Номер 1.3, страница 10 - гдз по алгебре 9 класс учебник Арефьева, Пирютко

Алгебра, 9 класс Учебник, авторы: Арефьева Ирина Глебовна, Пирютко Ольга Николаевна, издательство Народная асвета, Минск, 2019, голубого цвета

Авторы: Арефьева И. Г., Пирютко О. Н.

Тип: Учебник

Издательство: Народная асвета

Год издания: 2019 - 2026

Цвет обложки: голубой, синий с графиком

ISBN: 978-985-03-3077-2

Допущено Министерством образования Республики Беларусь

Популярные ГДЗ в 9 классе

Глава 1. Рациональные выражения. Параграф 1. Рациональная дробь - номер 1.3, страница 10.

№1.3 (с. 10)
Условие. №1.3 (с. 10)
скриншот условия
Алгебра, 9 класс Учебник, авторы: Арефьева Ирина Глебовна, Пирютко Ольга Николаевна, издательство Народная асвета, Минск, 2019, голубого цвета, страница 10, номер 1.3, Условие

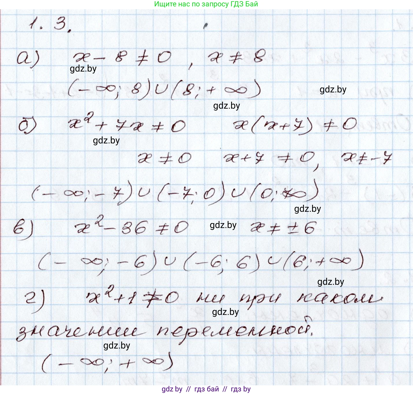
1.3. Найдите область определения выражения:

а) $3:(x-8)$;

б) $5:(x^2 + 7x)$;

в) $(2x-1):(x^2 - 36)$;

г) $2:(x^2 + 1)$.

Решение. №1.3 (с. 10)
Алгебра, 9 класс Учебник, авторы: Арефьева Ирина Глебовна, Пирютко Ольга Николаевна, издательство Народная асвета, Минск, 2019, голубого цвета, страница 10, номер 1.3, Решение
Решение 2. №1.3 (с. 10)

Область определения выражения (или область допустимых значений) — это множество всех значений переменной, при которых данное выражение имеет смысл. Во всех представленных случаях мы имеем дело с делением. Основное ограничение для операции деления заключается в том, что делитель не может быть равен нулю.

а) $3:(x-8)$;

Данное выражение представляет собой деление. Чтобы оно имело смысл, делитель не должен равняться нулю:

$x - 8 \neq 0$

Отсюда получаем:

$x \neq 8$

Ответ: все действительные числа, кроме 8. (В виде интервалов: $x \in (-\infty; 8) \cup (8; +\infty)$).

б) $5:(x^2+7x)$;

Делитель $x^2+7x$ не должен быть равен нулю. Найдем значения $x$, при которых он равен нулю, чтобы исключить их из области определения:

$x^2 + 7x = 0$

Вынесем общий множитель $x$ за скобки:

$x(x + 7) = 0$

Произведение равно нулю, если один из множителей равен нулю:

$x = 0$ или $x + 7 = 0 \implies x = -7$

Ответ: все действительные числа, кроме -7 и 0. (В виде интервалов: $x \in (-\infty; -7) \cup (-7; 0) \cup (0; +\infty)$).

в) $(2x-1):(x^2-36)$;

Делитель $x^2-36$ не должен быть равен нулю. Найдем недопустимые значения $x$:

$x^2 - 36 = 0$

Используем формулу разности квадратов:

$(x-6)(x+6) = 0$

Отсюда находим корни:

$x_1=6$, $x_2=-6$

Ответ: все действительные числа, кроме -6 и 6. (В виде интервалов: $x \in (-\infty; -6) \cup (-6; 6) \cup (6; +\infty)$).

г) $2:(x^2+1)$.

Делитель $x^2+1$ не должен быть равен нулю. Рассмотрим уравнение $x^2+1=0$:

$x^2 = -1$

Квадрат любого действительного числа $x$ неотрицателен ($x^2 \ge 0$). Следовательно, уравнение $x^2 = -1$ не имеет решений в действительных числах.

Это означает, что делитель $x^2+1$ никогда не обращается в нуль. Он всегда положителен (точнее, $x^2+1 \ge 1$).

Ответ: все действительные числа. (В виде интервала: $x \in (-\infty; +\infty)$).

Помогло решение? Оставьте отзыв в комментариях ниже.

Присоединяйтесь к Телеграм-группе @gdz_by_belarus

Присоединиться

Мы подготовили для вас ответ c подробным объяснением домашего задания по алгебре за 9 класс, для упражнения номер 1.3 расположенного на странице 10 к учебнику 2019 года издания для учащихся школ и гимназий.

Теперь на нашем сайте ГДЗ.ТОП вы всегда легко и бесплатно найдёте условие с правильным ответом на вопрос «Как решить ДЗ» и «Как сделать» задание по алгебре к упражнению №1.3 (с. 10), авторов: Арефьева (Ирина Глебовна), Пирютко (Ольга Николаевна), учебного пособия издательства Народная асвета.