Номер 1.99, страница 39 - гдз по алгебре 9 класс учебник Арефьева, Пирютко

Алгебра, 9 класс Учебник, авторы: Арефьева Ирина Глебовна, Пирютко Ольга Николаевна, издательство Народная асвета, Минск, 2019, голубого цвета

Авторы: Арефьева И. Г., Пирютко О. Н.

Тип: Учебник

Издательство: Народная асвета

Год издания: 2019 - 2026

Цвет обложки: голубой, синий с графиком

ISBN: 978-985-03-3077-2

Допущено Министерством образования Республики Беларусь

Популярные ГДЗ в 9 классе

Глава 1. Рациональные выражения. Параграф 3. Сложение и вычитание рациональных дробей - номер 1.99, страница 39.

№1.99 (с. 39)
Условие. №1.99 (с. 39)
скриншот условия
Алгебра, 9 класс Учебник, авторы: Арефьева Ирина Глебовна, Пирютко Ольга Николаевна, издательство Народная асвета, Минск, 2019, голубого цвета, страница 39, номер 1.99, Условие

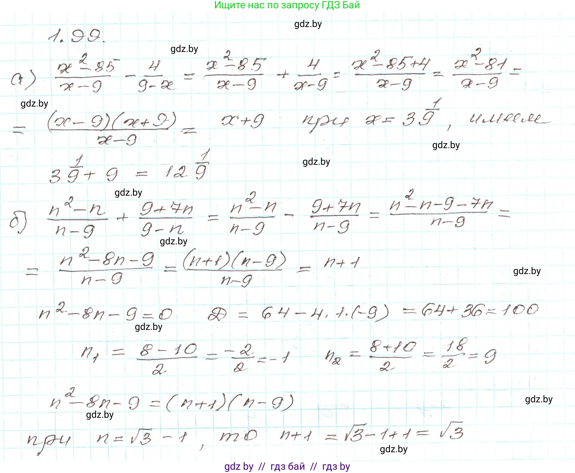
1.99. Найдите значение выражения:

a) $\frac{x^2 - 85}{x - 9} - \frac{4}{9 - x}$ при $x = 3\frac{1}{9}$;

б) $\frac{n^2 - n}{n - 9} + \frac{9 + 7n}{9 - n}$ при $n = \sqrt{3} - 1$.

Решение. №1.99 (с. 39)
Алгебра, 9 класс Учебник, авторы: Арефьева Ирина Глебовна, Пирютко Ольга Николаевна, издательство Народная асвета, Минск, 2019, голубого цвета, страница 39, номер 1.99, Решение
Решение 2. №1.99 (с. 39)

а) Сначала упростим исходное выражение. Заметим, что знаменатели дробей отличаются только знаком: $9-x = -(x-9)$. Это позволяет привести дроби к общему знаменателю $x-9$: $$ \frac{x^2 - 85}{x - 9} - \frac{4}{9 - x} = \frac{x^2 - 85}{x - 9} - \frac{4}{-(x - 9)} = \frac{x^2 - 85}{x - 9} + \frac{4}{x - 9} $$ Теперь сложим числители: $$ \frac{x^2 - 85 + 4}{x - 9} = \frac{x^2 - 81}{x - 9} $$ Числитель $x^2 - 81$ является разностью квадратов, которую можно разложить на множители по формуле $a^2-b^2 = (a-b)(a+b)$: $$ \frac{(x-9)(x+9)}{x-9} $$ Сократим дробь на $(x-9)$, так как по условию $x = 3\frac{1}{9} \neq 9$: $$ x+9 $$ Теперь подставим значение $x = 3\frac{1}{9}$ в упрощенное выражение: $$ 3\frac{1}{9} + 9 = 12\frac{1}{9} $$ Ответ: 12$\frac{1}{9}$.

б) Упростим исходное выражение. Как и в предыдущем пункте, приведем дроби к общему знаменателю, используя соотношение $9-n = -(n-9)$: $$ \frac{n^2 - n}{n - 9} + \frac{9 + 7n}{9 - n} = \frac{n^2 - n}{n - 9} - \frac{9 + 7n}{n - 9} $$ Теперь выполним вычитание дробей: $$ \frac{n^2 - n - (9 + 7n)}{n - 9} = \frac{n^2 - n - 9 - 7n}{n - 9} = \frac{n^2 - 8n - 9}{n - 9} $$ Разложим числитель $n^2 - 8n - 9$ на множители. Для этого решим квадратное уравнение $n^2 - 8n - 9=0$. По теореме Виета, его корни $n_1 = 9$ и $n_2 = -1$. Следовательно, числитель можно представить в виде $(n-9)(n+1)$. $$ \frac{(n-9)(n+1)}{n-9} $$ Сократим дробь на $(n-9)$, так как по условию $n = \sqrt{3} - 1 \neq 9$: $$ n+1 $$ Подставим значение $n = \sqrt{3} - 1$ в упрощенное выражение: $$ (\sqrt{3} - 1) + 1 = \sqrt{3} - 1 + 1 = \sqrt{3} $$ Ответ: $\sqrt{3}$.

Помогло решение? Оставьте отзыв в комментариях ниже.

Присоединяйтесь к Телеграм-группе @gdz_by_belarus

Присоединиться

Мы подготовили для вас ответ c подробным объяснением домашего задания по алгебре за 9 класс, для упражнения номер 1.99 расположенного на странице 39 к учебнику 2019 года издания для учащихся школ и гимназий.

Теперь на нашем сайте ГДЗ.ТОП вы всегда легко и бесплатно найдёте условие с правильным ответом на вопрос «Как решить ДЗ» и «Как сделать» задание по алгебре к упражнению №1.99 (с. 39), авторов: Арефьева (Ирина Глебовна), Пирютко (Ольга Николаевна), учебного пособия издательства Народная асвета.