Номер 1.216, страница 64 - гдз по алгебре 9 класс учебник Арефьева, Пирютко

Алгебра, 9 класс Учебник, авторы: Арефьева Ирина Глебовна, Пирютко Ольга Николаевна, издательство Народная асвета, Минск, 2019, голубого цвета

Авторы: Арефьева И. Г., Пирютко О. Н.

Тип: Учебник

Издательство: Народная асвета

Год издания: 2019 - 2026

Цвет обложки: голубой, синий с графиком

ISBN: 978-985-03-3077-2

Допущено Министерством образования Республики Беларусь

Популярные ГДЗ в 9 классе

Глава 1. Рациональные выражения. Параграф 5. Преобразования рациональных выражений - номер 1.216, страница 64.

№1.216 (с. 64)
Условие. №1.216 (с. 64)
скриншот условия
Алгебра, 9 класс Учебник, авторы: Арефьева Ирина Глебовна, Пирютко Ольга Николаевна, издательство Народная асвета, Минск, 2019, голубого цвета, страница 64, номер 1.216, Условие

1.216. Упростите рациональное выражение:

а) $(\frac{a}{b} - \frac{b}{a}) \cdot \frac{ab}{(a-b)^2}$;

б) $(\frac{9x}{y} - \frac{y}{x}) : \frac{(3x+y)^2}{2xy}$;

в) $\frac{3mn}{m+n} \cdot (\frac{1}{m^2} - \frac{1}{n^2})$;

г) $\frac{2c-d}{cd} : (\frac{4c}{d^2} - \frac{1}{c})$;

д) $(\frac{16b}{a} - \frac{a}{4b}) \cdot \frac{1}{a-8b}$;

е) $(36m^2 - n^2) : (\frac{1}{2m} + \frac{3}{n})$;

ж) $\frac{1}{x} - \frac{x-5}{x} : (x-5)^2$;

з) $(c-4) \cdot \frac{1}{16-c^2} + \frac{3}{c}$.

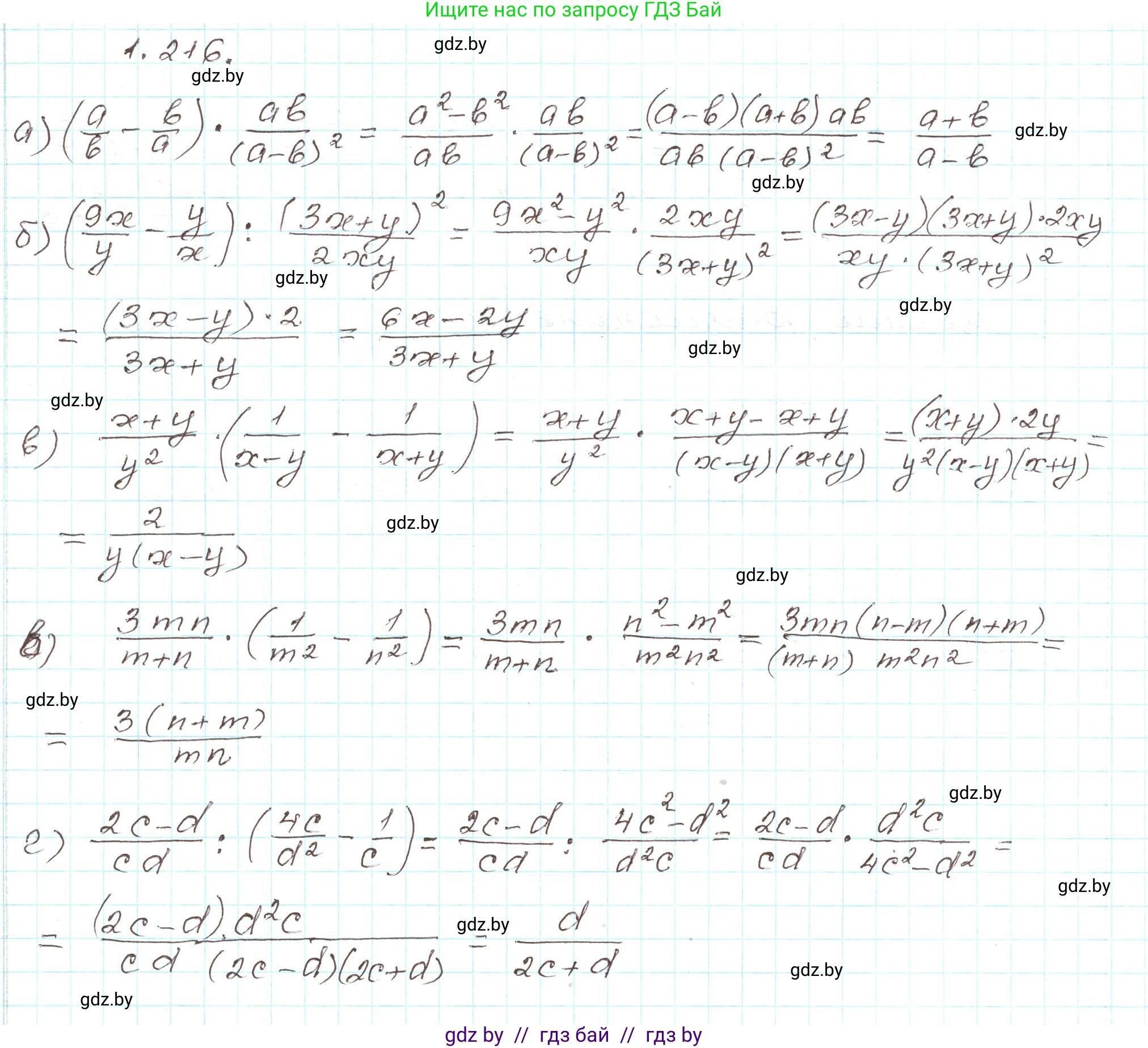
Решение. №1.216 (с. 64)
Алгебра, 9 класс Учебник, авторы: Арефьева Ирина Глебовна, Пирютко Ольга Николаевна, издательство Народная асвета, Минск, 2019, голубого цвета, страница 64, номер 1.216, Решение Алгебра, 9 класс Учебник, авторы: Арефьева Ирина Глебовна, Пирютко Ольга Николаевна, издательство Народная асвета, Минск, 2019, голубого цвета, страница 64, номер 1.216, Решение (продолжение 2)
Решение 2. №1.216 (с. 64)

а) Первым действием упростим выражение в скобках, приведя дроби к общему знаменателю $ab$:

$\frac{a}{b} - \frac{b}{a} = \frac{a \cdot a}{ab} - \frac{b \cdot b}{ab} = \frac{a^2 - b^2}{ab}$

Применим формулу разности квадратов $a^2 - b^2 = (a-b)(a+b)$:

$\frac{(a-b)(a+b)}{ab}$

Теперь выполним умножение:

$\frac{(a-b)(a+b)}{ab} \cdot \frac{ab}{(a-b)^2}$

Сократим общие множители $ab$ и $(a-b)$:

$\frac{\cancel{(a-b)}(a+b)}{\cancel{ab}} \cdot \frac{\cancel{ab}}{(a-b)^{\cancel{2}}} = \frac{a+b}{a-b}$

Так как степень числителя равна степени знаменателя, это неправильная дробь. Выделим целую часть:

$\frac{a+b}{a-b} = \frac{(a-b)+2b}{a-b} = \frac{a-b}{a-b} + \frac{2b}{a-b} = 1 + \frac{2b}{a-b}$

Ответ: $1 + \frac{2b}{a-b}$

б) Упростим выражение в скобках, приведя к общему знаменателю $xy$:

$\frac{9x}{y} - \frac{y}{x} = \frac{9x \cdot x}{xy} - \frac{y \cdot y}{xy} = \frac{9x^2 - y^2}{xy}$

Применим формулу разности квадратов $9x^2 - y^2 = (3x-y)(3x+y)$:

$\frac{(3x-y)(3x+y)}{xy}$

Теперь выполним деление, заменив его умножением на обратную дробь:

$\frac{(3x-y)(3x+y)}{xy} : \frac{(3x+y)^2}{2xy} = \frac{(3x-y)(3x+y)}{xy} \cdot \frac{2xy}{(3x+y)^2}$

Сократим общие множители $xy$ и $(3x+y)$:

$\frac{(3x-y)\cancel{(3x+y)}}{\cancel{xy}} \cdot \frac{2\cancel{xy}}{(3x+y)^{\cancel{2}}} = \frac{2(3x-y)}{3x+y}$

Выделим целую часть из неправильной дроби:

$\frac{6x-2y}{3x+y} = \frac{2(3x+y) - 4y}{3x+y} = \frac{2(3x+y)}{3x+y} - \frac{4y}{3x+y} = 2 - \frac{4y}{3x+y}$

Ответ: $2 - \frac{4y}{3x+y}$

в) Упростим выражение в скобках, приведя к общему знаменателю $m^2n^2$:

$\frac{1}{m^2} - \frac{1}{n^2} = \frac{n^2}{m^2n^2} - \frac{m^2}{m^2n^2} = \frac{n^2 - m^2}{m^2n^2}$

Разложим числитель по формуле разности квадратов $n^2 - m^2 = (n-m)(n+m)$:

$\frac{(n-m)(n+m)}{m^2n^2}$

Выполним умножение:

$\frac{3mn}{m+n} \cdot \frac{(n-m)(n+m)}{m^2n^2}$

Сократим общие множители $mn$ и $(m+n)$:

$\frac{3\cancel{mn}}{\cancel{m+n}} \cdot \frac{(n-m)(\cancel{n+m})}{m^{\cancel{2}}n^{\cancel{2}}} = \frac{3(n-m)}{mn}$

Ответ: $\frac{3(n-m)}{mn}$

г) Упростим выражение в скобках, приведя к общему знаменателю $cd^2$:

$\frac{4c}{d^2} - \frac{1}{c} = \frac{4c \cdot c}{cd^2} - \frac{1 \cdot d^2}{cd^2} = \frac{4c^2 - d^2}{cd^2}$

Применим формулу разности квадратов $4c^2 - d^2 = (2c-d)(2c+d)$:

$\frac{(2c-d)(2c+d)}{cd^2}$

Выполним деление, заменив его умножением на обратную дробь:

$\frac{2c-d}{cd} \cdot \frac{cd^2}{(2c-d)(2c+d)}$

Сократим общие множители $cd$ и $(2c-d)$:

$\frac{\cancel{2c-d}}{\cancel{c}\cancel{d}} \cdot \frac{\cancel{c}d^{\cancel{2}}}{(\cancel{2c-d})(2c+d)} = \frac{d}{2c+d}$

Выделим целую часть из неправильной дроби:

$\frac{d}{2c+d} = \frac{(2c+d) - 2c}{2c+d} = \frac{2c+d}{2c+d} - \frac{2c}{2c+d} = 1 - \frac{2c}{2c+d}$

Ответ: $1 - \frac{2c}{2c+d}$

д) Упростим выражение в скобках, приведя к общему знаменателю $4ab$:

$\frac{16b}{a} - \frac{a}{4b} = \frac{16b \cdot 4b}{4ab} - \frac{a \cdot a}{4ab} = \frac{64b^2 - a^2}{4ab}$

Применим формулу разности квадратов $64b^2 - a^2 = (8b-a)(8b+a)$:

$\frac{(8b-a)(8b+a)}{4ab}$

Выполним умножение:

$\frac{(8b-a)(8b+a)}{4ab} \cdot \frac{1}{a-8b}$

Заметим, что $8b-a = -(a-8b)$ и сократим общий множитель $(a-8b)$:

$\frac{-(a-8b)(a+8b)}{4ab} \cdot \frac{1}{a-8b} = -\frac{a+8b}{4ab}$

Ответ: $-\frac{a+8b}{4ab}$

е) Разложим первый двучлен по формуле разности квадратов: $36m^2 - n^2 = (6m-n)(6m+n)$.

Приведем выражение в скобках к общему знаменателю $2mn$:

$\frac{1}{2m} + \frac{3}{n} = \frac{n}{2mn} + \frac{3 \cdot 2m}{2mn} = \frac{n+6m}{2mn}$

Выполним деление, заменив его умножением на обратную дробь:

$(6m-n)(6m+n) : \frac{n+6m}{2mn} = (6m-n)(6m+n) \cdot \frac{2mn}{n+6m}$

Сократим общий множитель $(6m+n) = (n+6m)$:

$(6m-n)(\cancel{6m+n}) \cdot \frac{2mn}{\cancel{n+6m}} = 2mn(6m-n)$

Ответ: $2mn(6m-n)$

ж) Согласно порядку действий, сначала выполним деление:

$\frac{x-5}{x} : (x-5)^2 = \frac{x-5}{x} \cdot \frac{1}{(x-5)^2} = \frac{\cancel{x-5}}{x(x-5)^{\cancel{2}}} = \frac{1}{x(x-5)}$

Теперь выполним вычитание, приведя дроби к общему знаменателю $x(x-5)$:

$\frac{1}{x} - \frac{1}{x(x-5)} = \frac{1 \cdot (x-5)}{x(x-5)} - \frac{1}{x(x-5)} = \frac{x-5-1}{x(x-5)} = \frac{x-6}{x(x-5)}$

Ответ: $\frac{x-6}{x(x-5)}$

з) Сначала выполним умножение. Разложим знаменатель $16-c^2$ по формуле разности квадратов: $16-c^2 = (4-c)(4+c)$.

$(c-4) \cdot \frac{1}{(4-c)(4+c)}$

Заметим, что $c-4 = -(4-c)$, и сократим общий множитель $(4-c)$:

$\frac{-(4-c)}{(4-c)(4+c)} = -\frac{1}{4+c}$

Теперь выполним сложение:

$-\frac{1}{c+4} + \frac{3}{c}$

Приведем дроби к общему знаменателю $c(c+4)$:

$\frac{-1 \cdot c}{c(c+4)} + \frac{3 \cdot (c+4)}{c(c+4)} = \frac{-c + 3(c+4)}{c(c+4)} = \frac{-c + 3c + 12}{c(c+4)} = \frac{2c+12}{c(c+4)}$

Вынесем общий множитель 2 в числителе:

$\frac{2(c+6)}{c(c+4)}$

Ответ: $\frac{2(c+6)}{c(c+4)}$

Помогло решение? Оставьте отзыв в комментариях ниже.

Присоединяйтесь к Телеграм-группе @gdz_by_belarus

Присоединиться

Мы подготовили для вас ответ c подробным объяснением домашего задания по алгебре за 9 класс, для упражнения номер 1.216 расположенного на странице 64 к учебнику 2019 года издания для учащихся школ и гимназий.

Теперь на нашем сайте ГДЗ.ТОП вы всегда легко и бесплатно найдёте условие с правильным ответом на вопрос «Как решить ДЗ» и «Как сделать» задание по алгебре к упражнению №1.216 (с. 64), авторов: Арефьева (Ирина Глебовна), Пирютко (Ольга Николаевна), учебного пособия издательства Народная асвета.