Номер 3.158, страница 182 - гдз по алгебре 9 класс учебник Арефьева, Пирютко

Алгебра, 9 класс Учебник, авторы: Арефьева Ирина Глебовна, Пирютко Ольга Николаевна, издательство Народная асвета, Минск, 2019, голубого цвета

Авторы: Арефьева И. Г., Пирютко О. Н.

Тип: Учебник

Издательство: Народная асвета

Год издания: 2019 - 2026

Цвет обложки: голубой, синий с графиком

ISBN: 978-985-03-3077-2

Допущено Министерством образования Республики Беларусь

Популярные ГДЗ в 9 классе

Глава 3. Дробно-рациональные уравнения и неравенства. Параграф 12. Формула длины отрезка с заданными координатами его концов. Уравнение окружности - номер 3.158, страница 182.

№3.158 (с. 182)
Условие. №3.158 (с. 182)
скриншот условия
Алгебра, 9 класс Учебник, авторы: Арефьева Ирина Глебовна, Пирютко Ольга Николаевна, издательство Народная асвета, Минск, 2019, голубого цвета, страница 182, номер 3.158, Условие

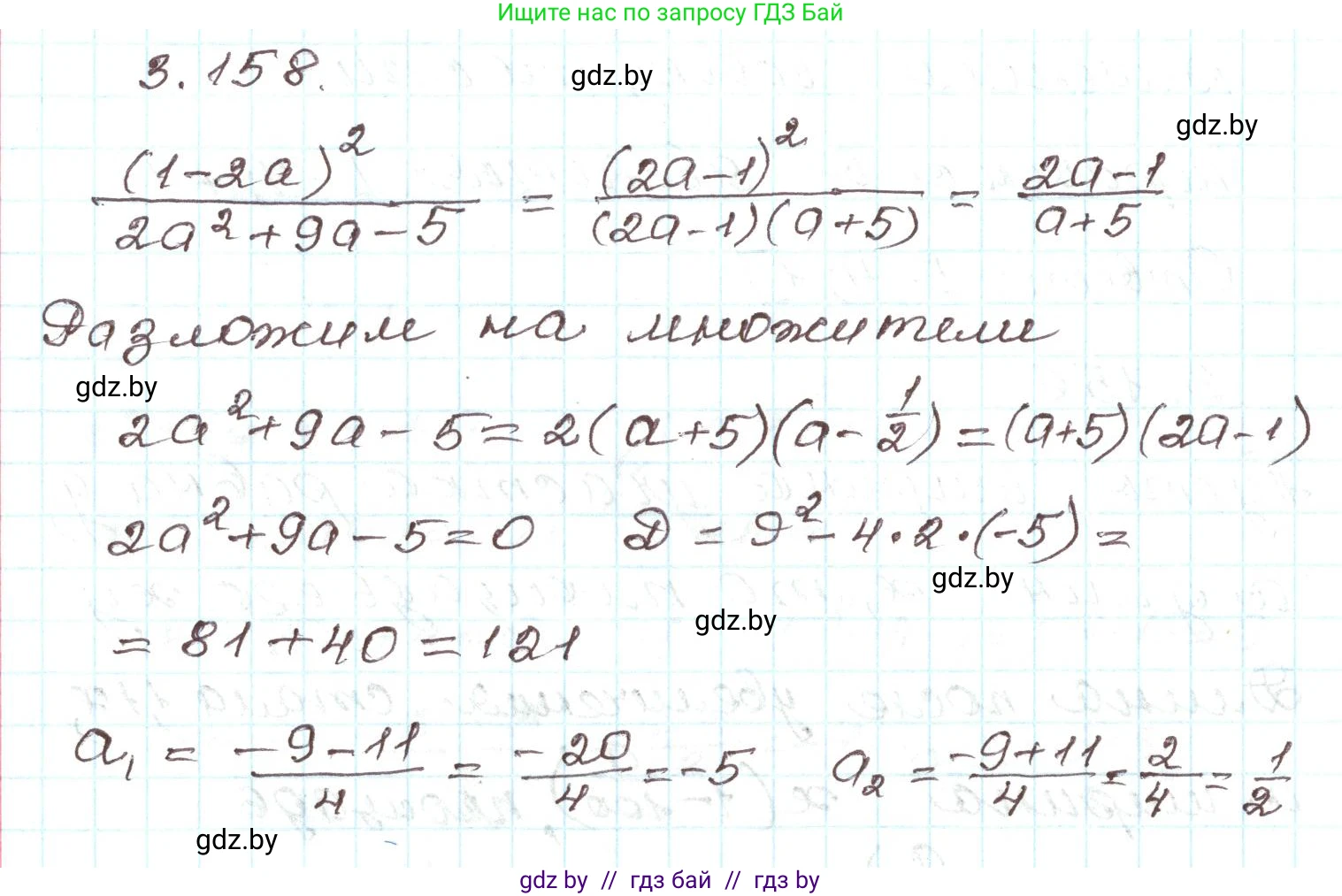
3.158. Сократите дробь $\frac{(1-2a)^2}{2a^2+9a-5}$.

Решение. №3.158 (с. 182)
Алгебра, 9 класс Учебник, авторы: Арефьева Ирина Глебовна, Пирютко Ольга Николаевна, издательство Народная асвета, Минск, 2019, голубого цвета, страница 182, номер 3.158, Решение
Решение 2. №3.158 (с. 182)

Для того чтобы сократить дробь, необходимо разложить на множители ее числитель и знаменатель.

Исходная дробь имеет вид:

$$ \frac{(1-2a)^2}{2a^2+9a-5} $$

1. Разложим на множители знаменатель $2a^2+9a-5$. Это квадратный трехчлен. Найдем его корни, решив уравнение $2a^2+9a-5 = 0$.

Вычислим дискриминант $D$ по формуле $D = b^2 - 4ac$:

$$ D = 9^2 - 4 \cdot 2 \cdot (-5) = 81 + 40 = 121 $$

Поскольку $D = 121 = 11^2 > 0$, уравнение имеет два действительных корня. Найдем их:

$$ a_1 = \frac{-b + \sqrt{D}}{2a} = \frac{-9 + 11}{2 \cdot 2} = \frac{2}{4} = \frac{1}{2} $$

$$ a_2 = \frac{-b - \sqrt{D}}{2a} = \frac{-9 - 11}{2 \cdot 2} = \frac{-20}{4} = -5 $$

Теперь разложим квадратный трехчлен на множители, используя формулу $ax^2+bx+c = a(x-x_1)(x-x_2)$:

$$ 2a^2+9a-5 = 2\left(a - \frac{1}{2}\right)(a - (-5)) = 2\left(a - \frac{1}{2}\right)(a+5) $$

Для удобства внесем множитель 2 в первую скобку:

$$ 2\left(a - \frac{1}{2}\right)(a+5) = (2a - 1)(a+5) $$

2. Преобразуем числитель $(1-2a)^2$. Используя свойство $(x-y)^2 = (y-x)^2$, получаем:

$$ (1-2a)^2 = (-(2a-1))^2 = (2a-1)^2 $$

3. Подставим разложенные на множители числитель и знаменатель в исходную дробь и выполним сокращение:

$$ \frac{(1-2a)^2}{2a^2+9a-5} = \frac{(2a-1)^2}{(2a-1)(a+5)} $$

Сокращаем общий множитель $(2a-1)$ (при условии, что $2a-1 \neq 0$, то есть $a \neq \frac{1}{2}$):

$$ \frac{(2a-1)^{\cancel{2}}}{\cancel{(2a-1)}(a+5)} = \frac{2a-1}{a+5} $$

Ответ: $ \frac{2a-1}{a+5} $

Помогло решение? Оставьте отзыв в комментариях ниже.

Присоединяйтесь к Телеграм-группе @gdz_by_belarus

Присоединиться

Мы подготовили для вас ответ c подробным объяснением домашего задания по алгебре за 9 класс, для упражнения номер 3.158 расположенного на странице 182 к учебнику 2019 года издания для учащихся школ и гимназий.

Теперь на нашем сайте ГДЗ.ТОП вы всегда легко и бесплатно найдёте условие с правильным ответом на вопрос «Как решить ДЗ» и «Как сделать» задание по алгебре к упражнению №3.158 (с. 182), авторов: Арефьева (Ирина Глебовна), Пирютко (Ольга Николаевна), учебного пособия издательства Народная асвета.