Номер 2.74, страница 102 - гдз по алгебре 9 класс учебник Арефьева, Пирютко

Алгебра, 9 класс Учебник, авторы: Арефьева Ирина Глебовна, Пирютко Ольга Николаевна, издательство Народная асвета, Минск, 2019, голубого цвета

Авторы: Арефьева И. Г., Пирютко О. Н.

Тип: Учебник

Издательство: Народная асвета

Год издания: 2019 - 2026

Цвет обложки: голубой, синий с графиком

ISBN: 978-985-03-3077-2

Допущено Министерством образования Республики Беларусь

Популярные ГДЗ в 9 классе

Глава 2. Функции. Параграф 7. Свойства функции - номер 2.74, страница 102.

№2.74 (с. 102)
Условие. №2.74 (с. 102)
скриншот условия
Алгебра, 9 класс Учебник, авторы: Арефьева Ирина Глебовна, Пирютко Ольга Николаевна, издательство Народная асвета, Минск, 2019, голубого цвета, страница 102, номер 2.74, Условие

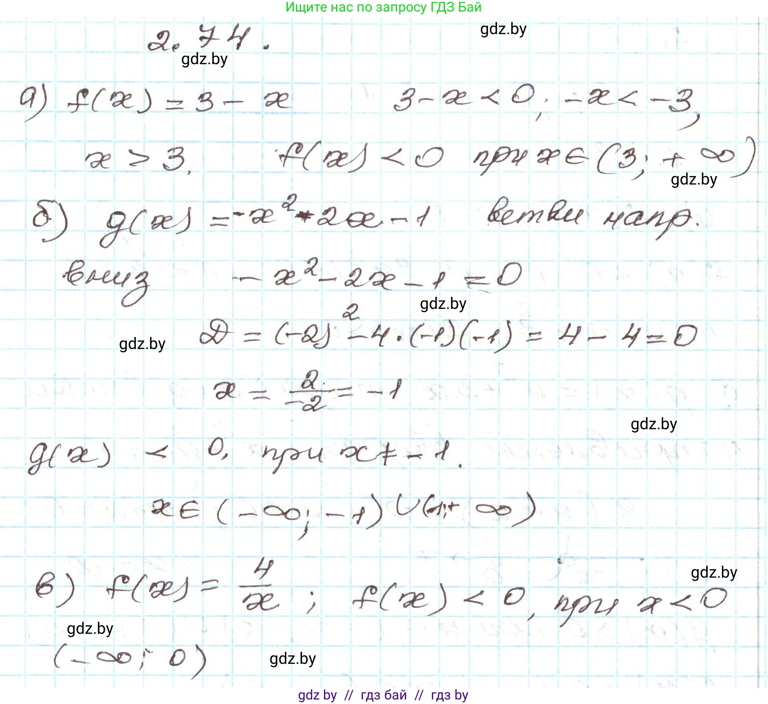
2.74. Найдите, при каких значениях аргумента функция принимает отрицательные значения:

а) $f(x)=3-x$;

б) $f(x)=-x^2-2x-1$;

в) $f(x)=\frac{4}{x}$.

Решение. №2.74 (с. 102)
Алгебра, 9 класс Учебник, авторы: Арефьева Ирина Глебовна, Пирютко Ольга Николаевна, издательство Народная асвета, Минск, 2019, голубого цвета, страница 102, номер 2.74, Решение
Решение 2. №2.74 (с. 102)

Чтобы найти значения аргумента, при которых функция принимает отрицательные значения, необходимо для каждой функции решить неравенство $f(x) < 0$.

а) Для функции $f(x) = 3 - x$ решаем неравенство:
$3 - x < 0$
Переносим $x$ в правую часть неравенства, меняя знак:
$3 < x$
Таким образом, функция принимает отрицательные значения при всех $x$, которые больше 3.
Ответ: $x \in (3; +\infty)$.

б) Для функции $f(x) = -x^2 - 2x - 1$ решаем неравенство:
$-x^2 - 2x - 1 < 0$
Умножим обе части неравенства на $-1$ и сменим знак неравенства на противоположный:
$x^2 + 2x + 1 > 0$
Левая часть неравенства представляет собой формулу квадрата суммы $(a+b)^2 = a^2 + 2ab + b^2$:
$(x + 1)^2 > 0$
Квадрат любого действительного числа всегда неотрицателен, то есть $(x + 1)^2 \ge 0$. Равенство нулю достигается при $x+1=0$, то есть при $x=-1$. Во всех остальных случаях квадрат будет строго больше нуля.
Следовательно, неравенство выполняется для всех действительных чисел, кроме $x = -1$.
Ответ: $x \in (-\infty; -1) \cup (-1; +\infty)$.

в) Для функции $f(x) = \frac{4}{x}$ решаем неравенство:
$\frac{4}{x} < 0$
Значение дроби будет отрицательным, если ее числитель и знаменатель имеют разные знаки. Числитель $4$ — положительное число. Следовательно, для выполнения неравенства знаменатель $x$ должен быть отрицательным.
$x < 0$
Ответ: $x \in (-\infty; 0)$.

Помогло решение? Оставьте отзыв в комментариях ниже.

Присоединяйтесь к Телеграм-группе @gdz_by_belarus

Присоединиться

Мы подготовили для вас ответ c подробным объяснением домашего задания по алгебре за 9 класс, для упражнения номер 2.74 расположенного на странице 102 к учебнику 2019 года издания для учащихся школ и гимназий.

Теперь на нашем сайте ГДЗ.ТОП вы всегда легко и бесплатно найдёте условие с правильным ответом на вопрос «Как решить ДЗ» и «Как сделать» задание по алгебре к упражнению №2.74 (с. 102), авторов: Арефьева (Ирина Глебовна), Пирютко (Ольга Николаевна), учебного пособия издательства Народная асвета.