Номер 3.120, страница 177 - гдз по алгебре 9 класс учебник Арефьева, Пирютко

Алгебра, 9 класс Учебник, авторы: Арефьева Ирина Глебовна, Пирютко Ольга Николаевна, издательство Народная асвета, Минск, 2019, голубого цвета

Авторы: Арефьева И. Г., Пирютко О. Н.

Тип: Учебник

Издательство: Народная асвета

Год издания: 2019 - 2026

Цвет обложки: голубой, синий с графиком

ISBN: 978-985-03-3077-2

Допущено Министерством образования Республики Беларусь

Популярные ГДЗ в 9 классе

Глава 3. Дробно-рациональные уравнения и неравенства. Параграф 12. Формула длины отрезка с заданными координатами его концов. Уравнение окружности - номер 3.120, страница 177.

№3.120 (с. 177)
Условие. №3.120 (с. 177)
скриншот условия
Алгебра, 9 класс Учебник, авторы: Арефьева Ирина Глебовна, Пирютко Ольга Николаевна, издательство Народная асвета, Минск, 2019, голубого цвета, страница 177, номер 3.120, Условие

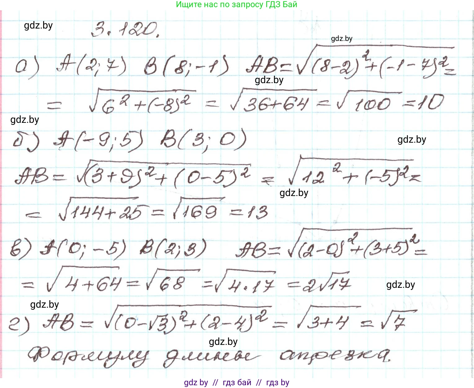
3.120. Вычислите длину отрезка AB, если:

a) $A(2; 7), B(8; -1);$

б) $A(-9; 5), B(3; 0);$

в) $A(0; -5), B(2; 3);$

г) $A(\sqrt{3}; 4), B(0; 2).$

Какую формулу вы использовали?

Решение. №3.120 (с. 177)
Алгебра, 9 класс Учебник, авторы: Арефьева Ирина Глебовна, Пирютко Ольга Николаевна, издательство Народная асвета, Минск, 2019, голубого цвета, страница 177, номер 3.120, Решение
Решение 2. №3.120 (с. 177)

Для решения задачи используется формула расстояния между двумя точками на плоскости. Если даны точки A с координатами $(x_A, y_A)$ и B с координатами $(x_B, y_B)$, то расстояние AB вычисляется следующим образом:

$$AB = \sqrt{(x_B - x_A)^2 + (y_B - y_A)^2}$$

Эта формула является следствием теоремы Пифагора. Применим эту формулу для каждого из пунктов:

а) Для точек A(2; 7) и B(8; -1) длина отрезка AB равна:
$AB = \sqrt{(8-2)^2 + (-1-7)^2} = \sqrt{6^2 + (-8)^2} = \sqrt{36+64} = \sqrt{100} = 10$.
Ответ: 10.

б) Для точек A(-9; 5) и B(3; 0) длина отрезка AB равна:
$AB = \sqrt{(3-(-9))^2 + (0-5)^2} = \sqrt{(3+9)^2 + (-5)^2} = \sqrt{12^2 + 25} = \sqrt{144+25} = \sqrt{169} = 13$.
Ответ: 13.

в) Для точек A(0; -5) и B(2; 3) длина отрезка AB равна:
$AB = \sqrt{(2-0)^2 + (3-(-5))^2} = \sqrt{2^2 + (3+5)^2} = \sqrt{4+8^2} = \sqrt{4+64} = \sqrt{68}$.
Упрощая корень, получаем: $\sqrt{68} = \sqrt{4 \cdot 17} = 2\sqrt{17}$.
Ответ: $2\sqrt{17}$.

г) Для точек A($\sqrt{3}$; 4) и B(0; 2) длина отрезка AB равна:
$AB = \sqrt{(0-\sqrt{3})^2 + (2-4)^2} = \sqrt{(-\sqrt{3})^2 + (-2)^2} = \sqrt{3+4} = \sqrt{7}$.
Ответ: $\sqrt{7}$.

Какую формулу вы использовали?
Ответ: Была использована формула для вычисления расстояния между двумя точками на плоскости: $d = \sqrt{(x_2 - x_1)^2 + (y_2 - y_1)^2}$.

Помогло решение? Оставьте отзыв в комментариях ниже.

Присоединяйтесь к Телеграм-группе @gdz_by_belarus

Присоединиться

Мы подготовили для вас ответ c подробным объяснением домашего задания по алгебре за 9 класс, для упражнения номер 3.120 расположенного на странице 177 к учебнику 2019 года издания для учащихся школ и гимназий.

Теперь на нашем сайте ГДЗ.ТОП вы всегда легко и бесплатно найдёте условие с правильным ответом на вопрос «Как решить ДЗ» и «Как сделать» задание по алгебре к упражнению №3.120 (с. 177), авторов: Арефьева (Ирина Глебовна), Пирютко (Ольга Николаевна), учебного пособия издательства Народная асвета.