Номер 1.33, страница 25 - гдз по алгебре 9 класс учебник Арефьева, Пирютко

Алгебра, 9 класс Учебник, авторы: Арефьева Ирина Глебовна, Пирютко Ольга Николаевна, издательство Народная асвета, Минск, 2019, голубого цвета

Авторы: Арефьева И. Г., Пирютко О. Н.

Тип: Учебник

Издательство: Народная асвета

Год издания: 2019 - 2026

Цвет обложки: голубой, синий с графиком

ISBN: 978-985-03-3077-2

Допущено Министерством образования Республики Беларусь

Популярные ГДЗ в 9 классе

Глава 1. Рациональные выражения. Параграф 2. Основное свойство рациональной дроби. Сокращение рациональных дробей - номер 1.33, страница 25.

№1.33 (с. 25)
Условие. №1.33 (с. 25)
скриншот условия
Алгебра, 9 класс Учебник, авторы: Арефьева Ирина Глебовна, Пирютко Ольга Николаевна, издательство Народная асвета, Минск, 2019, голубого цвета, страница 25, номер 1.33, Условие

1.33. Используя основное свойство дроби, приведите дробь:

а) $ \frac{x}{y} $ к знаменателю $5y$; $y^2$; $-y$; $yz$; $2xy$;

б) $ \frac{a-b}{ab} $ к знаменателю $3ab$; $a^2b$; $ab^3$; $-ab$; $a^2b^2$;

в) $ \frac{c}{c-d} $ к знаменателю $7c-7d$; $d(c-d)$; $d-c$; $(c-d)^2$; $c^2-d^2$;

г) $ \frac{m-2}{m+2} $ к знаменателю $3m+6$; $-m-2$; $m^2+2m$; $(m+2)^2$; $m^2-4$.

Решение. №1.33 (с. 25)
Алгебра, 9 класс Учебник, авторы: Арефьева Ирина Глебовна, Пирютко Ольга Николаевна, издательство Народная асвета, Минск, 2019, голубого цвета, страница 25, номер 1.33, Решение
Решение 2. №1.33 (с. 25)

Основное свойство дроби заключается в том, что если числитель и знаменатель дроби умножить на одно и то же ненулевое выражение, то значение дроби не изменится. Это можно записать в виде формулы: $\frac{A}{B} = \frac{A \cdot C}{B \cdot C}$ (при $B \neq 0$ и $C \neq 0$).

Чтобы привести дробь к новому знаменателю, необходимо выполнить следующие шаги:

  1. Найти дополнительный множитель, разделив новый знаменатель на исходный.
  2. Умножить числитель и знаменатель исходной дроби на этот дополнительный множитель.

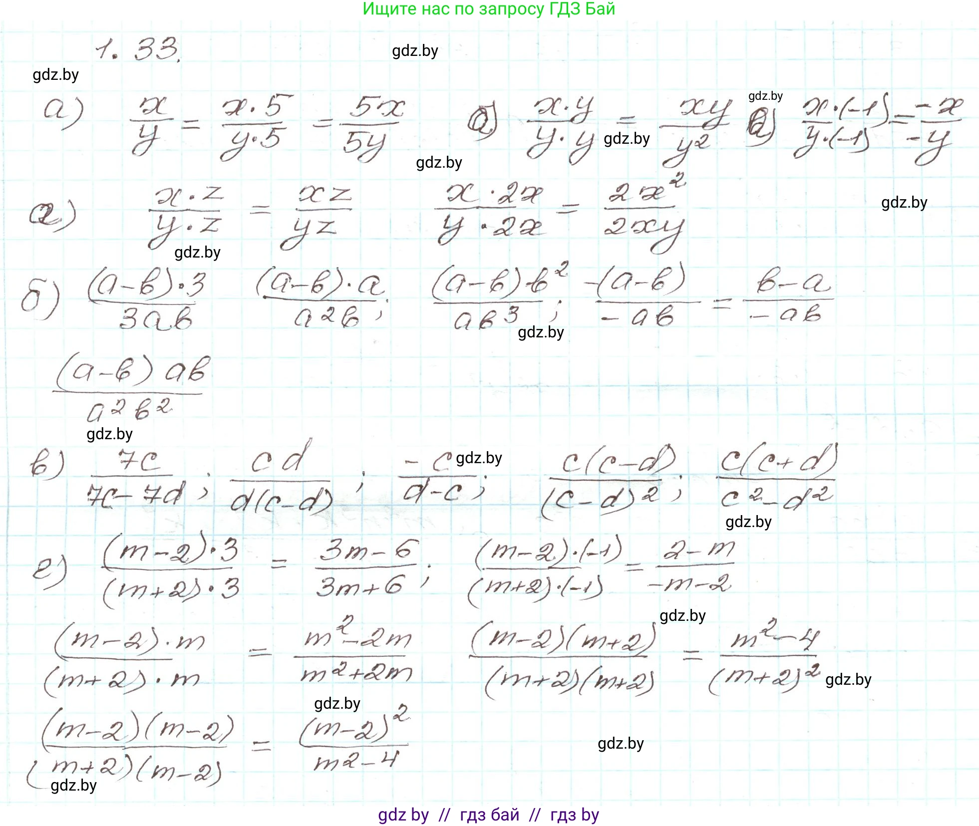
а) Приведем дробь $\frac{x}{y}$ к новым знаменателям:

  • К знаменателю $5y$. Дополнительный множитель равен $\frac{5y}{y} = 5$.
    $\frac{x}{y} = \frac{x \cdot 5}{y \cdot 5} = \frac{5x}{5y}$.
  • К знаменателю $y^2$. Дополнительный множитель равен $\frac{y^2}{y} = y$.
    $\frac{x}{y} = \frac{x \cdot y}{y \cdot y} = \frac{xy}{y^2}$.
  • К знаменателю $-y$. Дополнительный множитель равен $\frac{-y}{y} = -1$.
    $\frac{x}{y} = \frac{x \cdot (-1)}{y \cdot (-1)} = \frac{-x}{-y}$.
  • К знаменателю $yz$. Дополнительный множитель равен $\frac{yz}{y} = z$.
    $\frac{x}{y} = \frac{x \cdot z}{y \cdot z} = \frac{xz}{yz}$.
  • К знаменателю $2xy$. Дополнительный множитель равен $\frac{2xy}{y} = 2x$.
    $\frac{x}{y} = \frac{x \cdot 2x}{y \cdot 2x} = \frac{2x^2}{2xy}$.

Ответ: $\frac{5x}{5y}$; $\frac{xy}{y^2}$; $\frac{-x}{-y}$; $\frac{xz}{yz}$; $\frac{2x^2}{2xy}$.

б) Приведем дробь $\frac{a-b}{ab}$ к новым знаменателям:

  • К знаменателю $3ab$. Дополнительный множитель: $\frac{3ab}{ab} = 3$.
    $\frac{a-b}{ab} = \frac{(a-b) \cdot 3}{ab \cdot 3} = \frac{3a-3b}{3ab}$.
  • К знаменателю $a^2b$. Дополнительный множитель: $\frac{a^2b}{ab} = a$.
    $\frac{a-b}{ab} = \frac{(a-b) \cdot a}{ab \cdot a} = \frac{a^2-ab}{a^2b}$.
  • К знаменателю $ab^3$. Дополнительный множитель: $\frac{ab^3}{ab} = b^2$.
    $\frac{a-b}{ab} = \frac{(a-b) \cdot b^2}{ab \cdot b^2} = \frac{ab^2-b^3}{ab^3}$.
  • К знаменателю $-ab$. Дополнительный множитель: $\frac{-ab}{ab} = -1$.
    $\frac{a-b}{ab} = \frac{(a-b) \cdot (-1)}{ab \cdot (-1)} = \frac{b-a}{-ab}$.
  • К знаменателю $a^2b^2$. Дополнительный множитель: $\frac{a^2b^2}{ab} = ab$.
    $\frac{a-b}{ab} = \frac{(a-b) \cdot ab}{ab \cdot ab} = \frac{a^2b-ab^2}{a^2b^2}$.

Ответ: $\frac{3a-3b}{3ab}$; $\frac{a^2-ab}{a^2b}$; $\frac{ab^2-b^3}{ab^3}$; $\frac{b-a}{-ab}$; $\frac{a^2b-ab^2}{a^2b^2}$.

в) Приведем дробь $\frac{c}{c-d}$ к новым знаменателям:

  • К знаменателю $7c-7d = 7(c-d)$. Дополнительный множитель: $\frac{7(c-d)}{c-d} = 7$.
    $\frac{c}{c-d} = \frac{c \cdot 7}{(c-d) \cdot 7} = \frac{7c}{7c-7d}$.
  • К знаменателю $d(c-d)$. Дополнительный множитель: $\frac{d(c-d)}{c-d} = d$.
    $\frac{c}{c-d} = \frac{c \cdot d}{(c-d) \cdot d} = \frac{cd}{d(c-d)}$.
  • К знаменателю $d-c = -(c-d)$. Дополнительный множитель: $\frac{-(c-d)}{c-d} = -1$.
    $\frac{c}{c-d} = \frac{c \cdot (-1)}{(c-d) \cdot (-1)} = \frac{-c}{d-c}$.
  • К знаменателю $(c-d)^2$. Дополнительный множитель: $\frac{(c-d)^2}{c-d} = c-d$.
    $\frac{c}{c-d} = \frac{c \cdot (c-d)}{(c-d) \cdot (c-d)} = \frac{c^2-cd}{(c-d)^2}$.
  • К знаменателю $c^2-d^2 = (c-d)(c+d)$. Дополнительный множитель: $\frac{(c-d)(c+d)}{c-d} = c+d$.
    $\frac{c}{c-d} = \frac{c \cdot (c+d)}{(c-d) \cdot (c+d)} = \frac{c^2+cd}{c^2-d^2}$.

Ответ: $\frac{7c}{7c-7d}$; $\frac{cd}{d(c-d)}$; $\frac{-c}{d-c}$; $\frac{c^2-cd}{(c-d)^2}$; $\frac{c^2+cd}{c^2-d^2}$.

г) Приведем дробь $\frac{m-2}{m+2}$ к новым знаменателям:

  • К знаменателю $3m+6 = 3(m+2)$. Дополнительный множитель: $\frac{3(m+2)}{m+2} = 3$.
    $\frac{m-2}{m+2} = \frac{(m-2) \cdot 3}{(m+2) \cdot 3} = \frac{3m-6}{3m+6}$.
  • К знаменателю $-m-2 = -(m+2)$. Дополнительный множитель: $\frac{-(m+2)}{m+2} = -1$.
    $\frac{m-2}{m+2} = \frac{(m-2) \cdot (-1)}{(m+2) \cdot (-1)} = \frac{-(m-2)}{-(m+2)} = \frac{2-m}{-m-2}$.
  • К знаменателю $m^2+2m = m(m+2)$. Дополнительный множитель: $\frac{m(m+2)}{m+2} = m$.
    $\frac{m-2}{m+2} = \frac{(m-2) \cdot m}{(m+2) \cdot m} = \frac{m^2-2m}{m^2+2m}$.
  • К знаменателю $(m+2)^2$. Дополнительный множитель: $\frac{(m+2)^2}{m+2} = m+2$.
    $\frac{m-2}{m+2} = \frac{(m-2) \cdot (m+2)}{(m+2) \cdot (m+2)} = \frac{m^2-4}{(m+2)^2}$.
  • К знаменателю $m^2-4 = (m+2)(m-2)$. Дополнительный множитель: $\frac{(m+2)(m-2)}{m+2} = m-2$.
    $\frac{m-2}{m+2} = \frac{(m-2) \cdot (m-2)}{(m+2) \cdot (m-2)} = \frac{(m-2)^2}{m^2-4} = \frac{m^2-4m+4}{m^2-4}$.

Ответ: $\frac{3m-6}{3m+6}$; $\frac{2-m}{-m-2}$; $\frac{m^2-2m}{m^2+2m}$; $\frac{m^2-4}{(m+2)^2}$; $\frac{m^2-4m+4}{m^2-4}$.

Помогло решение? Оставьте отзыв в комментариях ниже.

Присоединяйтесь к Телеграм-группе @gdz_by_belarus

Присоединиться

Мы подготовили для вас ответ c подробным объяснением домашего задания по алгебре за 9 класс, для упражнения номер 1.33 расположенного на странице 25 к учебнику 2019 года издания для учащихся школ и гимназий.

Теперь на нашем сайте ГДЗ.ТОП вы всегда легко и бесплатно найдёте условие с правильным ответом на вопрос «Как решить ДЗ» и «Как сделать» задание по алгебре к упражнению №1.33 (с. 25), авторов: Арефьева (Ирина Глебовна), Пирютко (Ольга Николаевна), учебного пособия издательства Народная асвета.