}{t} - 4}$.

Решение. №1.257 (с. 70)
Алгебра, 9 класс Учебник, авторы: Арефьева Ирина Глебовна, Пирютко Ольга Николаевна, издательство Народная асвета, Минск, 2019, голубого цвета, страница 70, номер 1.257, Решение
Решение 2. №1.257 (с. 70)

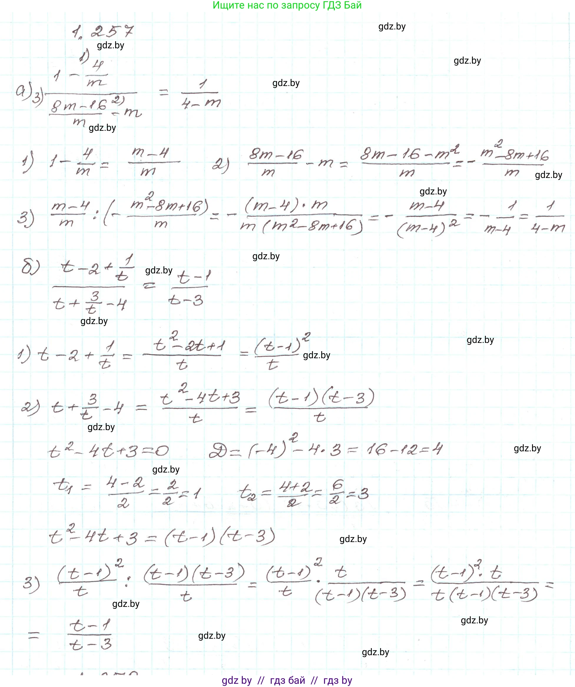
a) Преобразуем исходное выражение $ \frac{1-\frac{4}{m}}{\frac{8m-16}{m}-m} $ по шагам.

  1. Упростим числитель, приведя его к общему знаменателю $m$:
    $ 1 - \frac{4}{m} = \frac{m}{m} - \frac{4}{m} = \frac{m-4}{m} $
  2. Упростим знаменатель, также приведя к общему знаменателю $m$:
    $ \frac{8m-16}{m} - m = \frac{8m-16}{m} - \frac{m^2}{m} = \frac{8m-16-m^2}{m} $
    Вынесем знак минуса и воспользуемся формулой квадрата разности: $ \frac{-(m^2 - 8m + 16)}{m} = \frac{-(m-4)^2}{m} $
  3. Разделим упрощенный числитель на упрощенный знаменатель. Деление дробей заменяется умножением на обратную дробь:
    $ \frac{\frac{m-4}{m}}{\frac{-(m-4)^2}{m}} = \frac{m-4}{m} \cdot \frac{m}{-(m-4)^2} $
  4. Сократим общие множители $m$ и $(m-4)$:
    $ \frac{1}{-(m-4)} = \frac{1}{4-m} $

Полученная дробь $ \frac{1}{4-m} $ является правильной, так как степень числителя (0) меньше степени знаменателя (1). Целая часть такой дроби равна 0.

Ответ: $ \frac{1}{4-m} $

б) Преобразуем исходное выражение $ \frac{t-2+\frac{1}{t}}{t+\frac{3}{t}-4} $ по шагам.

  1. Упростим числитель, приведя его к общему знаменателю $t$ и применив формулу квадрата разности:
    $ t-2+\frac{1}{t} = \frac{t^2 - 2t + 1}{t} = \frac{(t-1)^2}{t} $
  2. Упростим знаменатель, приведя к общему знаменателю $t$ и разложив числитель на множители:
    $ t+\frac{3}{t}-4 = \frac{t^2 - 4t + 3}{t} = \frac{(t-1)(t-3)}{t} $
  3. Разделим упрощенный числитель на упрощенный знаменатель:
    $ \frac{\frac{(t-1)^2}{t}}{\frac{(t-1)(t-3)}{t}} = \frac{(t-1)^2}{t} \cdot \frac{t}{(t-1)(t-3)} $
  4. Сократим общие множители $t$ и $(t-1)$:
    $ \frac{t-1}{t-3} $

Полученная дробь $ \frac{t-1}{t-3} $ является неправильной, так как степень числителя (1) равна степени знаменателя (1). Выделим целую часть:

$ \frac{t-1}{t-3} = \frac{(t-3)+2}{t-3} = \frac{t-3}{t-3} + \frac{2}{t-3} = 1 + \frac{2}{t-3} $

Ответ: $1 + \frac{2}{t-3}$

Помогло решение? Оставьте отзыв в комментариях ниже.

Присоединяйтесь к Телеграм-группе @gdz_by_belarus

Присоединиться

Мы подготовили для вас ответ c подробным объяснением домашего задания по алгебре за 9 класс, для упражнения номер 1.257 расположенного на странице 70 к учебнику 2019 года издания для учащихся школ и гимназий.

Теперь на нашем сайте ГДЗ.ТОП вы всегда легко и бесплатно найдёте условие с правильным ответом на вопрос «Как решить ДЗ» и «Как сделать» задание по алгебре к упражнению №1.257 (с. 70), авторов: Арефьева (Ирина Глебовна), Пирютко (Ольга Николаевна), учебного пособия издательства Народная асвета.