Номер 1.75, страница 31 - гдз по алгебре 9 класс учебник Арефьева, Пирютко

Алгебра, 9 класс Учебник, авторы: Арефьева Ирина Глебовна, Пирютко Ольга Николаевна, издательство Народная асвета, Минск, 2019, голубого цвета

Авторы: Арефьева И. Г., Пирютко О. Н.

Тип: Учебник

Издательство: Народная асвета

Год издания: 2019 - 2026

Цвет обложки: голубой, синий с графиком

ISBN: 978-985-03-3077-2

Допущено Министерством образования Республики Беларусь

Популярные ГДЗ в 9 классе

Глава 1. Рациональные выражения. Параграф 2. Основное свойство рациональной дроби. Сокращение рациональных дробей - номер 1.75, страница 31.

№1.75 (с. 31)
Условие. №1.75 (с. 31)
скриншот условия
Алгебра, 9 класс Учебник, авторы: Арефьева Ирина Глебовна, Пирютко Ольга Николаевна, издательство Народная асвета, Минск, 2019, голубого цвета, страница 31, номер 1.75, Условие

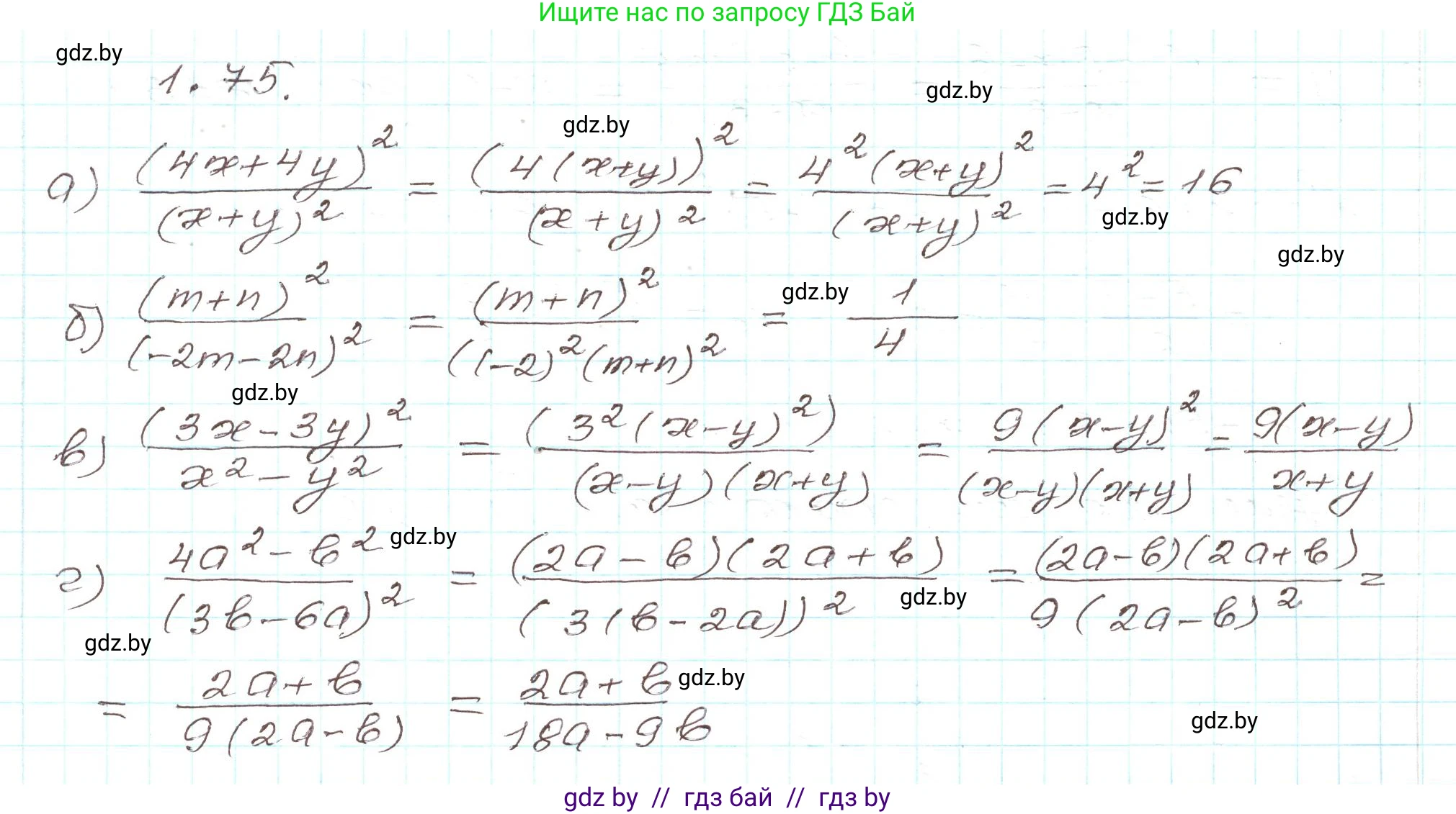
1.75. Сократите рациональную дробь:

а) $\frac{(4x+4y)^2}{(x+y)^2}$;

б) $\frac{(m+n)^2}{(-2m-2n)^2}$;

В) $\frac{(3x-3y)^2}{x^2-y^2}$;

Г) $\frac{4a^2-b^2}{(3b-6a)^2}$.

Решение. №1.75 (с. 31)
Алгебра, 9 класс Учебник, авторы: Арефьева Ирина Глебовна, Пирютко Ольга Николаевна, издательство Народная асвета, Минск, 2019, голубого цвета, страница 31, номер 1.75, Решение
Решение 2. №1.75 (с. 31)

а) Сократим рациональную дробь $\frac{(4x + 4y)^2}{(x + y)^2}$:

1. В числителе вынесем общий множитель 4 за скобки:
$(4x + 4y) = 4(x + y)$

2. Возведем выражение в числителе в квадрат, используя свойство степени $(ab)^n = a^n b^n$:
$(4(x + y))^2 = 4^2 \cdot (x + y)^2 = 16(x + y)^2$

3. Подставим преобразованный числитель обратно в дробь:
$\frac{16(x + y)^2}{(x + y)^2}$

4. Сократим дробь на общий множитель $(x + y)^2$, при условии, что $x+y \ne 0$:
$16$

Ответ: 16

б) Сократим рациональную дробь $\frac{(m + n)^2}{(-2m - 2n)^2}$:

1. В знаменателе вынесем общий множитель -2 за скобки:
$(-2m - 2n) = -2(m + n)$

2. Возведем выражение в знаменателе в квадрат:
$(-2(m + n))^2 = (-2)^2 \cdot (m + n)^2 = 4(m + n)^2$

3. Подставим преобразованный знаменатель обратно в дробь:
$\frac{(m + n)^2}{4(m + n)^2}$

4. Сократим дробь на общий множитель $(m + n)^2$, при условии, что $m+n \ne 0$:
$\frac{1}{4}$

Ответ: $\frac{1}{4}$

в) Сократим рациональную дробь $\frac{(3x - 3y)^2}{x^2 - y^2}$:

1. Преобразуем числитель, вынеся общий множитель 3 и возведя в квадрат:
$(3x - 3y)^2 = (3(x - y))^2 = 3^2 (x - y)^2 = 9(x - y)^2$

2. Преобразуем знаменатель, используя формулу разности квадратов $a^2 - b^2 = (a - b)(a + b)$:
$x^2 - y^2 = (x - y)(x + y)$

3. Подставим преобразованные выражения в дробь:
$\frac{9(x - y)^2}{(x - y)(x + y)}$

4. Сократим дробь на общий множитель $(x - y)$, при условии, что $x-y \ne 0$:
$\frac{9(x - y)}{x + y}$

Ответ: $\frac{9(x - y)}{x + y}$

г) Сократим рациональную дробь $\frac{4a^2 - b^2}{(3b - 6a)^2}$:

1. Преобразуем числитель, используя формулу разности квадратов (учитывая, что $4a^2 = (2a)^2$):
$4a^2 - b^2 = (2a - b)(2a + b)$

2. Преобразуем знаменатель. Сначала вынесем общий множитель -3, чтобы получить выражение, схожее с множителем в числителе:
$(3b - 6a) = -3(2a - b)$

3. Возведем полученное выражение в квадрат:
$(-3(2a - b))^2 = (-3)^2 (2a - b)^2 = 9(2a - b)^2$

4. Подставим преобразованные выражения в дробь:
$\frac{(2a - b)(2a + b)}{9(2a - b)^2}$

5. Сократим дробь на общий множитель $(2a - b)$, при условии, что $2a-b \ne 0$:
$\frac{2a + b}{9(2a - b)}$

Ответ: $\frac{2a + b}{9(2a - b)}$

Помогло решение? Оставьте отзыв в комментариях ниже.

Присоединяйтесь к Телеграм-группе @gdz_by_belarus

Присоединиться

Мы подготовили для вас ответ c подробным объяснением домашего задания по алгебре за 9 класс, для упражнения номер 1.75 расположенного на странице 31 к учебнику 2019 года издания для учащихся школ и гимназий.

Теперь на нашем сайте ГДЗ.ТОП вы всегда легко и бесплатно найдёте условие с правильным ответом на вопрос «Как решить ДЗ» и «Как сделать» задание по алгебре к упражнению №1.75 (с. 31), авторов: Арефьева (Ирина Глебовна), Пирютко (Ольга Николаевна), учебного пособия издательства Народная асвета.